

论文信息:
Xiao Luo, Hakan Salihoglu, Zexiao Wang, Zhuo Li, Hyeonggyun Kim, Xiu Liu, Jiayu Li, Bowen Yu,Shen Du, and Sheng Shen, Observation of Near-Field Thermal Radiation between Coplanar Nanodevices with Subwavelength Dimensions, Nano Letters (2024).
论文链接:
https://pubs.acs.org/doi/full/10.1021/acs.nanolett.3c03748
最近,美国卡耐基梅隆大学(Carnegie Mellon University)申盛教授团队报导了亚波长结构间近场热辐射的实验测量,利用精巧设计的悬挂纳米器件,成功测量了两共面氮化硅薄膜(仅300nm厚)之间的横向近场热辐射,实验不但确认了20倍于黑体辐射的近场增益,更发现了亚波长厚度对近场热辐射的弱化作用,与半无限大体之间近场换热公式相比,最大偏差可达70%。该工作揭示了亚波长尺寸对近场热辐射的影响,也为相关共面悬挂器件的设计制造铺平了道路。该工作发表于Nano Letters,标题为“含亚波长尺寸的共面纳米器件间近场热辐射观测”(Observation of Near-Field Thermal Radiation between Coplanar Nanodevices with Subwavelength Dimensions)。论文通讯作者为美国卡耐基梅隆大学机械工程系申盛教授,第一作者为美国卡耐基梅隆大学机械工程系博士生罗虓。
在假设物体尺寸和间距均远大于热辐射特征波长(室温下约10微米)的假设下,普朗克的黑体辐射理论给出了两个物体间的热辐射上限。研究表明只要放弃上述任一假设,黑体辐射理论均可被打破,其中,亚波长距离之间的热辐射被称为近场热辐射(near-field thermal radiation),在受挫全内反射(frustrated total internal reflection)和表面声子激元(surface phonon polariton)等衰逝波的贡献下,近场热辐射可超越黑体热辐射数十至数千倍;而亚波长尺寸之间的热辐射被称为远场超普朗克热辐射(Super-Planckian far-field thermal radiation),实验表明具有亚波长厚度的氮化硅薄膜,呈现出各向异的角发射和角吸收分布,角发射和角吸收在0o横向极强,均可超越黑体十倍,而使得横向热辐射超越黑体达百倍。
在近二十年来,近场热辐射的实验与理论研究均已取得长足发展。然而,绝大部分工作仅针对大尺寸几何展开研究,这当中,理论模型基本基于半无限大块体或无限大薄膜叠层展开推导,而实验测量中的平板尺寸也不低于数十微米。亚波长尺寸既有可能通过激发新的换热模式来增强近场热辐射,亦有可能增强散射而削弱近场热辐射,其具体影响仍尚待探究。当前常用的实验平台,在测量亚波长尺寸时也面临相当的挑战。对基于微柱或小颗粒分开冷热表面的实验平台而言,亚波长结构的换热面积可能与微柱截面积相当,进而导致辐射热信号淹没在背景导热信号中;对基于纳米位移台的测试平台而言,亚波长尺寸使得冷热表面很难实现光学对准。基于悬挂纳米器件的测试平台能够避免上述问题,但仍需面对结构形变的挑战。
对此,我们设计并制造悬挂纳米器件,实现了两片共面亚波长厚度的薄膜之间的横向近场热辐射测量,通过与半无限大块体的近场公式比较,揭示了亚波长尺寸对近场热辐射的影响。
1. 利用精巧设计的悬挂纳米器件,成功地实现了两片共面氮化硅薄膜(长宽高7 µm × 2 µm × 300 nm)之间的高精度近场热辐射测量。其中最小间距为约150nm,两片薄膜最大温差达190K。
2. 由于较小的换热面积,测得最大的辐射热导也仅为约0.26nW/K。总计测试12个样品,实验数据均与基于波动表面电流法(fluctuating surface current method)的数值计算符合得很好。
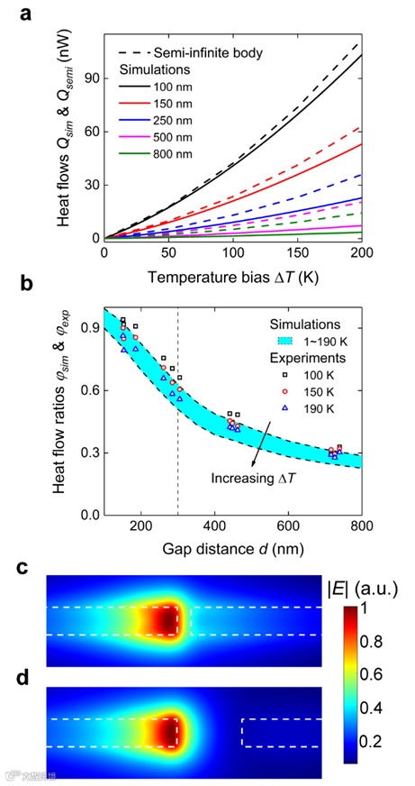
3. 在150nm~750nm的样品间距范围内,相对于黑体增益约20倍至4倍不等。与基于半无穷大块体的近场换热公式相比,两薄膜间近场热辐射始终低于公式预测,在750nm间距下仅为公式预测的约30%。
图1. 悬挂纳米器件示意图(a)与实物电镜照片(b, c)。突出的发射膜(左侧)通过铂金蛇形加热器加热,突出的吸收膜(右侧)吸收热辐射并升温,两侧温度均由铂金电阻温度计监测。为了物理隔离发射膜和吸收膜,从而消除任何热传导的贡献,我们通过湿法刻蚀去除下方的硅基底,制成悬挂结构。通过优化工艺流程,在保证硅基底刻穿的同时,悬挂区域的宽度(y方向)仅为约15 μm,从而遏制了薄膜的形变。图1c所示为70度倾角的电镜照片,两片薄膜有很好的共面性,高度差仅为约50nm。
图 2. 测量设置和实验结果。利用焦耳热加热发射膜并通过测量四线电压Vh来检测发射膜温度Th,吸收的辐射热流Q通过热传导散失到硅基底中,相应吸收膜的温度Ts由惠斯通电桥电压Vs监控。吸收端细长的梁状结构,使得吸收端的热阻Rth,s易于标定。由于换热面积极小,发射膜近200K的温升仅在吸收膜产生1K左右的温升,如图2b所示。我们测量了薄膜间距在150nm至750nm之间的不同样品,随着间距从726nm下降到153nm,最大热流从约4nW增加到约50nW,相应的关于黑体的最大增益,由约4倍增加至约20倍。
图 3. 波动电磁仿真与测量结果验证。我们采用波动表面电流法(Fluctuating surface current method)来计算两片共面氮化硅薄膜(长宽高7 µm × 2 µm × 300 nm)之间的近场热辐射,相应几何和网格如图3a所示。在190K的温差范围和150nm至750nm的间距范围,总计12个样品的测试结果,均和仿真结果符合地很好。图3d所示为,发生在氮化硅共振频率附近的极化声子激元(角频率约为1.8×1014 rad/s)贡献了大部分的近场热辐射。
图 4. 与半无限体近场换热公式的偏差。图4a所示为半无限体近场换热公式(虚线)与波动电磁仿真(实线)的热流比较。亚波长膜之间的热辐射始终弱于半无限体公式的预测。进一步我们计算两薄膜间辐射换热量与半无限体公式的比例φ。当间距由100nm增大至800nm,φ从几乎100%急剧下降到约20%,在间距小于薄膜厚度300nm时,φ下降更快。我们分别计算了150nm和700nm间距下,材料共振频率附近的电场分布,如图4c, d所示。沿着薄膜厚度方向,电场分布在150nm间距下更加均匀,而在700nm间距下电场分布呈发散状。
在这项工作中,我们设计并制造了共面纳米器件,用以测量亚波长共面薄膜之间的近场热辐射。尽管由于亚波长结构很小的换热面积,我们测得的辐射热导不超过0.26nW/K,但我们仍然准确地测量了不同间距下的辐射热流,并与波动电磁仿真结果符合得很好。与黑体辐射相比,我们观测到两个共面亚波长薄膜之间的热辐射,在约150nm的分隔间隙下增强了20倍,此外,我们发现,亚波长共面薄膜之间的近场热辐射仍然低于基于半无限模型的预测,这归因于极化子的散射和具有较大波长的极化子模式的贡献较少,导致能量逸出而非被亚波长结构吸收。我们的发现阐明了亚波长结构之间的近场能量传递,为相关共面近场纳米器件的开发铺平了道路。
申盛(Prof. Sheng Shen),美国卡耐基梅隆大学机械工程系正教授,电气与计算机工程系、材料科学与工程系兼职教授,NSF CAREER Award, DARPA Director’s Fellowship, DARPA Young Faculty Award, Elsevier/JQSRT Raymond Viskanta Award for Spectroscopy and Radiative Transfer获得者。主要从事微纳光子学,纳尺度能量传输与转换,纳米加工与先进制造等领域的基础与应用研究,在Nature Nano, Nature Communications, Science Advances, Physics Review Letter, Nano Letters, ACS Nano等国际知名期刊发表论文数十篇。
课题组网站链接:www.cmu.edu/me/shenlab/
免责声明:本文旨在传递更多科研资讯及分享,所有其他媒、网来源均注明出处,如涉及版权问题,请作者第一时间后台联系,我们将协调进行处理,所有来稿文责自负,两江仅作分享平台。转载请注明出处,如原创内容转载需授权,请联系下方微信号。