
近日,吉林大学黄晓丽教授等人与美国加州大学伯克利分校/哈佛大学Norman Yao教授团队合作,在高压下超导富氢化物的超导电性实验研究方面取得突破性进展:基于金刚石氮-空位色心(NV center)量子传感技术实现了超高压下富氢化合物的迈斯纳效应实验测量。合作研究成果以“Imaging the Meissner effect in hydride superconductors using quantum sensors”为题,于2024年2月28日发表在Nature上。在同期Nature杂志上香港科技大学的杨森教授等人以“Quantum sensor settles debate about superconductivity in hydrides”为题进行了亮点评述。

图一:匹配NV色心磁测量技术及电输运测量的金刚石对顶砧装置示意图,实现了富氢化合物超导样品在同一压力条件下零电阻和迈斯纳效应的协同测量。
NV色心是金刚石内部的点缺陷,具有优异的磁场灵敏度和空间分辨率,是新兴的量子磁传感器。基于NV色心测量技术,能够实现高温高压条件下制备的微量富氢化物样品迈斯纳效应和磁通量捕获的局部测量,进而实现其在同一压力下超导电性零电阻和迈斯纳效应的协同测量。另外,由于具有原子尺度的NV色心本身就存在于金刚石中,这为基于金刚石对顶砧(DAC)装置的超高压实验提供了近乎天然的传感器。2019年,分别来自美国、法国以及中国的研究团队在Science杂志上连发3篇文章,拉开了NV色心传感技术应用到高压研究领域的序幕。其中Norman Yao教授团队(Science 2019, 366, 1349–1354)测量了高压下金刚石砧面的应力分布并表征了金属铁/钆随压力/温度的磁性转变。
对于高温高压条件下制备的微量富氢化合物样品,基于互感法的磁测量方法达到了探测样品信号的极限,使得迈斯纳效应的实验研究一直受到质疑,因此如何将灵敏度和分辨率优异的NV色心测量技术应用到超高压下富氢化合物超导体研究是一个新的挑战。在前期研究中,吉林大学黄晓丽教授团队利用高温高压多种实验技术途径,发现了几种新型富氢化合物(Sci. Adv. 2020, 6: eaax6849; Nat. Commun. 2021, 12: 273; Nat. Commun. 2023, 14:2660; Natl. Sci. Rev. 2019, 6: 713-718; Natl. Sci. Rev. 2024, 11: nwad107; JACS 2020, 142: 2803-2811; Adv. Mater. 2022, 2200924; CCS Chem. 2022, 4, 825–831)。特别是,率先在百万大气压以下获得超导转变温度超过100 K、类金属氢子晶格的超氢化物CeH9和CeH10 (Nat. Commun. 2019, 10, 3461; Phys. Rev. Lett. 2021, 127, 117001)。因此,吉林大学黄晓丽教授等人与加州大学/哈佛大学Norman Yao教授团队开展合作研究,选择能够稳定到较低压力的、超导性能优异的铈氢化合物作为研究对象,并创新地提出对同一样品在同一压力下进行电学和磁学表征的实验方案。

图二:百万大气压力条件下NV色心的量子传感。(a)沿[100]和[111]面切割的金刚石中NV色心的原子分布示意图,(b)压力、应力以及磁场条件下电子基态能级结构的变化,(c)高压下不同方向色心对应的光探测磁共振谱线强度对比,(d)137 GPa条件下Sample S2的自旋回波和拉比振荡。
在本工作中,研究团队创新性地提出使用[111]切割方向的金刚石作为压砧,这能够最大程度地维持沿加压方向上NV色心的对称性,在百万大气压力以上(~140 GPa)实现对磁场绝对强度的测量。灵敏度达到35μT/
本工作中尤为关键的一步是NV色心金刚石压砧的制备。通过结合碳离子注入和高温退火,在[111]-Ib金刚石砧面约50 nm深度范围内制备了数百万分之一浓度的NV-色心。分别在金刚石对顶砧两侧利用光刻四电极以及手工布置的铂线,实现电输运测量及微波信号的传输;利用1070 nm激光对金属铈和氨硼烷的混合物进行高压原位激光加热。随后,研究团队在不同磁场强度下测量了CeH9样品电阻随温度的变化,获得了CeH9样品的超导零电阻实验证据。荧光扫描结果表明,激光加热的区域产生了更多的NV色心并具有很强的光探测磁共振(ODMR)对比度。ODMR实验使用亥姆霍兹线圈施加磁场并通过改变电流控制磁场强度;根据光磁共振谱线的劈裂随磁场的变化来标定和测量磁场。

图三:高温超导CeH9样品的初步表征及外磁场标定。(a)-(b)样品的白光显微照片,(c)-(d)样品的荧光显微照片,(e)-(f)不同磁场下样品电阻随温度的变化,(g)-(h)高压下光探测磁共振谱线及其劈裂值随亥姆霍兹线圈通入电流的变化。
在场冷(FC)和零场冷(ZFC)条件下,对制备的CeH9样品进行了零电阻和抗磁性的协同测量。由于高温高压制备的超导样品主要分布于荧光较强的区域,因此选取了其中不同的位置进行了抗磁性的测量。零场冷条件下,实验获得了明显的抗磁信号并且其转变温度与同步的电学测量结果一致。在场冷条件下,磁通钉扎效应导致样品的抗磁信号比较微弱,但实验仍捕捉到了明显的转变。结果表明,超导转变后磁场发生了不均匀的分布,符合超导体对磁场排斥的特征,证明了超导样品所具有的迈斯纳效应。

图四:场冷和零场冷条件下CeH9样品的电阻和抗磁性协同测量, (a)样品的荧光成像照片, (b)场冷条件下磁场及电阻随温度的变化, (c)零场冷条件下磁场及电阻随温度的变化。
基于NV色心的磁探测技术具有优异的空间分辨率,有助于获得超导样品的抗磁成像。本工作按1微米的步长线性扫描了超导转变后样品在特定温度以及均匀外磁场条件下表面的抗磁分布,实现了百万大气压力以上的磁成像,获得了非均匀样品的局部抗磁性特征,确定了CeH9超导样品的空间分布。

图五:外磁场中CeH9超导样品的空间分布。(a)外磁场中Sample S1的抗磁性沿线性方向的分布,(b) Sample S1的荧光成像照片,(c)Sample S2的荧光成像照片,(d) Sample S2特定位置磁感应强度随外磁场的变化。
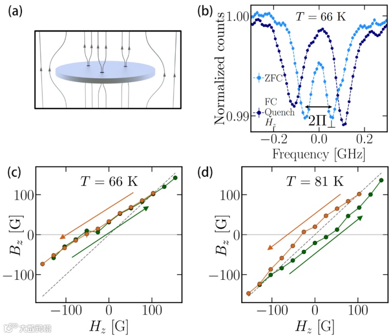
研究团队对磁通钉扎效应也进行了更细致的研究。实验首先测量了在从零场冷却到Tc以下,ODMR共振谱线因非静水压性产生的劈裂。然而将样品在外磁场中冷却到相同温度再退去外磁场后,实验却观察到了更大程度的劈裂。这正是由于样品在场冷过程中俘获的磁通导致的。进一步,实验还测量了样品在场冷到不同温度时的磁滞回线。这表明钉扎的磁通在更低温度下具有更高的强度,符合第二类超导体的特征。

图六:CeH9超导样品中的磁通钉扎效应研究。(a)磁通钉扎示意图,(b)零场冷以及场冷退磁后光探测磁共振谱,(c)-(d)不同温度下样品的磁滞回线。
研究团队实现了百万大气压力条件下富氢化合物超导体的磁探测,为极端条件下微量样品的磁学测量开辟了广阔的研究空间。本论文的共同第一作者为美国加州大学伯克利分校Pra Bhattacharyya博士、吉林大学物理学院超硬材料国家重点实验室陈吴昊博士和黄晓丽教授,通讯作者为美国加州大学伯克利分校/哈佛大学Norman Yao教授。该工作得到了国家重点研发计划青年科学家及国家自然科学基金委等项目的大力支持。

免责声明:本文旨在传递更多科研资讯及分享,所有其他媒、网来源均注明出处,如涉及版权问题,请作者第一时间后台联系,我们将协调进行处理,所有来稿文责自负,两江仅作分享平台。转载请注明出处,如原创内容转载需授权,请联系下方微信号。


