

撰稿|由课题组供稿
近日,昆明学院杨海教授团队对声压场分布与结构对称性之间的关系进行了研究,通过边界态的模式耦合机制,在理论和实验上实现了一种具有任意分配比的分束器。相关工作以“Asymmetric transport in sonic valley Hall insulators”为题发表在APS国际物理学期刊《Physical Review Applied》上。昆明学院硕士研究生邓程欣为论文的第一作者,杨海教授为通讯作者。
随着声学系统中量子谷霍尔绝缘体的发现,凝聚态物理学中的谷自由度的概念被引入到声学领域。许多研究关注对称声学拓扑边界态的传输特性,一般情况下,这些特性在两个声波输出端口提供了相等的能量分裂比;然而,很少有研究关注非对称声学拓扑谷边界态的传输。在本文中,通过引入非对称边界态实现了声学谷霍尔绝缘体的非对称传输,即在两个输出端口实现了具有任意分裂比的拓扑声波波导。
图1(a)是谷声子晶体的示意图,由空气和光敏树脂构成。通过调节散射体的边长,可以打开布里渊区高对称点K(K’)上的二重简并狄拉克点。图(b)-(d)分别展示了
的声子晶体色散关系。图1(e)展示了体拓扑相变过程,
为相变点。可以看到,通过改变
可以获得不同的拓扑相,从而实现带反转。根据k·p微扰法,构造K点附近的有效哈密顿量:
。这里可以把
看作是对称性破坏的强度,
,S1和S2分别是边长为d1和d2的三角柱的底面积。

图1.(a)谷声子晶体的示意图,参数为
。(b)-(d)具有不同参数
的声子晶体色散曲线。(e)拓扑相变图。
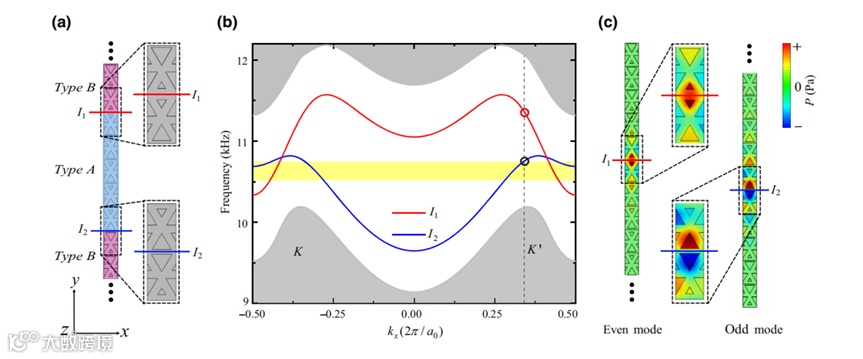
使用具有不同谷霍尔相的声子晶体构建了一个超胞,如图2(a)所示,它由三部分组成:type B-type A-type B。我们取type A(蓝色区域)的几何参数为
,type B(粉色区域)的参数为
。图2(b)和(c)中给出了超胞的投影色散关系和声压场的分布。由此可以看到界面态I1和I2的声压场分布分别呈现偶模式和奇模式。

图2.(a)由谷声子晶体的type A和B构建的超胞示意图。(b)超胞在x方向上的投影色散关系。(c)界面和的边界态的声压场分布。
为了说明
对界面态的奇偶调制和衰减的重要性,课题组设计了两个界面I1。当
时,对称偶模式界面态在正y方向上的分布与负y方向上的分布相同,如图3(a)所示。当
时,非对称偶模式界面态在正y方向上的分布与负y方向上的分布不同,如图3(b)所示。界面I2亦是这样。

图3.(a),(b) 分别表示沿着y方向(x = 0)的对称和非对称偶模式边缘态的分布。(c),(d) 分别表示沿着y方向(x = 0)的对称和非对称奇模式边缘态的分布。
论文中展示了直波导界面,具有
角的梯形界面和具有
角的Z形界面的声压场分布和透射谱(图4)。根据界面态显示的奇偶模式,可以观察到偶模沿着具有
角的梯形界面会转换为奇模,而沿着具有
角的Z形界面保持偶模不变。基于具有
角的梯形界面的性质,课题组设计了具有任意分裂比的拓扑声束器。

图4.(a)–(c)分别表示在10.62 kHz时,直波导界面、具有
角的梯形界面以及具有
角的Z形界面的声压场分布。(d)三种界面对应的透射谱。
课题组通过3D打印技术,制做了分裂比为1/2的实验样品,如图5(a)。图5(b)和(c)给出了模拟分裂比为1/2的声波分束器的声场强度和透射频谱,可以发现出口P1和P3的能量分裂比约为1/2,而P2出口的输出能量接近零。进一步我们在实验上测量了波导传输路径上的声压场和振幅场,绿色和粉色实线框中的声压场是奇模式,而红色和蓝色实线框中是偶模式,并且实验测量的透射谱中P1和P3能量分裂比约为1/2,这与我们的模拟结果相吻合。在分裂比为1/2的基础上,课题组还在模拟中设计了分裂比为1/3(图5.(f)和(g))和1/4(图5.(h)和(i))的两个分束器。文章最后,利用理论模拟和实验测试验证了这种可以任意调节分裂比的分束器对缺陷的免疫特性,如图6所示。

图5.(a)具有1/2分裂比的样品示意图。(b)在工作频率为10.62 kHz时,分束器的声场强度,其中分裂比为1/2。(c)在10.54–10.76 kHz时,具有1/2分裂比的分束器的模拟透射谱,青色平面表示强度为0.5的辅助面。(d)对应于图(a)中的四个彩色框,分别展示了通过实验测量的样品内部声压和振幅场的分布,(e)实验测量的分束器的传输谱(9.40–12.00 kHz)。两个端口P1和P2的输出强度比约为1/2。(f)和(g)[(h)和(i)]具有1/3(1/4)分裂比的分束器的声场强度和模拟透射谱。

图6.(a)在10.62 kHz时,具有两个水柱的分束器的声场强度。(b)、(c)分别为具有两个水柱的分束器的模拟透射谱(10.54–10.76 kHz)和实验透射谱(9.40–12.00 kHz)。(d)在10.62 kHz时,具有四个水柱的分束器的声场强度。(e)、(f) 分别为具有四个水柱的分束器的模拟透射谱(10.54–10.76 kHz)和实验透射谱(9.40–12.00 kHz)。
课题组从理论上和实验上实现了一种具有任意分配比的分束器。与传统的声波拓扑分束器相比,这一成果意味着我们能够根据特定要求,精确控制声波能量在不同路径或区域之间的分配比。这一进步使得对声波能量进行更加复杂和定制化的操纵和收集成为可能,最终提高分束器的效率和能量利用率。总之,具有任意分配比的分束器为传统应用提供了极大的灵活性和控制性,在实现其他声波设备和技术方面具有很大潜力,如噪声控制,拓扑声波开关和声波滤波器。
论文链接:

DOI: 10.1103/PhysRevApplied.21.034048

