

撰稿|由课题组供稿

近日,南京大学张荣院士、王学锋教授课题组与金飚兵教授、南京理工大学翟学超教授等多个课题组合作,通过在狄拉克半金属二碲化铂(PtTe2)薄膜中引入对称性破缺调控拓扑体系的能带结构,实现了贝里曲率偶极矩驱动的高效自旋光电流太赫兹发射,并通过缺陷工程建立了两者之间的定量关系。该工作不仅提供了一条引入对称性破缺实现拓扑体系高效非线性输运的普适路径,而且为发展基于大面积拓扑薄膜材料的自旋集成光电器件奠定了实验基础。相关研究成果以“Defect-induced helicity dependent terahertz emission in Dirac semimetal PtTe2 thin films”为题,于2024年3月23日在线发表于国际著名期刊《自然·通讯》(Nature Communications)。
图1 电子叠层成像技术表征面外的Te空位缺陷随厚度变化的梯度分布。
为了研究对称性破缺后的PtTe2薄膜中可能出现的奇异非线性现象,课题组利用太赫兹发射谱(图2a)对其进行了线偏振光垂直泵浦的太赫兹发射研究。他们发现太赫兹发射强度与飞秒激光的功率密度呈线性依赖关系,与二分之一波片的角度(ϕλ/2)符合cos2ϕ 的关系(图2b)。该现象来源于二阶非线性光学响应中的线偏振光电流效应(Linear photogalvanic effect, LPGE)。这是由于在激光泵浦过程中,系统的电荷中心在初态和终态之间发生了实空间的位移,其大小和方向与线偏振光的电场矢量有关。随后课题组进行了圆偏振光垂直泵浦的太赫兹探测,发现在左/右旋圆偏振(LCP/RCP)光的垂直泵浦下也观察到了太赫兹发射,且信号完全反相(图2c)。这种现象源自于圆偏振光电流效应(Circular photogalvanic effect, CPGE),其强度表示为左旋和右旋圆偏振光泵浦出的超快光电流太赫兹信号差值,表现为自旋极化。其它相关的太赫兹发射机制如光子拖曳效应(Photon drag effect)、光登伯(Photo-Dember)效应等都可以通过实验装置的几何结构和不同角度依赖特性的太赫兹信号被完全排除。值得一提的是,PtTe2的太赫兹发射效率是商用ZnTe单晶的近1000倍,展现了其作为未来太赫兹源的巨大应用潜力。同时在对照样品中(无缺陷梯度)并无明显的太赫兹信号产生。这些结果充分证明了VTe垂直缺陷梯度打破了体系的空间反演对称性和面内旋转对称性,因而产生了螺旋依赖的太赫兹发射。接着,他们对该样品进行四分之一波片角度依赖测试,发现太赫兹信号的螺旋依赖性具有明显的面内各向异性(图2d),这与PtTe2薄膜中的三重旋转对称性破缺所产生的各向异性能带有关。此外,对薄膜不同区域的太赫兹发射测量和二次谐波发生的面扫结果也都说明了PtTe2薄膜整体发生了对称性破缺,而不只是局限于某个小区域内。样品方位角依赖的太赫兹发射结果进一步证实了体系的对称性从C3v降到了C1。

图2 在对称性破缺的PtTe2薄膜中所观测到的螺旋依赖太赫兹发射。
为了深入理解CPGE超快自旋光电流的产生机制,课题组对完美晶体和具有缺陷梯度的PtTe2进行了密度泛函第一性原理计算。由于不同螺旋性的激光对自旋具有选择性(跃迁遵循光学选择定则),所产生的超快光电流(太赫兹发射)具有自旋极化的特征(图3a),这就要求具有强自旋轨道耦合与对称性破缺的PtTe2薄膜必须存在显著的零场自旋劈裂。对块体PtTe2的能带计算结果显示,由于受空间和时间反演对称性的保护,狄拉克点附近的能带完全自旋简并(图3b);而当引入缺陷梯度后,狄拉克点确实会产生明显的自旋劈裂(
点15±5 meV;K点70±5 meV),并且费米能级发生下移(图3c),这有利于飞秒激光激发非平庸能带上的电子而产生超快自旋光电流。此外,他们在8层厚度的PtTe2中也发现了类似的实验结果(图3d-f),从而证实缺陷梯度诱导狄拉克体系的对称性发生了破缺,使得原本简并的能带发生了零场自旋劈裂。这也是实验上能够探测到超快自旋光电流的先决条件。

图3 第一性原理计算揭示了缺陷梯度诱导能带发生自旋劈裂。
图4 通过缺陷工程从实验和理论上揭示了PtTe2薄膜中螺旋依赖太赫兹发射机制。

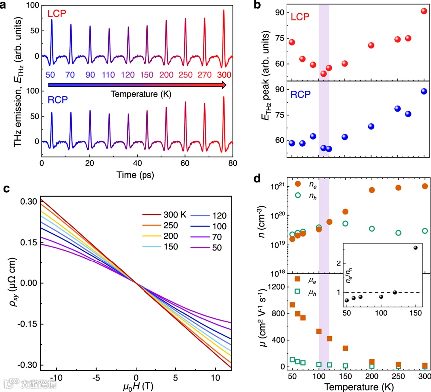
图5 温度依赖的太赫兹发射与载流子补偿的内在关联。
南京大学王学锋教授、张荣院士、金飚兵教授和南京理工大学翟学超教授为该论文的共同通讯作者。南京大学电子科学与工程学院博士生陈中强、集成电路学院邱红松助理教授、南京理工大学博士生程新娟为论文的共同第一作者。南京大学宋凤麒教授、奚啸翔教授、张彩虹教授、清华大学于荣教授、上海理工大学金钻明副教授等对该工作提供了大力支持和重要帮助。南京大学为论文第一完成单位。该项研究工作得到了国家重点研发计划和国家自然科学基金等项目的资助,同时也得到了江苏省光电信息功能材料重点实验室、自旋芯片与技术全国重点实验室、极端性能光电技术教育部重点实验室和人工微结构科学与技术协同创新中心等研究平台的支持。

全文链接:
https://doi.org/10.1038/s41467-024-46821-8

