

静冈大学大学院综合科学技术研究科的符德胜教授领导的研究团队,成功揭示了位于MPB相界(变晶相界)附近PZT(锆钛酸铅盐)单晶的本征压电特性。该研究深入探讨了70多年来未解明的PZT压电陶瓷中巨大压电响应的起源,并揭示了在薄膜应用中铁电畴效应等外部效应的重要性。这一发现为铁电压电材料的研究树立了新的标杆,并有望推动压电薄膜在MEMS器件等领域的创新应用发展。该研究成果已被美国化学学会的专业期刊《ACS Applied Electronic Materials》接受,并于2024年8月28日在线发表。
自1952年PZT陶瓷首次被报道以来,位于MPB相界附近的PZT陶瓷的巨大压电响应的确切起源仍然是个谜团。在MPB相界附近,由于菱方形晶体、正方形晶体和单斜晶体三种结构可以共存,经过70年的努力PZT单晶的生长一直都没有成功。因此,PZT陶瓷的巨大压电响应源自于单晶的晶格内在响应,还是由畴运动等外部引起的外在效应,仍未得到明确的答案。本项研究工作为解决这一长期谜团提供了重要的线索。
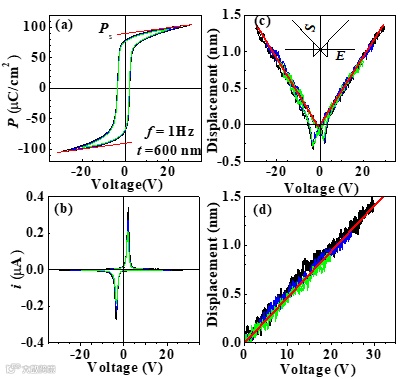
本研究聚焦于揭示MPB附近的正方形PZT晶体的本征压电特性。利用不锈钢基板的热膨胀引起的压缩应力以及LaNiO₃的稳定生长面(100),作者成功地制备了沿正方形晶体的c轴(极化轴)方向生长的PZT薄膜。在c轴取向膜中,由于不存在非180度畴反转所引起的外在压电效应,因此成功地揭示了正方形晶体的极化轴方向的本征压电效应。实验结果表明,MPB成分PZT正方相晶体的压电常数d33为46.3 ± 4.4 pm/V。本实验结果完全支持第一原理计算预测的正方相PZT单晶的室温压电值(50~55 pm/V)。
由于单晶值只有陶瓷的d33值(220 pm/V)的五分之一,这表明MPB相界附近PZT陶瓷的巨大压电效应并非来源于晶格的本征压电效应,而是由畴的运动等外部效应起着决定性作用。因此,薄膜应用中为获得大的压电效应,必须合理利用畴的运动等引起的外部效应。这一发现为MEMS器件等领域中PZT薄膜材料设计指出了新方向。

图1 c轴取向PZT膜的成長機構

图2 c軸配向PZT膜的XRD

图3 D-E loop, 反转电流、电场诱导形变

图4 d33及自发极化Ps

图 1PZT陶瓷及单晶压电系数的比较
本研究解决了自1952年以来关于PZT陶瓷巨大压电效应起源的核心问题,是压电材料领域研究的突破性成果。这一发现有望有助于压电材料的设计和新应用方面取得新的进展。

论文链接:
Intrinsic piezoelectricity of PZT, Desheng Fu, Seiji Sogen, Hisao Suzuki, ACS Applied Electronic Materials, 2024, DOI: https://doi.org/10.1021/acsaelm.4c00862
——课题组供稿

