

撰稿|课题组供稿
近日,湖南大学刘建军课题组理论发现了科学规律:非厄米系统四态非阿贝尔排列满足D4群。相关成果以“Non-Abelian permutations meet D4 group in a four-state non-Hermitian system”为题于2024年7月29日以“Letter”的形式在线发表于国际物理学权威期刊《Physical Review B》。湖南大学硕士生包淋升为论文的第一作者,湖南大学刘建军副教授为论文的通讯作者,北京大学彭超教授参与了论文讨论。
近年来,非厄米系统引起了广泛的研究兴趣,在光学、声学、量子系统等领域有了较为成熟的发展。奇异点(Exceptional points,EPs)是非厄米系统的典型特征之一,其阶数由特征态简并数量决定,即一个N阶EP(EPN)可以由N个特征态同时简并得到。基于非厄米EPs的特性研究,已经发现了许多有趣且新颖的现象,包括复能带编织结、非对称模式切换及非阿贝尔交换等,在光学微腔、耦合光波导及声学耦合腔等有广泛的应用前景。在非厄米二态以上模型中,多个特征态交换顺序不同会引发复杂且多样的排列结果,这种由交换顺序的不同引发的不同交换结果的现象称为非阿贝尔现象。在厄米系统中通过构造简并零能模可以实现非阿贝尔现象,而在非厄米系统中围绕多个二阶EPs(EP2s)或高阶EPs交换其特征态具有非阿贝尔交换潜力。
2022年,Ma等人在声学耦合腔中通过围绕EP2s,首次实验实现了非厄米系统三态非阿贝尔排列现象,这为研究非厄米系统非阿贝尔现象打开了大门。之后,利用封闭路径研究动态围绕EPs现象已在耦合光波导中有较成熟发展,但其动态演化不可避免地产生非绝热传输导致非对称模式切换,这使得在光波导中研究特征态的绝热演化非常困难。最近的研究表明,通过频闪观测及平行传输的方式在非厄米系统特征值黎曼流形中观察其演化可以避免非绝热传输。目前,非厄米系统的非阿贝尔现象研究仅限于三态系统。基于以上研究,通过非厄米系统更多态研究非阿贝尔现象,可以实现更丰富且新颖的特征值排列现象,为理解及探索非厄米系统特征态演化提供新见解,为研究非厄米系统多态非阿贝尔现象提供理论支撑,拓宽非厄米系统非阿贝尔现象的适用领域。
在上述研究基础上,本工作探索了非厄米系统四态非阿贝尔特征值排列现象,并发现其排列规律满足D4群。通过构造并围绕非厄米系统中存在的一个、两个及多个EP2s,展现了多达七种特征值排列结果,再加上自身不变的排列,八种类型共同组成一个非阿贝尔D4群,可以由4×4的置换矩阵描述。同时,利用频闪观测及平行传输的方式在耦合光波导中验证了这一结果。
图1 D4群对称操作:(a) 保持不变:e;(b) 旋转:按红色箭头方向绕正四边形中心依次旋转π/2、π、3π/2,分别表示为μ1、μ2、μ3;(c) 翻转:沿着正四边形对称轴(红色虚线)翻转,分别表示为τ1、τ2、τ3、τ4。
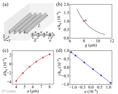
图2 四波导结构模型及参数设置:(a) 四波导三维结构模型,波导长度L=50mm,波导和背景折射率分别为1.5065和1.504,工作波长λ=810nm,插图为波导横截面,g为相邻波导的间距,κ为相邻波导间的耦合系数,其大小由g控制,a、b分别为波导椭圆横截面的长轴、短轴,初始值分别为6μm、8μm;(b) κ与g的拟合关系,a=6μm,b=8μm;(c) 失谐δ与a的拟合关系,b=g=8μm;(d) 损耗γ与波导折射率虚部n的拟合关系,a=6μm,b=8μm。
图3 当γ1=0.4时,三维参数(γ2,δ1,δ2)调控下,系统奇异弧(Exceptional arcs,EAs)及各选定参数平面黎曼流形分布情况:(a) 在(γ2,δ1,δ2)空间中EAs的分布,每条EAs表示相邻两个态的简并点轨迹,红色实线α1表示一、二态简并,α2表示二、三态简并,α3表示三、四态简并,浅色平面为选定参数平面;黎曼流形分布:(b) γ2=0.9时,对应绿色平面①;(c) δ1=0时,对应蓝色平面②;(d) γ2=0时,对应紫色平面③。

图4 各参数平面环绕EP2s的围绕路径、特征值演化及拓扑特性:绿色平面①:(a) 围绕路径Loop 1,(b) 特征值演化;蓝色平面②:(c) 围绕路径Loop 2,(d) 特征值演化;(e) 围绕路径Loop 3(与Loop 2相反方向),(f) 特征值演化;紫色平面③:(g) 围绕路径Loop 4,(h) 特征值演化;(i) 围绕路径Loop 5,(j) 特征值演化;(k) 围绕路径Loop 6,(l) 特征值演化;(m) 围绕路径Loop 7,(n) 特征值演化;(o) 七种围绕路径对应多带贝里相位;(p) Loop 1循环两次的各态交换过程。围绕路径中五角星表示EP2s,虚线表示对应EP2s分支切,箭头表示以S为起点的围绕方向,数字表示箭头前进的顺序,逆时针箭头表示逆时针方向包围EP2。系统各态特征值的演化中,实线为理论计算结果,实点为仿真计算结果,同一种符号代表同一特征值。
本工作理论探索了非厄米系统四态模型中特征值排列现象,并发现其排列规律满足D4群。基于本工作展现的七种非平凡特征值排列结果,再加上自身不变的排列共同组成非阿贝尔D4群{e、μ1、μ2、μ3、τ1、τ2、τ3、τ4}。另一方面,通过在三维参数空间调控多个EP2s的存在及演化,也呈现了高阶EPs,如EP3s、EP4s的拓扑特征。本工作丰富了非厄米系统非阿贝尔现象,有望为非阿贝尔现象在其它物理平台的研究提供理论支撑。
本工作受到了国家自然科学基金、湖南省自然科学基金、湖南省教育厅科学研究项目重点项目、“区域光纤通信网与新型光通信系统国家重点实验室”开放基金及广东省基础与应用基础研究基金等经费支持。

文章链接:
L. Bao, A. Shi, Y. Peng, P. Peng, J. Ning, Z. Wang, C. Peng, and J. Liu, “Non-Abelian permutations meet D4group in a four-state non-Hermitian system”, Physical Review B 110(2): L020104 (2024).
https://journals.aps.org/prb/abstract/10.1103/PhysRevB.110.L020104
DOI: https://doi.org/10.1103/PhysRevB.110.L020104
免责声明:本文旨在传递更多科研资讯及分享,所有其他媒、网来源均注明出处,如涉及版权问题,请作者第一时间后台联系,我们将协调进行处理,所有来稿文责自负,两江仅作分享平台。转载请注明出处,如原创内容转载需授权,请联系下方微信号。