

撰稿|课题组供稿
近日,浙江大学信电学院博士生徐新异与导师沙威,联合山西大学元晋鹏课题组及安徽大学黄志祥课题组,通过平均场近似和稳态迭代求解方法,成功模拟了常温下里德堡原子的多体相互作用,避免了超高维度的矩阵计算,使得1分钟时间、高精度仿真7000个里德堡原子的多体相互作用成为可能。该工作对里德堡原子传感技术从理论走向工程应用具有重要意义,相关研究在2024年5月以《里德堡原子四能级系统相互作用模型的快速算法:电磁诱导透明和阿特勒-汤恩斯分裂》(“A fast Simulation for interacting four-level Rydberg gases: electromagnetically induced transparency and Autler-Townes splitting”)为题发表在Optics Express上。DOI: 10.1364/OE.523897
过去几年中,基于里德堡原子的量子传感技术引起了全球研究者的广泛兴趣,并且得到了高速发展。里德堡原子具有大的极化率和大的电偶极矩,对外部电磁场十分敏感,可以用来测量电场强度特别是微波电场的强度。之前大部分理论研究基于单个原子的四能级模型,忽略了原子之间的相互作用。由于原子之间存在复杂的Rydberg-Rydberg多体相互作用,可导致Rydberg阻塞等效应,而高精度、快速建模这种相互作用极其困难。因此,如何在保证模型精度的同时,快速实现多体相互作用的建模成了至关重要的问题。
图1 (a)里德堡原子四能级结构图(b)里德堡原子相互作用情况
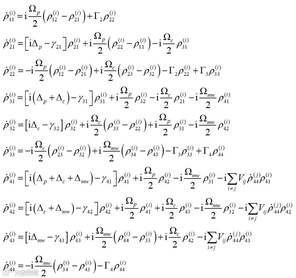
首先,考虑常温下的里德堡原子气室环境,基于平均场近似,对传统的单体光学布洛赫方程进行修正,引入相互作用项:

其中,
代表第i个原子的密度矩阵,
代表单个原子的哈密顿量,L代表林德布拉德算符,而
则代表原子间的相互作用。这里,只考虑主导的偶极-偶极相互作用,其表达式为:

由此,即可计算出里德堡原子四能级相互作用系统密度矩阵的各项表达式:

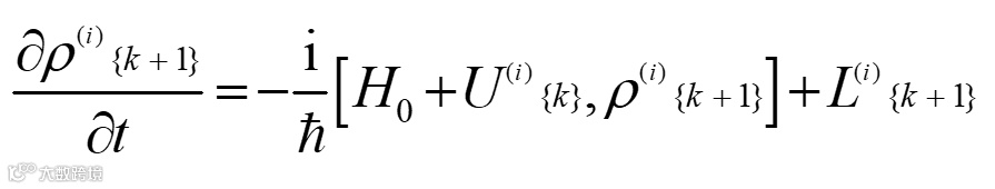
从上式可看出,每个原子的密度矩阵分量会受其它原子的影响,而影响的结果又会反过来作用于其它原子,这是一个复杂的非线性耦合过程。为快速求解上述非线性耦合常微分方程组,采用迭代及稳态求解的方法。
其中,迭代求解是指用上一步计算求得的相互作用项来计算当前步的原子密度矩阵;求得当前步的原子密度矩阵后计算相应的相互作用情况,并用于下一步密度矩阵的求解。通过该迭代过程,最终使得系统的EIT-AT图像趋于稳定。该过程可用下述公式表达:

该公式表达了第k+1步的迭代过程。
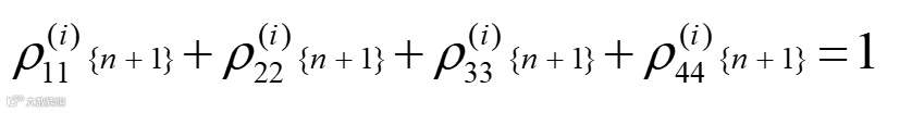
至于稳态求解,可将修改后的光学布洛赫方程写成矩阵的形式:

然后带入密度矩阵天然存在的约束方程:

可将复杂的时域运算简化为低维的矩阵求逆过程,大大缩减了整个仿真的时间。
另一方面,由于原子的运动是杂乱无章的,并且它们运动的速度服从一定的分布规律,需要考虑不同速度时的多普勒效应。这意味着:必须对每个原子的每个扫频点均进行一次积分计算,并且需保证积分运算的收敛性;这会大大增加算法的计算复杂度。在本工作中,将每个原子在时间上的多普勒平均,转移到空间上所有原子的系综平均,可有效降低计算时间。
在三能级系统仿真中,该方法与文献中的蒙特卡洛速率方程法(Monte Carlo rate equation,MCRE)进行对比,相对均方误差为0.064和0.050;与采用传统龙格库塔方法求解时域方程的结果相比,误差为0.18%;并且,传统龙格库塔方法需要6556 s,而提出方法仅需8 s。

图2 红色实线代表快速算法得出的数据,蓝色虚-点线代表MCRE方法计算出的数据,绿色的点线代表文献实验中实际测得的数据。图a代表探测光拉比频率为2π×0.08MHz,图b代表探测光拉比频率为2π×2MHz。
在四能级系统的仿真中,该算法可较好地模拟实验结果,显示出四能级系统EIT-AT双峰之间的不对称现象,有用区间的相对误差为4.59%,用时仅为92 s。

图3 红色实线代表多体模型快速算法的计算结果,蓝色虚-点线表示单体模型的结果,绿色虚线则代表实验测得的数据。
在失谐量较大时,透射率出现负值是因为实验数据是在交流耦合模式下采集的,这样的采集模式意味着光电探测器接收到信号中的直流分量被过滤。此时光电探测器在器件的最佳偏置电压下工作,能减少信号抖动、改善所得到的光谱信号。同时导致所采集实验数据中,刚发生变化与结束变化时的信号比原信号变化更剧烈,正如图中所示。需要注意的,EIT-AT分裂测量过程中只需关注信号的峰值位置,而与刚发生变化与结束变化的光谱位置无关。因此这一现象并不影响对实验结果的分析。
该工作提出了一种用于仿真常温下里德堡原子多体相互作用的快速算法,对相关技术走向工程应用有重要意义。论文第一作者为浙江大学博士研究生徐新异,通讯作者为浙江大学沙威。该项工作的合作者包括浙江大学马金楼博士、应磊研究员,山西大学元晋鹏教授,安徽大学谢国大博士、黄志祥教授。
DOI: 10.1364/OE.523897

