

近年来,许多研究人员通过实验或模拟设计并制造出了辐射冷却装置或夜间升温装置。例如光子晶体、微/纳米多孔结构、多层材料和粒子混合物。然而,这些材料的光谱特性在制造后无法灵活调整。本研究通过提出一种简单的多层薄膜结构实现在可在白天辐射制冷,夜晚进行辐射增温。这些研究为辐射热管理技术的进一步发展提供了重要支持。
日间辐射降温和夜间辐射升温是利用大气层、外层空间以及不同光学特性的物体之间的热辐射过程来调节温度的方法。在此过程中,物体根据自身的光学特性,通过热辐射与周围环境相互作用,调节自身温度。辐射温度调节的基本原理如图1(a)所示。
要实现自适应辐射加热和冷却,结构需要在白天和夜晚具有不同的光谱特性。理想的自适应辐射供暖和制冷系统应具有图1(b) 所示的光谱特性。白天,环境温度升高。当VO2温度超过相变温度Tc时,结构在大气透明带具有高发射率,从而将热量有效地辐射到外层空间。为了充分探讨结构随吸收率对夜间辐射增温的影响,我们根据大气透射率分别考虑了大气辐射带(5-8和14-16 μm,λ1)和大气透明带(8-14 μm,λ2)。当大气温度高于物体温度时,λ1波段的热辐射较强,主要是由于水蒸气辐射。相比之下,λ2波段的大气放射性相对较弱,因为大气在这一波段几乎是透明的。在夜间,当VO2温度T小于相变温度Tc时,结构在大气透明范围内表现出低发射率,从而减少了辐射冷却。同时,它在大气辐射窗口具有高吸收率,从而实现夜间增温效应。

图1 温度自适应选择性发射器的运行机制。(a)内部、外部空间和结构表面之间的辐射热交换示意图;(b)不同状态下结构的理想光学光谱发射率。
我们设计了温度自适应选择性发射器,它由两个部分组成,即底部的动态选择性发射器和顶端的光谱选择性滤波器。选择性发射器如图2(a) 所示。选择性发射器由Ge/VO2/ZnS/Ge/Ti组成,每层厚度分别为d1= 0.338 μm、d2= 1.018 μm、d3= 1.136 μm、d4= 0.941 μm、d5= 1 μm。图 2(b) 和(c)分别显示了基底动态选择性发射器在太阳波段和红外波段的发射率。为了进一步改善该结构的昼夜辐射冷却特性,在动态选择性发射器的顶部放置了一个光谱选择滤光器。滤光片是由BaF2/ZnSe组成的22 层堆叠结构。这种光谱选择滤光片有两个用途:反射太阳光和透过红外线。如图2(e)和2(f)所示。
我们将底部的选择性发射器与顶部的光谱选择性滤光器结合起来,形成一个温度自适应选择性发射器,如图2(g) 所示。在昼间,上部滤光器具有较高的太阳反射率,当VO2处于金属相时,在光谱选择性滤光器的存在下,整体结构在太阳光谱范围内具有较小的吸收率。同时,它在8-14 μm 波段具有较高的选择性发射率,而在其余波长范围内的发射率最低。在夜间,该结构在大气辐射波段具有高吸收率,在大气透明波段具有低发射率。

图2 (a) 底部选择性发射器示意图;(b)选择性发射器在太阳光谱波段和(c) 红外波段的发射率;(d)顶部光谱选择性滤光器示意图;光谱选择性滤光器,(e)太阳光谱的反射率和(f) 红外波段的透射率;(g)组合式温度自适应选择性发射器示意图;(h)太阳光谱的发射率和(i) 红外波段的发射率。
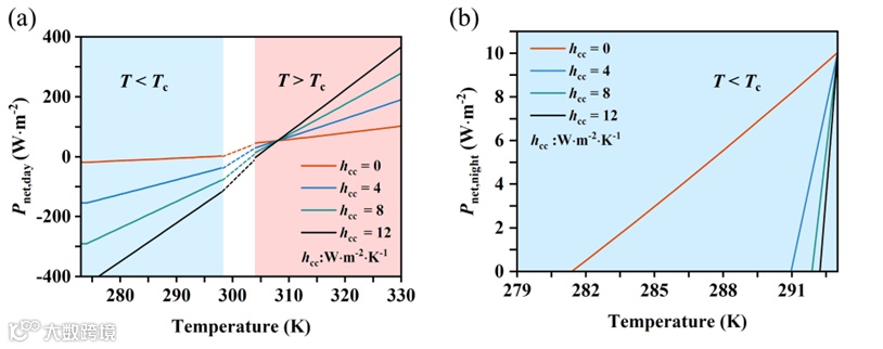
为了评估白天垂直太阳能下的冷却通量和夜间物体的净热损失。VO2的相变温度Tc为301 K。我们假设结构温度T> 303 K 时,VO2处于金属态;当T< 299 K 时,VO2处于绝缘态。图3(a)中,结构温度T达到308 K 时,总净辐射冷通量为53.58 W∙m-2。图 3(b) 显示了夜间的净热损失,假设环境温度Tamb= 293 K。当物体温度T低于相变温度时,VO2处于绝缘状态,结构的净热损失低至10.04 W∙m-2 。

图3 (a)白天308 K和(b)夜间293 K时不同hcc的辐射功率。
我们将Pnet= 0 时的结构温度T 与环境温度 T之间的差距定义为∆T。图4显示了温度自适应系统在白天和夜间的温度调节效果,并与无辐射加热效应的传统温度自适应辐射(CTR)冷却器进行了比较。在自然对流条件下(3 <hcc< 20),结构的白天平均温度比Tamb低5.8 K。与CTR 相比,该结构白天的平均冷却效果仅低0.9 K。这表明本文提出的结构在白天同样具有良好的冷却效果。如图 4(b)所示,该结构在夜间的平均温度仅比Tamb低1.3 K。与CTR 相比,温度自适应结构在夜间的表面温度平均高出1.9 K。不同hcc值下的温度变化表明,该结构可有效实现昼间辐射冷却和夜间辐射升温的功能,从而有效缩小昼夜温差。

图4 (a)白天308 K,(b)夜间293 K时不同非辐射系数下温度自适应选择辐射源和CTR的表面温度。
在这项研究中,我们还模拟了在洛杉矶室外环境条件下,自适应选择性发射器的温度随时间的变化。图 5 展示了自适应选择性辐射器在 24 小时内的模拟温度变化。在清晨至上午 10 点和晚上8 点之后,环境温度Tamb下降。当VO2的温度降到Tc以下时,结构起加热作用,使结构的温度接近环境温度。上午10 点以后到晚上8 点左右,Tamb上升,当VO2的温度超过Tc时,结构处于冷却状态。下午3 点的冷却效果最大,温度降低了约6.4 K。因此,该结构可有效缩小昼夜温差,从而实现全天候辐射热管理。

图5 温度自适应选择发射极的温度T(黑色曲线)随环境温度Tamb(红色曲线)在24小时周期内的变化。
本研究提出了一种温度自适应选择性发射器。VO2的相变状态在白天和夜间由不同的温度控制,从而实现白天辐射冷却和夜间辐射加热。在白天,该结构通过在太阳光谱带的弱吸收和在大气透明带的高发射率实现辐射冷却。在自然对流条件下,该结构的表面温度平均比308 K 的环境温度低5.8 K。在自然对流条件下,该结构的平均表面温度仅比293 K 的环境温度低1.3 K。随着对可持续建筑和节能技术的需求不断增长,辐射制冷和夜间供暖技术的市场前景将越来越广阔。这一领域的研究和发展将推动相关技术的进一步发展,并促进其在实际建筑工程中的应用。这种策略不仅为节能问题提供了一种创新的解决方案,而且拓宽了在红外伪装等领域的应用前景。
文章的第一作者为王博士研究生。通讯作者是山东高等技术研究院的吴小虎教授、和河南师范大学于坤教授。

文章链接:
https://doi.org/10.1016/j.solmat.2024.113291
--由课题组供稿


