

导 读
研究内容

图1:(a)非线性光波导阵列输运结示意图。(b)
相图,Rp和Rn分别表示正温区和负温区,Rf区不存在平衡态。
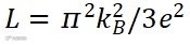
。此工作通过精确的数值模拟,预测了非线性光波导阵列组成的输运结(图1)中光子版本的W-F定律,其中Lorenz数
,它不依赖于晶格结构的细节以及模型的参数,并在正负温度下都有效(图2)。理论分析发现这起源于不同能量下热流和粒子流的解耦以及它们不同的温度依赖性。最后,通过跟踪非对称结的热化过程,发现存在非线性时,系统的功率和热流都存在明显的整流效应。

总结
论文链接:
https://link.aps.org/doi/10.1103/PhysRevLett.133.116303
——课题组供稿


