

近日,山东高等技术研究院吴小虎教授课题组提出了一种基于二氧化钒的智能窗。通过改变VO2的不同状态,可以有效地调节大气窗口的发射率。在高温环境下,窗户达到高发射率以达到冷却目的,而在低温条件下保持低发射率以防止热量损失。此外,这种窗口结构可以调节VO2相变前后可见光的透过率,保证合适的光环境。相关成果以“Adaptive photothermal management of smart window based on VO2”为题,发表在《Applied Thermal Engineering》上。

理想建筑窗口的特征如图1(a)所示。在评估超薄玻璃的性能时,窗户的透明度应该被认为与它的冷却性能一样重要,甚至更重要,因为透明度是直接影响人类视觉感知的窗户玻璃的基本要求。人们普遍期望住宅和办公空间的窗户具有高透光率。透光率不足会导致阳光照射不足,降低外部能见度,从而影响视觉舒适度。当环境温度(Tamb)低于VO2的相变温度(Tc)时,智能窗的光学特性表现为高VIS透射率和低AW发射率。这允许VIS通过窗户,同时防止辐射热逸出。相反,在高温下,智能窗应具有高VIS透过率和高AW发射率,以增强辐射冷却效果。
基于以上分析,我们提出了一种基于VO2的多层膜薄膜可调谐智能窗,其结构示意图如图1(b)所示。当VO2处于绝缘状态时,智能窗在可见光范围内具有明显的透明性能,在可见光范围内具有低发射率。当VO2转化为金属态时,智能窗口在VIS中保持透明度,在AW中实现高发射率。

图1 (a)理想频谱中智能窗的工作原理。(b)智能窗结构示意图。
图2 (a)和(b)显示了相变前后结构的太阳光谱透过率和红外发射率的变化。黄色阴影表示归一化的AM1.5全球太阳光谱,蓝色阴影表示大气透过率。在图2(a)中,当VO2处于绝缘状态时,它在VIS区具有73.7%的高透射率,在AW区具有低发射率,抑制了辐射散热。如图2(b)所示,当VO2处于金属态时,在可见光区的透过率降低到57%的同时,VO2在AW区具有较高的发射率,同时保证了足够的照度,有利于辐射散热,从而降低了室温。

图2 当(a) VO2处于绝缘状态和(b)处于金属状态时,可切换智能窗的光谱。
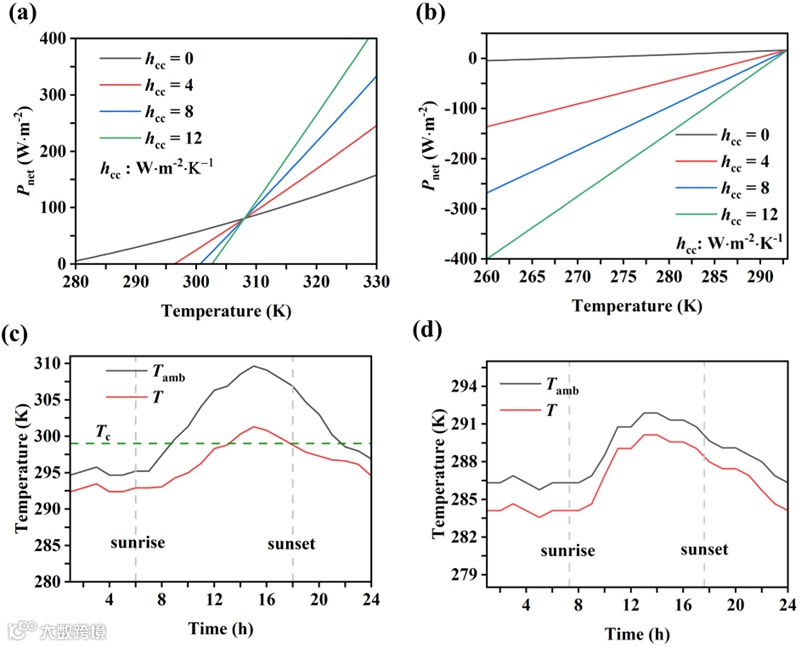
计算了垂直太阳能作用下白天的冷却通量和夜间物体的净热损失。首先计算了VO2相变前后结构的净辐射功率,如图3(a)和3(b)所示。为简单起见,将E视为与温度无关的值,假设VO2是金属或绝缘体,与温度无关。如图3(a)所示。当目标温度达到308 K时,总净辐射冷却通量为81 W∙m-2。在Tamb < Tc时,VO2被绝缘,假设环境温度Tamb = 293 K,低温时的净热损失如图3(b)所示。308 K目标温度下的净辐射冷却通量为81 W∙m-2。
为了评估智能窗在真实环境中的性能,我们模拟了洛杉矶室外条件下智能窗的温度变化。我们使用2023年夏季和冬季一天的环境温度和太阳辐射数据。图3(c)为7月某一天24小时内的模拟结构温度变化。如图3(c)所示,结构的温度接近环境温度,从而减少了热损失。冷却效果在下午3点最为明显,温度降低约8.4 K。此外,该结构有效地缓解了昼夜温差。在图3(d)中,模拟了冬季12月一天的温度变化,其中环境温度Tamb始终低于VO₂的相变温度。因此,该结构一整天都处于绝缘状态。夜间无光照,结构温度比环境温度低2.19 ℃,而白天有光照时,结构温度比环境温度低1.7℃。这种性能使智能窗成为寒冷季节的理想解决方案,提高室内舒适度并有效降低供暖能耗。

图3 (a)白天308 K, (b)夜间293 K时不同位置的辐射功率。(c)夏季和(d)冬季,智能窗温度T和环境温度Tamb在24小时内的变化。
利用Energy Plus软件对普通玻璃和全光谱调制智能窗的能耗进行了详细分析。假定墙体具有一定的保温水平。VO2智能窗口的运行状态取决于窗口表面的温度。利用美国能源部提供的气象数据,求解了建筑内部和外部的能量平衡方程,以评估其能耗性能。为了便于对VO2智能窗与普通玻璃的能效进行直接比较,我们对全球多个城市的能耗数据进行了分析,如图4所示。结果表明,智能窗户在所有城市都表现出显著的节能效果,特别是在洛杉矶,智能窗户每年节省的总能源超过90 MJ/m²,节能率超过11%。这一优势主要归功于智能窗户卓越的近红外屏蔽能力,它有效地减少了炎热气候下的能源消耗。此外,VO2智能窗在冬季的低发射率特性显著抑制了辐射冷却效果,从而有效地减少了室内的热损失。综上所述,智能窗不仅能适应不同的气候条件,实现节能减排,还能为居住者提供更加舒适的生活环境。

本研究提出了一种基于VO2的智能窗口,用于自适应调节可见光透过率和AW的发射率。该结构在VO2相变前后的平均VIS透过率分别为73.7%和57%。此外,还可以根据VO2的状态调节AW的发射率,实现高温下的高发射率冷却和低温下的低发射率冷却,防止温度耗散。在自然对流条件下,当Tamb = 308 K时,VO2处于金属态,结构温度比Tamb低7.4 K,达到冷却效果。当Tamb = 293 K时,VO2处于绝缘状态,温度仅比Tamb低2.2 K,以阻止过多的热量损失。这一战略为解决节能问题提供了一种创新的方法,扩大了窗口研究的范围,拓宽了在红外伪装、建筑和汽车能效等领域的应用前景。
文章的第一作者为王博士研究生。通讯作者是山东高等技术研究院的吴小虎教授、和河南师范大学于坤教授。

https://doi.org/10.1016/j.applthermaleng.2024.125389

