近日,河北大学乔双教授与香港大学Li Lain-Jong教授团队合作,通过构筑边缘半金属电极显著提升了3R-MoS2的体光伏效应,并在3R-MoS2/WSe2异质结中验证了体光伏效应对光伏效应的调控作用及展示了其在光位置相关测量领域的广阔应用前景。研究发现,Bi半金属能够有效消除金属-过渡金属硫化物之间的肖特基势垒,从而促进体光伏效应的实现。而边缘接触方式不仅能更高效地收集材料中的光生载流子,还能诱导均匀的拉伸应力,打破3R-MoS2的面内反演对称性,使得体光伏电流相比传统表面接触方式提升了100倍以上。研究团队进一步设计并制备了3R-MoS2/WSe2异质结,探讨了体光伏效应与光伏效应的协同工作机制,并据此提出了其在光位敏探测器上的新应用。这项工作为光电子器件的性能提升提供了重要的理论依据和实验支撑。
该研究成果以“Boosting bulk photovoltaic effect in transition metal dichalcogenide by edge semimetal contact”为题发表在国际顶尖学术期刊《Light: Science & Applications》上。河北大学乔双教授为第一作者和通讯作者,香港大学Li Lain-Jong教授为通讯作者。香港大学万弋助理教授、Philip C.Y. Chow教授、Dong-Keun Ki教授和北京交通大学时玉萌教授等作者提供了重要支持。
体光伏效应(BPVE)通常存在于非中心对称结构材料中,因其可能超过传统太阳能电池的肖克利-奎塞尔(SQ)极限,近年来引起了研究者们的广泛关注。BPVE的研究可以追溯到20世纪70年代,最初主要集中在铁电氧化物材料。然而,这些材料的光电流通常较小,且由于带隙较大,限制了其光谱响应范围。最近,过渡金属硫化物(TMD)在BPVE方面展现出巨大的潜力,其光电流比其他材料体系大几个数量级。此外,研究人员还探索了多种方法来调控TMD中的BPVE,包括应变工程、异质界面、去极化场和边缘嵌入结构。如3R-MoS2具有三重旋转对称性,理论上不应表现出面内自发极化和BPVE。然而,当施加外部应力后,其对称性会被打破,从而观察到了BPVE。
尽管在BPVE方面取得了一些进展,TMD的潜力尚未得到充分发挥,仍存在几个关键问题亟待解决。首先,由于费米能级钉扎效应,金属与TMD之间通常形成非欧姆接触,界面肖特基势垒抑制了BPVE的性能,导致准确评估BPVE变得困难。其次,以往的器件多采用顶部接触(TC)电极,这在载流子的传输和收集方面存在一定限制。第三、外部应变打破结构对称性通常通过不可扩展的方法实现。最后,目前对BPVE的研究主要集中在提高其光电流或效率上,而BPVE与传统光伏效应(PVE)之间的相互作用尚未得到深入探索。这些问题的解决将有助于更好地发挥TMD在BPVE领域的潜力,并推动相关技术的进一步发展。
鉴于此,该研究团队通过构筑边缘接触(EC)Bi半金属电极研究了3R-MoS2中的体光伏效应。由于Bi-MoS2间的低接触电阻、EC方式引起的拉伸应变以及有效的载流子收集,极大提升了BPVE。进一步设计了3R-MoS2/WSe2异质结,验证了BPVE对PVE的调控作用,并展示了其在光位置相关测量领域的重要应用。
边缘半金属接触优势
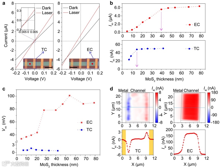
为了更好地对比EC和TC器件的区别,研究团队在同一个样品上制备了这两种器件。在暗态下,I-V曲线均呈现极好的线性关系,且其电学性能远优于其他金属接触的情况,证明了Bi半金属与3R-MoS2之间形成了优良的欧姆接触。在光照射下,这两种器件的BPVE表现出显著差异:TC器件的短路电流为48.11 nA,开路电压为1.65 mV,而EC器件则分别达到了1.26 μA和39.44 mV。进一步对不同层厚的器件进行测量,结果显示EC器件的短路电流随层厚的增加而快速线性增加,当层厚达到40 nm(光穿透深度)时,电流呈现饱和趋势,最大光电流达6.36 μA,远高于其他结果。而TC器件的光电流则维持在几十纳安的范围,且仅在层厚小于15 nm时,光电流才表现出为微弱的增长趋势。这表明,TC器件中的光生载流子不仅需要在层内传输,还需要在层间传输。由于层间传输性能较差,其BPVE往往非常有限。相比之下,EC器件仅需载流子层内传输,能够更有效地收集底层中的光生载流子,使得BPVE仅受到光穿透深度的限制。最后,光电流mapping结果更加直观地反映了两种接触器件BPVE的区别。TC器件的光电流仅为几纳安,并且在电极边缘出现相反的极性,这可能是由于光热电效应或非完美欧姆接触所引起的。而对于EC器件,光电流在整个沟道内分布非常均匀,电流值可达180 nA。这些结果进一步验证了EC相较于TC在提升TMD中BPVE的优势。
图1. TC和EC器件在BPVE性能上的区别。
体光伏效应调控作用
研究团队设计并构筑了3R-MoS2/WSe2异质结,验证了BPVE对PVE的调控作用。通过电极1与电极2以及电极3与电极4之间BPVE的测量,确定了3R-MoS2中面内极化方向为自左向右。从能带结构图可以看出,在异质结中,当对电极2与电极5之间进行测量时,面内极化会加速光生载流子的分离和传输,因此BPVE会提升PVE的光响应性能。而当对电极3与电极5之间进行测量时,面内极化则会阻碍光生载流子的分离和传输,导致PVE光响应性能减弱。为了进一步验证该调控作用,研究团队对3R-MoS2区域(P1和P3)以及异质结区域(P2)进行了光照射实验,分别测量电极2与电极5以及电极3与电极5之间的光响应性能。结果表明,电极2与电极5之间的光响应性能始终优于电极3与电极5之间的光响应性能,从而验证了BPVE对PVE的调控作用。该研究为未来光电子器件的设计与优化提供了重要基础,并为提升相关器件的性能开辟了新的途径。
图2. BPVE对PVE的调控作用。
光位敏探测器应用
考虑到BPVE对PVE的调控作用,并且该调控作用强烈依赖于光照位置。研究团队将光照位置从电极2的边缘逐渐移动到电极3的边缘,同时对电极2与电极5以及电极3与电极5之间的光电流进行测量,得到了位置依赖的光电流响应。这一特性使该器件在光位敏探测器方面具有潜在应用。由于该器件结合了BPVE和PVE的优势,在未来高精度位置测量及相关领域展现出广阔的发展前景。

论文信息
Qiao, S., Liu, J., Yao, C. et al. Boosting bulk photovoltaic effect in transition metal dichalcogenide by edge semimetal contact. Light Sci Appl 14, 22 (2025).
https://doi.org/10.1038/s41377-024-01691-z
免责声明:本文旨在传递更多科研资讯及分享,所有其他媒、网来源均注明出处,如涉及版权问题,请作者第一时间后台联系,我们将协调进行处理,所有来稿文责自负,两江仅作分享平台。转载请注明出处,如原创内容转载需授权,请联系下方微信号。