

近日,上海交通大学物理与天文学院袁璐琦课题组联合武汉大学物理科学与技术学院肖孟课题组,提出了在准参量放大系统中引入非厄米宇称-时间对称理论,实现了多重相变及高灵敏的非厄米传感。该项工作的第一作者是袁璐琦课题组的博士生吴枭雄,通讯作者为袁璐琦教授和肖孟教授,该工作得到包括上海交通大学陈险峰教授的重要指导,合作者还包括马金贵教授、Texas A&M大学Vladislav V. Yakovlev教授。

非厄米物理系统由于其独特性质及应用前景在当前物理基础研究中而备受关注。在以往传统量子力学中,厄米性是一个基本的假设,从而保证系统的本征值是实数且演化满足幺正性。但实际系统通常会与外界环境进行能量的交换,从而具有非厄米性的开放系统相较而言更具有普适性。与传统厄米体系相比,非厄米系统拥有很多独特特性,因此推动着其向相关应用的探索。其中一个典型的例子就是具有宇称-时间对称(Parity-time symmetry)的物理体系,在一些特殊的参数条件下,能带发生重合形成奇异点(Exceptional point),如单向隐身、单模激光和高灵敏度传感等相关应用也由此逐步发展起来。尽管以往的研究有很多集中在光子学平台,同时非厄米性与非线性混频之间的联系已经被揭示,但关于非线性混频中的宇称-时间对称相变和相关应用的探索仍然缺乏深入的研究。因此,我们将这种非厄米概念引入到非线性混频的准参量放大(Quasi-parametric amplification)系统中,从而发现多重宇称-时间对称相变现象,并依于相变特点将此应用到传感领域。
如图1所示的准参量放大过程,是通过将晶体中注入掺杂离子,利用耗散进行调控增益,可以显著提高激光放大效果,为有效获得超高峰值功率的超短脉冲提供了技术支持。这种准参量放大是一种非线性相互作用,包含如图1(b)中的参量下转换(Parametric down-conversion)和线性吸收过程。在无耗散的情况下,正向产生的信号光和闲频光反向过程的能量倒流会影响信号光的进一步放大,而通过把光参量放大和耗散调控增益的概念高效结合起来,将非线性过程产生的闲频光利用掺杂离子的线性损耗机制进行吸收,可以有效限制非线性过程的能量倒流,从而实现泵浦光正向的频率转换,为信号光的进一步能量放大起到有利保障。
图1. 基于参量下转换和线性损耗的准参量放大示意图
在前述的准参量放大的线性损耗过程中,掺杂离子对下转换产生闲频光的吸收实际上类似于封闭系统与外界的能量交换,即闲频光的含时演化为系统的损耗项,而与此对应能量正向转换过程的泵浦光即为系统的增益项,因此我们可以在这样一个非线性混频中,通过子系统的泵浦光和闲频光构建起非厄米宇称-时间对称系统,进而研究其相变特征。
图2. 准参量放大系统的宇称-时间对称相变
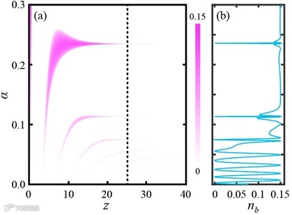
图2展示了在不同的参数条件下宇称-时间对称相变特征,其中图2(a)表示演化过程中信号光和闲频光之间的对比度,图2(b)表示哈密顿量本征值的虚数部分,α为线性吸收系数。可以看出,随着参数变化,相变过程呈现出丰富的特征,且二者之间展现出相同的演化特点。如在非极端情况下,线性吸收系数较小时,掺杂离子对闲频光的吸收不足以抗衡参量下转换的能量逆向流动,故在图2(a)中的Density ratio随着演化表现为振荡的行为,同时图2(b)系统本征值仅存在实数部分。另外,在初始泵浦光较弱的条件下,相变图中出现许多尖锐的峰值如图3(a),这是源于参量下转换和其逆向过程相互之间的竞争,正是这种竞争使得此时的信号光会在演化过程如图3(b)中骤降,并类似在图2(a)中呈现出多个交错状条纹。
图3. 宇称-时间对称相变特征与信号光演化之间的联系
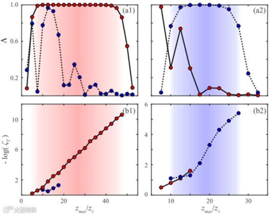
值得注意的是,这种相变的峰值对参数变化极度敏感,因此我们可以考虑将这一特点用于高精度传感探测晶体掺杂的均匀性。如图4即为利用图3中标识I和II处相变峰值进行传感测量掺杂均匀性的效果图,其中Λ定义信号光变化的峰值尖锐程度,ζ_T表示感知的精度,红色和蓝色数据点分别为利用图3中不同峰值进行传感的结果。可以看出,二者的传感范围和精度各有差异,且利用I处的峰值特征得到的传感精度甚至可达到10^-11,故有望用于高精度传感测量掺杂的均匀性。
综上所述,我们将非厄米的概念引入到了准参量放大系统中,并发现了动力学演化中存在的多重宇称-时间对称相变特征,且基于相变特点展示了高精度传感测量晶体掺杂均匀性的效果,因此为后续非线性光学中研究非厄米提供一个新的平台,并为超灵敏传感开辟了一条重要途径。

论文信息:
Studying quasi-parametric amplifications: From multiple PT-symmetric phase transitions to non-Hermitian sensing
XiaoXiong Wu, Kai Bai, Penghong Yu, Zhaohui Dong, Yanyan He, Jingui Ma, Vladislav V. Yakovlev, Meng Xiao,* Xianfeng Chen, Luqi Yuan*
--课题组供稿


