今天我们继续为大家带来本周的超材料前沿研究精选,内容涉及基于合成维度的片上弹性波操控,利用非相干光实现的低功耗可扩展多层光电神经网络,声子晶体控制高频声子与单量子系统之间相互作用,由朗道能级形成的可编程近藤效应等,敬请期待!
索引:
1 基于合成维度的片上弹性波操控
2 利用非相干光实现的低功耗可扩展多层光电神经网络
3 声子晶体控制高频声子与单量子系统之间相互作用
4 由朗道能级形成的可编程近藤效应
5 用于高灵敏度便携式辐射探测器的大体积肖特基结
6 超导体中磁通量子的巨热电响应
7 电场对氧化铁电体极性拓扑的可逆操纵
8 可编程机械逻辑的双稳态软壳
9 聚合物链和表面超分子晶格中拓扑声子的重边界模式图案化和动力学
在集成平台上操控弹性波对于射频通信、微流体、传感、腔光力学、超导电路和量子信息等领域具有重要意义。近年来,拓扑声子晶体(PCs)的发展为固体中的弹性波调控提供了新的途径。其非平庸的拓扑特性能够确保弹性边界态或界面态的存在,从而实现免受缺陷散射影响的能量传输。通过在二维硅或氮化铝纳米膜中设计拓扑纳米机电超材料,可以实现单向波导和紧凑型延迟线,满足高频信号处理的需求。此外,在半无限铌酸锂基底上制造的微型声子晶体,还可用于生成拓扑谷锁定的表面声波。然而,目前片上弹性波的操控仍局限于低维系统,向三维扩展面临样品制造与测量技术等方面的实验挑战。合成维度利用系统的内在自由度(如原子自旋、光子频率、空间模式和轨道角动量),突破了几何维度的限制,为探索高维物理现象提供了可能性。这一概念已在冷原子和光子系统中取得深入研究,并成功实现了基于合成维度的拓扑光子边界态,同时在拓扑绝缘体激光器等领域展现了潜在应用。此外,结合结构参数或非厄米参数与低维空间,可以在声学与光子系统中合成Weyl点。
近日,郑州大学陈刚教授和严谋研究员团队在二维硅基绝缘体(SOI)中利用合成维度,成功实现了芯片上的弹性Weyl点。研究团队通过结构工程实现面内赝磁场,首次在二维系统中实验演示了片上的手性Landau能级(LLs),突破了手性LLs仅存在于三维系统的传统认知。并且这种面内赝磁场与先前研究的垂直赝磁场截然不同:垂直赝磁场通过移动动量空间中的Dirac锥生成,但不会打开带隙;而面内赝磁场通过引入非均匀质量项打开Dirac锥,进而产生线性色散和单向传播的手性LLs。这种独特的体态通道不仅不受边界条件的影响,也无需额外的包层设计。此项研究显著提升了波导的空间利用效率,为实现超紧凑的弹性波路由提供了新的思路。相关内容发表于《PHYSICAL REVIEW LETTERS》上。(金梦成)

文章链接:
https://doi.org/10.1103/PhysRevLett.133.256602
2 利用非相干光实现的低功耗可扩展多层光电神经网络
深度学习如今已无处不在,可用于解决从图像识别到药物发现等各种问题。这一成功的关键在于使用越来越大的深度学习模型和数据集,而这相应地需要的计算资源也迅速增加。光学计算的研究已经进行了数十年,基于光的计算可能大幅节省能源,再加上光电子学、光子学和制造能力的改进,已经取得了令人鼓舞的初步成果。当代光学计算方法的主要目标是开发加速器,即现代神经网络小部分的节能实现。光子加速器利用硅制造技术来创建少量高速非线性光子神经元,最近的实现已达到可与现代GPU相媲美的计算能力。
近日,马克思普朗克医学研究所的Alexander Song和Peer Fischer团队,引入了一种多层光电计算框架,该框架在光学层和光电层之间交替,分别实现矩阵矢量乘法和整流线性函数。该框架专为实时并行操作而设计,利用通过独立模拟电子设备连接的 LED 和光电探测器的二维阵列。研究人员使用具有两个隐藏层的三层网络系统通过实验演示了这种方法,并操作它以 92% 的识别准确率识别 MNIST 数据库中的图像,并以 86% 的准确率对非线性螺旋数据进行分类。通过同时实现多层深度神经网络,该方法显著减少了所需的读入和读出次数,并为需要超低能量的可扩展光学加速器铺平了道路。相关工作发表在《Nature Communications》上。(刘帅)

文章链接:
https://doi.org/10.1038/s41467-024-55139-4
3 声子晶体控制高频声子与单量子系统之间相互作用
在量子科学与纳米声学领域,声子(phonons)被认为是控制量子系统的重要工具。声子是固体中原子振动的量子化表现,广泛存在于材料的热传导、量子信息处理和传感等领域。然而,当声子与固态量子系统相互作用时,可能会成为噪声和退相干的来源,从而限制了量子系统的性能。为了应对这一挑战,研究人员试图通过控制声子的局域态密度(local density of states, LDOS),以减少多声子过程对量子系统的影响。尤其是控制高频范围内的声子,这种方式具有极大的潜力,可以提高量子系统的稳定性并探索量子声学的新应用。然而,现有的方法,如低温冷却,往往需要复杂昂贵的设备且难以彻底抑制热声子。因此,开发一种有效的方法来抑制声子对量子系统的干扰,成为量子科学领域的关键研究方向。
在这项研究中,来自哈佛大学的Marko Lončar教授课题组与东京大学等组成的研究团队设计并制备了新型的金刚石声子晶体,用以调控声子的局域态密度并抑制其对单量子系统的干扰。研究团队在金刚石声子晶体中嵌入了硅空位(silicon-vacancy, SiV)色心,以作为单量子系统的探测器。通过精密的纳米制造技术,研究团队在晶体中创建了具有约20纳米特征尺寸的声子晶体结构,并在50到70 GHz的高频范围内实现了完整的声子带隙。这种工程化的局域声子态密度通过色心的光谱响应得以测量。实验结果显示,与传统的金刚石材料相比,声子晶体显著抑制了单声子-发射体相互作用,发射体的轨道弛豫速率减少了18倍,表明声子晶体能够有效抑制由声子引起的退相干过程。此外,该研究还证明,这种方法可以在低至20 K的温度下高效抑制多声子过程,为未来实现高效的声子-量子接口铺平了道路。这一成果标志着量子声学与量子声子晶体技术发展的重要里程碑,并为未来量子计算、传感与通讯中的声子控制提供了全新思路。相关内容发表于《Nature Physics》上。(张琰炯)


文章链接:
https://doi.org/10.1038/s41567-024-02697-5
4 由朗道能级形成的可编程近藤效应
近藤效应是凝聚态物理学的基石,引发了从杂质物理学到量子传输等多个领域的关键发展。其本质在于局部简并量子态的存在,通常通过稀磁合金或量子点结中的自旋态实现。然后,与宿主环境的自旋交换耦合在驱动多体共振方面起着关键作用,最终导致近藤单线态的形成。操纵近藤共振的底层对称性具有挑战性,因为它由材料的固有属性决定,例如局部量子态的简并度 N。例如,将 SU(2) 近藤模型扩展到 SU(3) 需要精心设计复杂的介观结构,包括碳纳米管和垂直量子点。实现可调的 N SU(N) 模型至关重要。这不仅保证了各种可控的近藤现象,而且还为实现承载新型关联物理的可控近藤晶格奠定了基础。
近日,南京大学的王锐副教授、王伯根教授,揭示了一种强关联现象,即近藤共振,是石墨烯纳米气泡的固有特性。纳米气泡内的局部应变产生赝磁场,驱动具有退化朗道轨道的赝朗道能级。在库仑排斥力的作用下,朗道轨道通过交换相互作用形成有效 SU(N) 赝自旋。这产生了一种新的筛选机制,可驱动奇异的冻结近藤效应,而这种效应在传统的近藤系统中是不存在的。这里的共振还通过应变工程表现出无与伦比的可调谐性,建立了一个多功能的新平台来模拟基于赝朗道能级的新型关联现象。相关工作发表在《Physical Review Letters》上。(刘帅)

文章链接:
https://doi.org/10.1103/PhysRevLett.133.256703
5 用于高灵敏度便携式辐射探测器的大体积肖特基结
X 射线探测器的厚度需要达到数百微米才能吸收 X 射线,因此,应当施加几十伏乃至几百伏的高电压来提取由 X 射线产生的载流子。在此,研究团队提出了一种利用相互贯穿的大孔碳电极和金属卤化物钙钛矿网络构建的用于 X 射线探测的体肖特基结。在内建电场作用下,大孔碳电极可提取由 X 射线产生的空穴,而钙钛矿相中的电子会产生高增益效应。在−1 V的低工作电压下,实现了1.42×10⁵μC·Gyair-1·cm-2的高灵敏度和48 nGyair·s-1的低检测限。研究团队制作了一个由干电池供电的便携式 X 射线报警原型机。像素探测器在X 射线照射下展现出良好的稳定性,空间分辨率高达每毫米 5.0 线对,并且探测器阵列也呈现出显著的均匀性,这展示了其在 X 射线成像方面的潜在应用前景。
近日,中国科学技术大学肖正国教授研究团队报道了利用相互贯穿的碳 - 钙钛矿网络形成体块肖特基结(BSJs)。体肖特基结克服了传统 X 射线探测器中固有的问题:既要增加厚度以吸收 X 射线,又要减小载流子传输长度以减少复合。研究团队已经展示了其在 - 1 伏超低工作偏压方面的优势。与使用多晶薄膜或单晶的传统层状结构器件相比,大体积肖特基结 X 射线探测器也展现出了优异的性能和稳定性。相关研究成果以“A bulk Schottky junction for high-sensitivity portable radiation detectors”为题发表在《Nature Communications》上。(郑佳慧)

文章链接:
https://doi.org/10.1038/s41467-024-54594-3
6 超导体中磁通量子的巨热电响应
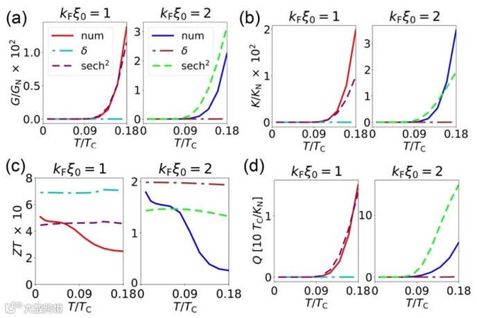
在凝聚态物理和量子材料研究领域,热电效应作为一种能够将热能直接转化为电能的物理机制,一直是基础研究和应用开发的重点。一般来说热电效应主要发生在半导体材料中,其效率与材料的电子输运性质和晶格热导有关。而在超导体中,由于其电阻为零及其独特的电子对称性,热电效应被认为是极其微弱的,甚至在理论上难以实现。这是因为超导体中库珀对的形成会破坏电子的不对称分布,从而抑制通常意义上的热电效应。然而,近年来,随着对超导体中复杂动力学行为的研究加深,研究人员逐渐意识到,通过引入外部磁场或设计特殊的超导结构,有可能突破这一限制并观察到显著的热电效应。
近日,罗切斯特大学的Andrew N. Jordan教授课题组等研究人员组成的团队,探讨了II型超导体中Abrikosov涡旋的热电响应,通过半解析和数值自洽解Bogoliubov-de Gennes方程,预测了在亚开尔文温度下,可以实现高达数mV/K的热电压。研究团队提出了两种实验设置来测量热电效应:一种是扫描隧道显微镜(scanning tunneling microscope, STM)尖端与涡旋核心直接接触的局部热电响应;另一种是超导体-绝缘体-正常金属(superconductor–insulator–normal-metal,S-I-N)结,可以利用整个涡旋晶格(多个涡旋),从而获得更高的电导和功率因子。该研究预测,在低电子密度超导体和低kFξ0条件下,S-I-N结的zT值约为1,而以涡旋核心为中心的STM结的zT值可升至3以上。此外,研究还讨论了该系统如何被用作灵敏的低温热电偶,或作为检测低能量单光子的局部辐射计。这项研究不仅为超导体中的热电效应提供了新的理论基础,还为量子检测、敏感温度控制、冷却超导量子电路和热能收集等实际应用开辟了新的可能性。相关内容发表于《Physical Review Letters》上。(张琰炯)


文章链接:
https://doi.org/10.1103/PhysRevLett.133.256002
7 电场对氧化铁电体极性拓扑的可逆操纵
具有纳米尺寸和特殊物理性质的拓扑极性结构在高密度信息存储器件和低功率场效应晶体管等电子应用领域具有广阔的前景。近年来,通过平衡铁电氧化膜中弹性能、静电能和极化梯度能的竞争,许多拓扑极性结构得到稳定,这引起了研究人员的广泛关注。在电子学的未来应用中,拓扑极性结构的有效调制是必要的,一些理论和实验研究揭示了拓扑极性结构在加热、光场、电场和应变场作用下的演化。然而到目前为止,拓扑极性结构在外界刺激下的相变行为仍然难以捉摸,需要进一步阐明。此外,为了方便电子器件的设计和集成,在外部刺激下获得大尺度的极性拓扑周期阵列是有必要的。先前,通过原位透射电子显微镜(TEM)方法已经发现孤立的三极性顶点在电场作用下的成核并移动。另一方面,在多铁性BiFeO3薄膜上,用导电压电力显微镜(PFM)尖端也成功实现了对中心会聚和中心发散的极性织构的记录与擦除。然而,前者主要集中在几个分散的拓扑结构的创建和运动上,后者由于PFM方法的限制而写入了亚微米尺寸的太大的极性纹理。因此,如何在外部刺激下由普通铁电畴制造大规模拓扑极性阵列是一个更具挑战性的问题。
近日,松山湖材料实验室的马秀良研究员团队与中国科学院金属研究所的唐云龙研究员团队合作,选择极性通量闭合域作为模型系统,研究了极性拓扑结构在外界刺激下的动态行为。通过原位透射电镜实验,实验揭示了PbTiO3/SrTiO3双层膜和(PbTiO3/SrTiO3)5多层膜中磁通闭合阵列的电控产生和湮灭。随着电场的增大,原a畴形成新的c畴,从而显示出由普通a/c畴形成的通量闭合畴的形核和扩展。新的c畴呈现相反的极化,并与相邻的c畴连接,形成大规模的通量闭合阵列。此外,随着外加电场的减小,磁通闭合畴被湮灭并还原为a/c畴。相场模拟表明,从a/c到磁通闭合域的转变伴随着总能量的减少,这主要是由于静电能量的减少。这些结果验证了电控极性拓扑结构是可以成功实现的,这对纳米电器件的应用是有用的。相关文章发表在《Advanced Materials》。(刘梦洋)

文章链接:
https://doi.org/10.1002/adma.202414346
8 可编程机械逻辑的双稳态软壳
机械计算系统融合了信息科学、机器人学和材料科学,通过基于软超构材料的现代解决方案与环境互动。这些材料具有独特特性和新功能,如可编程结构转换,为数字逻辑执行提供了多种机制,如DNA分子、微机电系统、光学设备等。在机械计算中,机械逻辑门是关键组件,具有两个稳定状态,代表二进制中的“0”和“1”。这些逻辑门可通过多种技术实现,如链接、柔性机构等。为了提升计算能力,需要可编程逻辑门。早期的尝试包括可重构的机构,虽然能实现多种逻辑运算,但存在输入延迟。另一种方法是利用可重新编程的超构材料,但需电激励驱动。尽管已有机械二进制神经网络能实现多个逻辑门,但其设计笨重且功能复杂。因此,规则可变逻辑门,即能够按照多种规则和串联操作连续运行的逻辑门,成为当前技术的一个空白。
近日,汕头大学杨楠教授与广东以色列理工学院Damiano Padovani副教授团队提出了一种基于应变控制的双稳态软壳的方法,这种软壳可通过交换内部/外部表面来处理数字信息。这种双稳态行为通过基于模型的设计进行解释,对每个输入脉冲只工作一次,从而保证了鲁棒性。因此,利用这些外壳可以创建一个缓冲区和一个NOT门,从而产生六个基本门(AND、OR、NAND、NOR、XOR和XNOR)。所有这些功能都被集成到一个独特的可编程器件中,使机械集成电路通过可改变规则的逻辑运算更具适应性。这种设计确保了工艺的连续性,并普遍适用于多种类型的信号(加压流体可取代机械驱动信号)。它还赋予了适合扩展应用的更复杂逻辑功能,如半加法器和全加法器。相关研究发表在《Advanced Science》上。(徐锐)

文章链接:
YANG N, LAN Y, ZHAO M, SHI X, HUANG K, MAO Z, PADOVANI D. Bistable Soft Shells for Programmable Mechanical Logic[J]. Adv Sci (Weinh), 2024: e2412372.
https://doi.org/10.1002/advs.202412372
9 聚合物链和表面超分子晶格中拓扑声子的重边界模式图案化和动力学
在电子能带理论和相应的物质拓扑相的背景下对拓扑的研究是广泛的,等效拓扑概念也被应用于声子系统。然而,振动和相关的动态和拓扑声子相,在原子软物质中仍有待探索,即分子基材料和合成材料。声子带是许多扩展分子基材料的普遍特性,而扩展分子基材料是一组高度多样化的材料,可以由数百万种化合物构成。因此,化合物属于两组不同的声子相的物质-拓扑相和非拓扑相的前景,可能具有深远的意义。不同的现象可以在拓扑相中出现。到目前为止,大多数力学模型,已经被用来设计和证明这种振动拓扑特性。尽管最近在石墨烯和一些过渡金属单硅化物中进行了拓扑声子模式的实验,但在原子尺度上的拓扑声子边界模式尚未得到证实。分子基合成材料中类Su-Schrieffer-Heeger (SSH)和附加拓扑声子相的识别可以作为在原子尺度上实现功能拓扑声子的起点,在工程中具有潜力。然而,扩展的分子基材料通常由数百个原子组成的单元胞来描述,这使得拓扑分类和边界模式的确定具有挑战性。而表面约束提供了定义对称性和降低复杂物质维数的手段,并且自组装中超分子相互作用的多功能性可以进一步用于定制振动物质的有效弹簧常数,从而利用半导体的拓扑设计,传感或开关精密超分子晶格的应用。
近日,德国洪堡大学的Carlos-Andres Palma教授团队与柏林自由大学的Konrad Polthier教授团队合作,研究了吸附聚合物链模型和原子弱相互作用分子晶格上的声子带形成,这些分子晶格被设计为具有软硬交替弹簧或类弹簧相互作用的SSH类似物。具体来说,研究表明在这种聚合物模型中创建重边界和自组装的超分子晶格(体积重边界对应)会导致在非平凡拓扑的重边界附近的原子或分子上出现指数局域声子。这种拓扑边界模式可以图案化,并且在有限温度下具有鲁棒性,旨在实现分子尺度上的声子电路。在超分子晶格中,当模式的单个分子被激发时,由重体边界对应产生的模式会传播,这与间隙内受保护的自由边界模式相反。这一研究结果揭示了通过体积重边界对应的拓扑边界图案化原理和热化条件下的声子拓扑,并建立了超分子系统作为拓扑物理设计和图案化的功能平台,弥合了有机化学和凝聚态物理振动之间的差距。相关文章发表在《Nature Communications》。(刘梦洋)

文章链接:
https://doi.org/10.1038/s41467-024-54511-8
免责声明:本文旨在传递更多科研资讯及分享,所有其他媒、网来源均注明出处,如涉及版权问题,请作者第一时间后台联系,我们将协调进行处理,所有来稿文责自负,两江仅作分享平台。转载请注明出处,如原创内容转载需授权,请联系下方微信号。


