大数跨境

资讯 | 水凝胶,最新Nature大子刊,更强更韧

资讯 | 水凝胶,最新Nature大子刊,更强更韧 两江科技评论
2025-09-08
0
导读:在聚合物材料的世界里,“快”与“强”似乎一直是一对矛盾体。光引发自由基聚合(PFRP)因其高效、简便,在3D打印、生物材料、电子器件等领域广受欢迎。
文章来源:高分子科学前沿
在聚合物材料的世界里,“快”与“强”似乎一直是一对矛盾体。光引发自由基聚合(PFRP)因其高效、简便,在3D打印、生物材料、电子器件等领域广受欢迎。但这种方法往往留下先天缺陷:形成的聚合物网络中,硬质的纳米团簇紧密交联,而软质的基体之间却缺乏牢固连接(图1a)。就像一张“拼凑”的网,强的地方很硬,弱的地方却一戳就破,导致材料整体强度和韧性大打折扣。尤其是在水凝胶这种含水量高、交联稀疏的体系里,问题更加突出——拉伸强度通常只有几百千帕,难以满足实际应用需求。
在此,上海交通大学林秋宁研究员联合爱尔兰都柏林大学吕京合作提出了一种全新的聚合策略他们引入了一种“延时光触发”的反应——光触发瞬态自由基-持久自由基偶联(PTPC),在传统PFRP的基础上“加了一把锁”。通过设计邻硝基苄(NB)取代基,材料在光照下先生成纳米团簇,再释放亚硝基自由基与传播链自由基高效偶联,从而把原本松散的网络牢牢缝合在一起(图1b)最终制备出的水凝胶,拉伸强度提升20倍,韧性更是提高70倍,且仍能在数秒内完成快速固化相关成果以“Photocoupling of propagating radicals during polymerization realizes universal network strengthening”为题发表在《Nature Synthesis上,第一作者为鲍丙坤石楚桐、曾庆梅、陈婷
林秋宁研究员
图1:PTPC反应机理示意图,展示邻硝基苄光解生成亚硝基,自由基偶联加强网络
从“光延时”到“网络加固”
要让自由基“听话”,团队借鉴了经典捕自由基剂TEMPO的原理。他们用NB作为光敏源,在常见光引发剂(如LAP)的参与下,NB光解产生亚硝基,再与聚合过程中的自由基高效结合(图2a–d)。这就像是在恰当时机派出“钩子”,精准捕捉到链端自由基,使硬质纳米团簇与软质基体之间形成稳固的共价键(图2f–g)。更关键的是,这个过程与聚合几乎同步完成——NB光解在有LAP时从分钟级骤降到秒级(图2e),保证了“先生成纳米团簇,再高效加固”的理想顺序。
图2:NB在光引发自由基聚合体系中的反应过程与光谱验证。
谁更强?PTPC与传统聚合的对比
那这种“加固术”到底比传统方法强在哪里?研究人员设计了一个对照实验:用透明质酸(HA)微凝胶和基体构建模型,分别引入传统甲基丙烯酸基团和NB基团(图3c–e)。结果发现,传统PFRP仅让荧光强度提高11%,而PTPC加固后则高达67%(图3h)。这意味着PTPC在“跨相连接”上效率更高,能真正把不同相的网络紧密绑定在一起,而非松松垮垮地拼接。
图3:PTPC与传统聚合对比实验,显示PTPC能更高效实现相间连接
超快速的强韧水凝胶
为了进一步展示PTPC的威力,团队合成了一种优化水凝胶——HANB-MA凝胶(图4a)。它只需不到3秒即可成胶(图4b),却能在显微尺度上呈现清晰的相分离结构:硬质相来自HAMA的聚合,软质相则由HANB提供(图4c–e)。荧光染料标记实验显示,PTPC反应确实发生在硬相内部和边界,起到“缝合剂”的作用(图4f)。而调节HANB中NB基团含量时,凝胶的强度与韧性成正比提升(图4g),再次证明PTPC是性能提升的关键。最终,HANB-MA凝胶的拉伸强度达到360 kPa,韧性高达240 kJ m³,比传统优化HAMA凝胶强十倍以上(图5a–c)。相比之下,即使调整甲基丙烯酸基团密度,传统方法也无法兼顾相分离与相间加固(图5d–f)。换句话说,PTPC不仅快,而且强,还避免了传统方法里“要么硬要么韧”的两难。
图4:HANB-MA凝胶的微观结构,包括AFM、STEM、荧光标记验证PTPC的加固作用
图5:不同体系的力学性能对比,HANB-MA凝胶在强度与韧性上远超传统体系
反应时机的微妙平衡
不过,PTPC反应的时机同样关键。研究团队合成了一系列光解速率不同的NB衍生物(图6a),发现若反应发生得太快,自由基过早被捕捉,会抑制硬相形成;若太慢,则硬相已经固化,来不及加固(图6d–i)。只有像NB这样在合适时机启动的,才能实现硬相生成与加固反应的完美配合,从而获得最优的强度和韧性(图6c)。这就像烘焙时的火候控制,早一分或晚一分,口感都会大打折扣。
图6:PTPC反应时机调控实验,展示不同NB衍生物的光解速率与凝胶性能关系
普适性:不仅仅是透明质酸
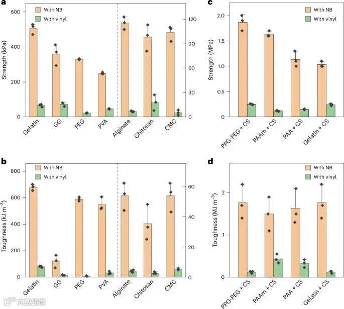
更令人振奋的是,这种方法并不限于单一材料。研究人员把PTPC策略推广到明胶、海藻酸盐、聚乙烯醇等多种水凝胶体系中,结果普遍提升5–20倍强度,韧性更是提升到8–70倍(图7a–b)在复合水凝胶中(如明胶-NB与硫酸软骨素-MA组合),强度超过1 MPa,韧性突破1.5 MJ m³(图7c–d),远超常规PFRP制品。这意味着,无论是单一水凝胶还是复合体系,PTPC都能显著提升性能,具有广泛的材料通用性和产业化潜力。
图7:普适性验证,PTPC在多种单一和复合水凝胶体系中均显著提升强度与韧性
展望未来
这一成果不仅解决了PFRP材料“快而不强”的顽疾,还为3D打印和体内在位成胶等应用场景打开新局面。未来,随着不同聚合物体系的优化和大规模工艺的探索,这种“光控加固术”有望推动高性能水凝胶在生物医用、柔性电子、软体机器人等领域全面开花结果。正如研究团队所言,它将为“快”与“强”找到前所未有的平衡点。

免责声明:本文旨在传递更多科研资讯及分享,所有其他媒、网来源均注明出处,如涉及版权问题,请作者第一时间后台联系,我们将协调进行处理,所有来稿文责自负,两江仅作分享平台。转载请注明出处,如原创内容转载需授权,请联系下方微信号。

图片

【声明】内容源于网络
0
0
两江科技评论
聚焦“光声力热”超构材料、凝聚态物理、生物医学、智能制造等领域,打造科研人便捷的交流平台,发布优质新鲜的科研资讯。
内容 6001
粉丝 0
两江科技评论 聚焦“光声力热”超构材料、凝聚态物理、生物医学、智能制造等领域,打造科研人便捷的交流平台,发布优质新鲜的科研资讯。
总阅读1.9k
粉丝0
内容6.0k