

今天我们继续为大家带来本周的超材料前沿研究精选,内容涉及基于光学损耗调制的非厄米拓扑观测,界面附近的声点源辐射,拓扑节点线的无耗散输运特征,基于深度学习的任意目标带隙超材料按需设计框架等,敬请期待!
1、具有平面非对称性诱导的品质因子可调性的手征共振钝角分离
2、基于光学损耗调制的非厄米拓扑观测
3、界面附近的声点源辐射
4、由紫外激光诱导的超宽带偏振敏感O掺杂ZrTe3光探测器
5、热力学不确定性关系在相干输运中的应用
6、拓扑节点线的无耗散输运特征
7、基于深度学习的任意目标带隙超材料按需设计框架
1、具有平面非对称性诱导的品质因子可调性的手征共振钝角分离
在纳米光子学领域,光子晶体平板因其能将电磁场能量局域在亚波长尺度并支持布洛赫共振而成为偏振调控的高效平台。不同于依赖空间位置的传统波片与偏振器,光子晶体模式在动量空间可覆盖庞加莱球上的所有偏振态,仅需调控光波矢即可实现。其中,手性偏振态因其能选择性增强或抑制特定圆偏振光,在先进手性光学器件中具有重要应用价值。传统实现光子晶体手性共振的方法主要包括面内或面外对称性破缺,以及基于连续谱束缚态的对称性保护机制。然而,这些方法存在显著局限:面外不对称结构加工复杂且难以在单一衬底上实现梯度调控;而依赖特定不对称条件产生的手性共振,其品质因数(Q因子)通常难以独立调控,因为改变扰动强度往往伴随手性模式动量位置偏移或圆偏振态失真。因此,开发一种基于平面结构、能同时实现稳健手性共振生成与Q因子独立调谐的设计策略,对优化光-物质相互作用至关重要,也是当前实验面临的主要挑战。
近日,韩国浦项科技大学的Junsuk Rho教授研究团队提出并验证了一种创新的平面光子晶体平板设计策略,成功实现了具有大角度分离、高圆二色性、高Q因子且Q因子可独立调谐的手性共振模式。实验采用氮化硅平面光子晶体平板,通过动量空间成像光谱学和倾斜样品准直光束入射传输谱测量,证实了在超过50°的大角度上存在一对空间分离的相反手性共振模式。该研究首次在平面结构上实现了手性模式Q因子的定量调控,实验测得Q因子与δ2成反比关系,且不改变模式的圆偏振态。为展示应用潜力,研究将单层WSe2激子与该手性模式耦合,实现了空间分离、具有明显圆偏振特征的光致发光,其斯托克斯参数分布清晰。此设计克服了传统方法中手性模式多集中于Γ点附近导致的模式混杂和空间限制问题,其独特的大角度分离特性有效抑制了模式间串扰,为高性能手性光源、传感及拓扑光子学器件提供了新思路。该研究成果发表于《Science Advances》。(刘梦洋)

文章链接:
https://doi.org/10.1126/sciadv.adu4875
2、基于光学损耗调制的非厄米拓扑观测
在过去二十年中,拓扑光子学取得了显著进展。尽管大部分进展是在厄米(封闭)系统中取得的,但在开放系统中,非厄米性与拓扑之间的相互作用也产生了独特的现象,引发了诸多重要进展。非厄米性为拓扑相提供了传统厄米框架之外的丰富结构。它通过引入一类新的对称性,显著拓展了已有的拓扑相分类,从而使得拓扑相的复杂性和多样性远超厄米系统。非厄米拓扑系统的一个显著特征是其本征值通常为复数,这带来了诸如奇异点的出现,以及本征值拓扑结构的形成。在已有的理论研究基础上,大量光学实验已通过引入增益或损耗验证了非厄米拓扑效应的存在,包括非厄米晶格中观测到的零阶拓扑态、拓扑 PT 对称界面态和光束操控现象,以及近期的若干成果,如 Haldane 模型中与增益相关的非对称长程耦合、拓扑准晶中的三重拓扑相变、非线性诱导的非厄米拓扑相变,以及大量拓扑激光器相关的研究。
值得注意的是,迄今为止所有这些实验演示都依赖于在原本就是拓扑的厄米系统中引入损耗和/或增益,或者是在厄米系统中通过间接引入增益来实现非对称耦合。然而,最近有理论提出,光子拓扑绝缘相可以完全由非厄米性产生,即通过对一个原本在厄米情况下是拓扑平庸的系统施加增益与损耗调制,即可诱导拓扑相。随后,理论研究进一步展示了在非厄米 Aubry–André–Harper(AAH)模型中,当引入可公度或不可公度的虚数势时,能够实现拓扑相变和边界态的出现。尽管在电路、声学、弹性波和等离激元系统中已有实验验证了仅由非厄米性驱动的拓扑相,但在光子系统中,这一现象的实验演示仍然缺失。
近日,美国中佛罗里达大学Andrea Blanco-Redondo教授课题组首次在光子系统中实验验证了纯粹由光学损耗调制产生的非厄米拓扑和边界态。他们在一个可重构的集成光子平台上实现了AAH 模型的非厄米推广版本。在周期性与准周期性虚数势的两种情形下,他们均观察到了拓扑相变、不同拓扑相以及拓扑保护的边界态。借助可编程光子平台的高度可调性,文章进一步研究了该系统在不同类型无序扰动下的鲁棒性。他们的实验结果结合理论分析,揭示了光学非厄米周期系统与准晶中无序、拓扑与受保护模态之间的复杂相互作用。这些发现对开放拓扑系统及其在拓扑激光器和传感器等应用中具有重要意义,尤其是在增益与损耗扮演关键角色的场景中。相关成果以“Observation of non-Hermitian topology from optical loss modulation”为题发表在期刊《Nature Materials》上(张甜)。

文章链接:
https://doi.org/10.1038/s41563-025-02278-8
点源辐射在波动物理领域至关重要,涵盖光学与声学等多个学科。从数学角度而言,点源可通过波动方程的格林函数来描述,该函数在完整的本征态基中展开。因此,它不仅包含了传播波和倏逝波的全部信息,更成为研究波相互作用及其应用的基础理论。在光学领域,倏逝波的发现推动了纳米光学的发展,其中点源作为探针被用于量化局域态密度(LDOS)。尽管均匀介质中点源行为可精确解析,但是在界面等结构化环境则显著复杂。Sommerfeld与Weyl等建立的理论框架为光学点源在界面附近的辐射提供了系统解读,支撑了量子电动力学、表面增强光谱和纳米天线等多个应用方向。当点源位于低折射率介质时,其激发的倏逝波可在超临界角下透过界面,并在靠近界面时强度指数增强。这一机制被广泛应用于荧光探测和超分辨显微成像等技术。近期研究还揭示了界面附近光学近场中的横向自旋角动量(SAM)。这种SAM源自垂直于界面的虚波矢,导致垂直与平行场分量之间产生
近日,华东师范大学潘登研究员和河南科学院徐红星院士团队提出了一个类纳米光学的声学点源辐射理论,适用于固-液界面。该理论成功预测了经实验验证的远场辐射模式,其特征比光学对应物更为丰富,包括多个峰值以及超临界辐射对源深度的非单调依赖关系。针对CP点力场,理论揭示了局域共振波中随深度变化的表面等离子体共振现象,并发现不同峰对具有相反的辐射方向性。这一方法为声学近场中极化相关现象的精确探索提供了新途径,既推动了基础声学物理学的发展,又为受纳米光学启发的技术革新注入了新动力。相关内容发表于《PHYSICAL REVIEW LETTERS》上。(金梦成)
文章链接:
https://doi.org/10.1103/dc6l-zt6w
4、由紫外激光诱导的超宽带偏振敏感O掺杂ZrTe3光探测器
在信息感知和智能成像不断迈向高维度的今天,光的偏振信息成为继强度和相位之后的又一关键维度。如何有效捕捉并解析光的偏振特征,已成为提升探测器多维成像能力、突破传统极限的关键。尤其是在紫外防伪识别、应力分析、烟雾穿透以及太赫兹生物诊断等场景中,偏振对比成像展现出远超强度成像的判别能力。然而,传统偏振探测器大多依赖笨重的偏振器阵列和图像传感器分立集成,器件庞大、制程复杂、波段受限,严重阻碍了其在小型化和多场景中的实用化。近年来,低维各向异性材料因其独特的面内光电各向异性和优异的光吸收能力,成为构建单体偏振探测器的理想候选材料。但如何在不借助栅极电压或外部天线的条件下,实现从紫外至太赫兹的宽光谱偏振响应,并同时兼顾高响应度、低噪声等性能指标,一直是该领域亟待攻克的技术瓶颈。传统黑磷虽具有可调带隙和良好偏振敏感性,但其环境稳定性差、红外响应受限,难以满足太赫兹极低能量光子的探测需求。相比之下,零带隙的半金属材料由于其能带结构对光子能量的不敏感性、以及更快的电子-电子散射速度,成为突破极限的新方向。但半金属固有的高暗电流与低自供能响应问题,仍制约其在实际探测器中的发挥。
近日,天津大学姚建铨院士团队成功开发出一种基于ZrTe₃单晶的超宽带自供能偏振光探测器,通过紫外激光诱导表面氧掺杂,在无需天线集成的条件下实现了355 nm至1.43 mm(从紫外到太赫兹)的超宽波段偏振响应。该工作巧妙地利用355 nm紫外激光在ZrTe₃表面诱导定向氧掺杂,构建出金属-半金属界面的背靠背肖特基势垒结构。这种结构在不引入外部偏置电压的条件下,自发产生内建电场,大幅提升了光生载流子的分离效率,从而显著抑制暗电流、提升光电响应。实验结果表明,该器件在室温下可实现0.31 A/W的高响应度、14.9 μs的快速衰减时间以及低至10⁻¹³ A·Hz⁻¹/²的噪声等效功率(NEP),并在空气中稳定工作超过一年,展现出极佳的环境适应性与应用潜力。借助第一性原理计算与拉曼偏振实验,研究团队进一步揭示了氧掺杂所带来的各向异性增强机制:氧在ZrTe₃中的间隙掺杂导致a轴方向光吸收系数明显提高,而b轴方向响应则相对抑制,从而实现了更高的偏振比和选择性响应。在太赫兹波段,该器件无需集成天线即可获得显著响应,表现出优异的入射角调制能力和成像清晰度。研究团队还构建了基于单像素的ZrTe₃偏振成像系统,成功实现了从紫外、可见、近红外到10.6 μm红外及0.22 THz太赫兹的偏振成像,偏振比高达10.7,突破了当前半金属探测器在偏振成像应用中的性能瓶颈。相关内容发表于《Advanced Materials》上。(张琰炯)

文章链接:
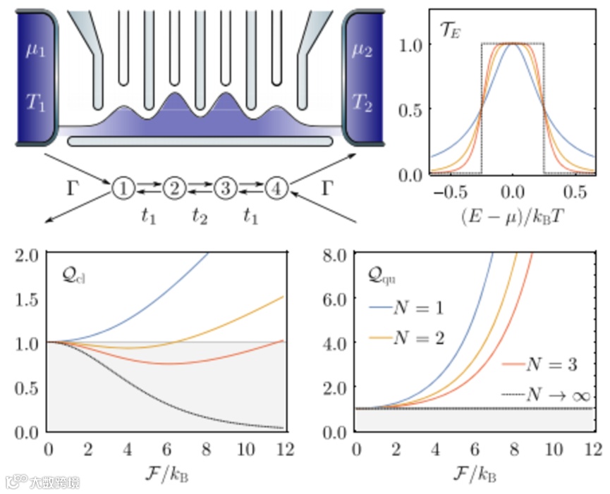
5、热力学不确定性关系在相干输运中的应用
在热力学和非平衡统计物理领域,热力学不确定性关系(TURs, Thermodynamic Uncertainty Relations)近年来成为刻画微观和纳米尺度系统能量转运过程中的一项重要理论工具。传统的TUR主要建立在经典随机过程框架中,例如马尔科夫跳跃过程,能够在远离平衡的条件下提供熵产生率的下限,并揭示功率、效率和稳定性之间的普适性权衡关系。随着对量子器件的热力学性能关注的持续升温,如何将这些经典TUR推广到量子相干系统中,成为理论与实验共同关注的核心问题。尤其是在低温纳米电子器件、量子点链路以及超冷原子系统中,由于载流子平均自由程远大于系统尺寸,其传输行为可以视为相干散射过程主导。然而,当前多数量子TUR的建立仍局限于特定模型,缺乏类似经典结果的普适性与实用性,在这一背景下,推动更具广泛适用性的量子TUR理论构建显得尤为迫切。
近日,来自英国诺丁汉大学Kay Brandner博士后和京都大学Keiji Saito教授首次建立了一条适用于任意多端口几何结构、任意化学与热力势差下的费米子相干传输通用TUR,有效弥补了量子TUR研究中长期存在的空白。新提出的不等式将熵产生率严格界定为粒子流平均值与其涨落之间的函数关系,形式上自然延拓了经典TUR,并在两端口系统中达到理论饱和。研究还进一步扩展了该关系至打破时间反演对称性的体系,例如存在外磁场或量子霍尔边缘态的导体,显示出强大的适应能力。更具实际意义的是,作者将此理论应用于相干热机和冰箱性能的约束分析中,指出在不牺牲平均功率或容忍巨大功率涨落的前提下,理想效率永不可达,从而精确刻画了效率与输出之间的量子热力学权衡边界。此外,作者利用由量子点构成的相干导体模型,成功演示了如何通过优化其散射透射函数逼近“boxcar”形态,使得系统在热流涨落最小化的同时,几乎达到该不等式的下界,充分展现了其理论可实现性与实验可验证性。相关内容发表于《Physical Review Letters》上。(张琰炯)

文章链接:
https://doi.org/10.1103/6nww-8wcp
6、拓扑节点线的无耗散输运特征
拓扑材料,如拓扑绝缘体或半金属,其非平庸的电子波函数特性通常通过稳定的边界态模式或特定的电磁响应展现。外尔半金属中的各向异性纵向磁阻便承载了外尔费米子手征反常的印记。然而,对于拓扑节线半金属——其价带与导带在三维布里渊区的一维曲线上相交——此类标志性的体态输运特征长期缺失。拓扑节线受镜面对称性保护,缺乏类似外尔点的强体边对应关系,且其电磁响应往往仅在极端条件(如量子极限)下显现,导致其体态拓扑物理效应难以探测。因此,揭示拓扑节线半金属的本征电磁响应,特别是与节线拓扑本质直接关联的、可在常规条件下观测的输运现象,成为理解此类材料并开发其应用潜力的关键挑战。
近日,德国莱布尼茨固体与材料研究所的Arthur Veyrat、Joseph Dufouleur和意大利萨莱诺大学的Carmine Ortix副教授研究团队,报道了在三角晶系材料PtBi2中发现的一种由拓扑节线引发的独特电荷输运效应:在共面电场与磁场作用下出现的无耗散横向电信号,即反常平面霍尔效应(APHE)。该效应源于拓扑节线在任意弱磁场下的非局域拓扑相变,理论模型表明,这种转化在kz方向产生大范围非零陈数区域,从而在弱磁场下诱导出显著的反常霍尔电导,其方向位于共面电磁场平面内,且不伴随任何耗散的纵向电阻变化。实验上,在PtBi2纳米结构中观测到清晰的2π/3周期性APHE振荡信号,该信号具有反对称磁场依赖性,且在高达室温下保持稳定,与材料中存在的多重镜面保护拓扑节线一致。理论计算证实,PtBi2费米能附近存在多重节线环,弱磁场下这些节线转化为六重简并的外尔点群,其贡献远超材料固有外尔点的微小位移效应,主导了观测到的APHE信号。该效应不仅是拓扑节线的直接电磁响应指纹,更提供了一种通过任意弱磁场“剪裁”节线以工程化外尔节点的普适途径,并为在更广泛的三角晶系半金属中无损探测拓扑节线提供了强有力的磁输运工具。其室温鲁棒性及无耗散特性,为未来开发基于拓扑节线的低能耗电子器件奠定了基础。该研究成果发表于《Nature Communications》。(刘梦洋)
7、基于深度学习的任意目标带隙超材料按需设计框架
超材料作为一种人工设计结构,具有天然材料所没有的独特物理特性,而这些性质主要受其拓扑结构(这里指构成超材料的单元几何排列和连通性)和几何形状所影响。精心设计的拓扑结构通过先进的制造技术能够使其具备卓越的材料特性,有着广泛的应用场景,如振动和噪音的抑制、能量收集、定向波传导和隐形设计等。在超材料的设计过程中,由于能带结构描述了波如何在材料中传播,因此设计和调控能带结构对控制波的行为至关重要。然而,单元拓扑结构与其能带结构之间存在着极为复杂的非线性关系,导致超材料设计面临的主要挑战是如何高效且系统性地建立两者之间的双向关系。近年来,尽管以有限元和进化算法为基础的设计框架已经能够帮助研究人员建立材料结构与性能之间的对应关系,并一定程度上指导了材料设计,但此类方法需要消耗大量的计算资源,且效率低下。
近日,德国汉诺威大学庄晓莹教授团队基于数据驱动方法针对能带结构预测和二维超材料逆向设计提出了一种高效的深度学习设计架构。此架构以条件变分自编码器(Conditional Variational Autoencoder, CVAE)为基础,实现了能带结构预测、拓扑特征提取及结构按需生成三大功能。借助卷积网络(Convolutional neural network, CNN)强大的非线性拟合和图形感知能力,建立了单元拓扑与带隙宽度和中心频率的映射关系,不仅简化了设计目标还为逆向设计结构提供了快速评估条件。其次,采用特征提取模块将原始高维拓扑结构输入压缩至低维设计空间,以提取有效信息并提高计算效率。最后,利用CVAE的采样生成方式,在保证生成结构多样性的同时避免了传统逆向设计时存在的非唯一解问题。此工作为航空、汽车和土木等领域的材料设计带了解决方案,为实现高效按需设计铺平道路。相关工作发表于《npj Artificial Intelligence》上。(潘鑫荣)

文章链接:
https://doi.org/10.1038/s44387-025-00001-1

免责声明:本文旨在传递更多科研资讯及分享,所有其他媒、网来源均注明出处,如涉及版权问题,请作者第一时间后台联系,我们将协调进行处理,所有来稿文责自负,两江仅作分享平台。转载请注明出处,如原创内容转载需授权,请联系下方微信号。

