近日,北京大学电子学院张志勇教授团队联合北京交通大学王颖和湖南省先进传感与信息技术研究院团队提出并实现了一种碳基异质结栅控光电晶体管(HGFET),在亚波长像元尺度下实现了超高灵敏短波红外探测。相关成果发表于《Advanced Materials》,为高分辨率、大面阵、低成本红外成像提供了全新思路。
为满足遥感、夜视、生物成像等高端短波红外(SWIR)应用对更高空间分辨率和更高探测灵敏度的迫切需求,红外成像像元持续向微型化发展。然而,主流铟镓砷(InGaAs)探测器在像元缩小至微米甚至亚微米尺度时,普遍面临暗电流和像素串扰急剧上升、工艺与封装难度陡增等瓶颈,严重制约了成像分辨率和系统信噪比的进一步提升。
(1)短波红外成像像元微缩的系统与器件层级需求及技术挑战
研究从系统与器件两个层面系统分析了像元微缩的物理极限与工程约束。系统仿真表明,当像元间距接近入射光波长时,光学串扰显著增强,明确了像元进一步微缩所面临的物理边界。在此基础上,研究团队突破传统光电二极管架构,利用碳基材料低温工艺、后端工艺(BEOL)兼容性强及光电解耦的结构优势,构建了适用于亚波长像元的高增益光电探测器件。

图1. 短波红外成像像元微缩的系统与器件层级需求及技术挑战
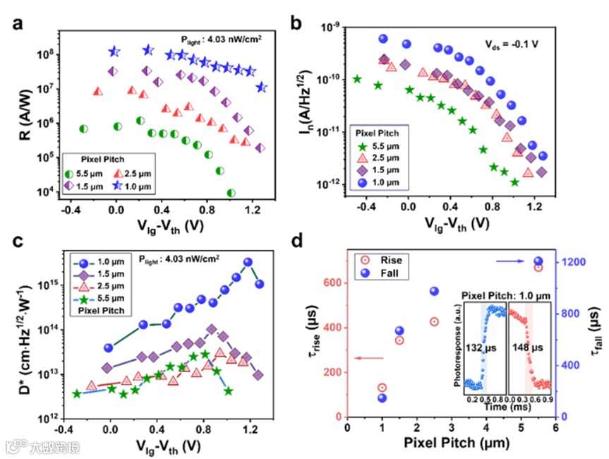
(2)碳纳米管 HGFETs在尺寸缩放中的核心指标
实验结果显示,随着像元尺寸由数微米缩小至1 μm量级,器件的响应度、比探测率和响应速度不降反升。其中1.0 μm像元器件在1300 nm波长下实现了超过10⁸ A/W的响应度和约10¹⁵ cm·Hz¹ᐟ²·W⁻¹的比探测率,同时保持100 μs快速响应。进一步研究表明,沟道缩短显著提升了碳纳米管晶体管的跨导,而噪声增长受到有效抑制,使器件在微缩尺度下仍能维持较高信噪比。
图2.碳纳米管HGFETs的光电响应、噪声特性、比探测率及时间响应
(3)碳纳米管 HGFETs在短波红外成像中的性能对比及集成前景
该工作在亚波长像元尺寸与超高灵敏短波红外探测性能之间实现了兼顾,并提出了一种兼容 CMOS 后端工艺的单片集成方案,为后续新一代高分辨率、低功耗、低成本短波红外焦平面阵列的发展提供了方向。
图 3. 基于碳纳米管HGFETs在短波红外成像中的性能对比及集成前景
碳纳米管异质结栅控场效应晶体管(HGFET)通过将光吸收与电学放大解耦,在亚波长像元尺度下获得了超过10¹⁵ cm·Hz¹ᐟ²·W⁻¹的比探测率及亚毫秒级响应速度。该架构能够在像元微缩过程中持续保持高信噪比,为面向高分辨率、低成本短波红外成像系统的下一代器件与阵列集成奠定了基础。

文章链接:
http://doi.org/10.1002/adma.202517878
供稿:课题组

