近日,新加坡南洋理工大学物理与应用物理系张柏乐教授、香港中文大学物理系薛昊冉助理教授、香港大学物理系赵宇心等团队合作,在拓扑声学研究领域取得了重要进展。研究团队首次实现了回流Thouless泵浦,成功在声子晶体中观测了对称的多胞的万尼尔函数(symmetric multicellular Wannier function)和非平庸的贝里曲率(nontrivial Berry curvature)。相关研究成果以“Observation of returning Thouless pumping”为题发表在Nat Commun 16, 9669 (2025)上,新加坡南洋理工大学博后程哲宇为论文第一作者,赵宇心教授、薛昊冉教授和张柏乐教授为通讯作者。
在该研究中,基于声学平台首次实现了精细拓扑绝缘体并观测到它的两条性质:1. 动量空间中极化从0演化成1,随后又演化成0,这暗示了回流Thouless泵浦。2. 实空间中万尼尔函数不局域在一个元胞中。这与原子拓扑绝缘体(atomic topological insulator)不同,它们的万尼尔函数严格局域在一个元胞中;与陈绝缘体(Chern insulator)不同,它们的万尼尔函数局域性由指数函数描述;与高阶拓扑绝缘体(higher-order topological insulator)不同,它们的万尼尔函数中心不在元胞内。此外,研究团队还实验观测了在布里渊区对称分布的贝里曲率,边界态也与之对应。
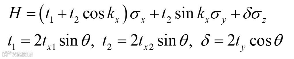
如图1(a)所示,模型哈密顿量为
如果直接在二维系统中实现这个模型,我们将要引入虚数跃迁(imaginary hopping), 这一般是难以做到的。我们将ky用合成维度θ代替,此时模型哈密顿量成为
图1(b,c)为声学结构,它包含12条声学链。图1(d)展示了通过精细调节声学结构,我们可以用声学结构模拟哈密顿量。图2(a)展示了每一条声学链测量的能带,并与仿真结果对比,这再一次印证设计的声学样品的准确性和有效性。从实验结果我们可以得到贝里相位(Berry phase),或者说极化(polarization). 如图2(b)所示,随着合成维度θ从0演化到π至2π,极化从0变成1最后回到0,这就是回流Thouless泵浦。将布洛赫函数进行傅里叶变化,我们可以得到万尼尔函数。如图2(c)所示,万尼尔函数保持有对称性,并且不局域在一个元胞内,这说明我们的声学结构的确是精细拓扑绝缘体。图3(a)展示了理论,仿真,实验的贝利曲率。可以发现,上半布里渊区的贝里曲率与下半布里渊区贝利曲率互为相反数,因此整个布里渊区内贝里曲率之和为0。鉴于半个布里渊区内贝里曲率非平庸,边界态存在,这在图3(b,c,d)中得到印证。
图1| 具有合成维度的精细拓扑绝缘体的声学结构。(a) 上:二维紧束缚模型。下:将ky映射为θ, 二维结构可以映射为一系列一维结构。(b) 声学结构照片。(c) 声学结构元胞。上:θ=3π/2, 下:θ=π/2. (d) 紧束缚参数与θ的关系。
图2| 观测回流Thouless泵浦和对称的多胞的万尼尔函数。(a) 对于不同的θ,观测(颜色图)和仿真(白点)体态能带。(b) 对于下能带,极化与θ的关系。(c) 在选择了特殊的规范后,系统存在对称的多胞的万尼尔函数。

图3| 观测到无带隙的边界态。(a) 贝里曲率在二维布里渊区中的分布。上半和下半布里渊区具有有相反的贝里曲率。(b) 对于不同的θ, 有限大声子晶体的本征频率。(c,d), 测量的边界态色散。
在Thouless泵浦的基础上,我们实验观测到了回流Thouless泵浦。此外,我们观测到了无带隙的边界态,这些边界态由子布里渊区非平庸陈数决定。我们的声学系统提供了研究更复杂精细拓扑绝缘体的平台。比如考虑到具有其它晶体对称性的精细拓扑绝缘体,具有非厄米性质的拓扑绝缘体。从实际角度看,我们可以设计精细拓扑绝缘体,其布里渊区可以划分为更多的子布里渊区,每个子布里渊区都有非平庸的陈数,这样可以有更多的边界态。我们的工作为多模波导传输提供了基础。
论文链接:
https://doi.org/10.1038/s41467-025-64671-w
撰稿|课题组

