近日,香港科技大学(广州)吴肖肖课题组提出并实验验证了一种基于Anapole超表面与Fabry-Pérot(FP)腔耦合的混合光学腔体。该设计在无需改变超表面晶格结构的前提下,仅通过调节腔长,即可在宽频谱范围内实现强耦合与弱耦合之间的连续切换。相关成果以“Hybrid Cavity from Tunable Coupling between Anapole and Fabry-Pérot Resonance or Anti-resonance”为题,发表于《Laser & Photonics Reviews》[1]。香港科技大学(广州)博士生罗澳宁为论文第一作者,吴肖肖助理教授为论文通讯作者。香港大学马静文研究助理教授、香港科技大学(广州)李海涛博士等合作者亦对本研究作出重要贡献。
在超灵敏分子传感、超快非线性光学、量子计算等前沿领域,增强光与物质的相互作用是核心挑战之一。在这些场景中,光不仅可以是近平衡响应探测工具,更是主动调控材料性质、诱导新物质相的关键手段。实现此类应用的关键,在于构建一个兼具亚波长尺度光场局域能力与共振频率精准可调特性的平台。尽管基于单一共振模式的电磁体系已在这些方面取得一定进展,但集成并耦合多种共振模式所产生的新奇效应和独特性能,仍有待深入探索。近年来,Anapole(无极子)超表面因其通过电偶极子与环偶极子之间的辐射相消干涉,实现深亚波长光场局域的能力而备受瞩目;同时,FP腔凭借其卓越的光谱调谐特性,为定制光子环境提供了重要途径。然而,受限于微纳结构精确组装的困难及在低频电磁波段光与物质相互作用强度较弱等挑战,使得上述两种结构的协同耦合机制及其潜在的应用机遇,有待深入发掘与系统研究。
为突破上述限制,研究团队提出并设计了一种工作于太赫兹频段的混合光学腔体。该结构将基于开口环谐振阵列的Anapole超表面嵌入于由两片电介质板构成的FP腔中心。通过连续调节FP腔长或超表面在腔内的纵向位置,可精确实现Anapole与特定阶次的FP共振(或反共振)的频率匹配,进而有选择性地诱导出强耦合或弱耦合这两种本质迥异的相互作用机制。
研究团队发现,借助模式耦合对空间宇称的依赖性,实现了针对Anapole与对称FP半腔模式之间相互作用的主动调控,并成功将反对称FP半腔模式从杂化系统中解耦。强烈的相干能量交换引发了显著的拉比劈裂(ΩRabi/ωanapole ~ 34.4%),推动系统进入超强耦合区间,所产生的极化激元分支同时融合了Anapole的亚波长局域特性和FP腔模的色散可调谐能力,可实现对共振频率和模式体积的同步调控。这种深度耦合限制,也为改变材料的基态和相变提供了可能。另一方面,研究团队通过将Anapole共振与FP半腔的反共振光谱对齐,在弱耦合下观测到线宽窄化及光子局域态密度(LDOS)显著提升的现象。为验证上述理论,研究团队利用太赫兹时域光谱系统开展了实验研究,在室温条件下成功实现了强耦合与弱耦合状态之间的动态切换。

图1:混合腔体的结构设计与模式演化。(a)混合腔的示意图。(b)超表面最低阶本征模式的电场和磁场分布图,证明了电偶极子与环偶极子间的反相。(c)以金属替代中间层的超表面图案,完整的FP腔被分隔为两个独立的半腔,FP半腔模式的场分别局域于各自的介质—金属层之间的空隙。白色实线与虚线分别标示金属(理想电导体,PEC)与介质层的边界。(d,e)Anapole超表面与FP腔的耦合示意图:(d)与FP共振的强耦合;(e)与FP反共振的弱耦合。
图2:混合腔体的数值模拟与理论分析结果。(a)基于数值模拟和传输矩阵法(TMM)得到的通过混合腔体的透射随腔长L和频率f变化的彩色热图。(b,d)腔长为2.75 mm与1.3 mm时,混合腔的透射光谱。(c,e)对应上述腔长,TMM计算所得复频面透射极点的分布图。虚线圆标示混合腔耦合后本征模式对应的极点位置。
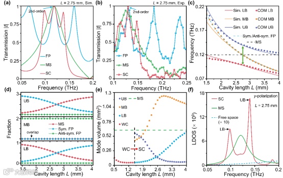
图3:Anapole与FP共振之间的强耦合。(a,b)分别为数值模拟与实验结果。(c)强耦合产生的三个本征模式随腔长变化的色散,且Rabi劈裂频率高达41.3 GHz。该结果分别源于数值模拟及耦合谐振子模型(COM)。(d)强耦合杂化模式中各种成分的占比。(e)本征模的模式体积随腔长的演变。(f)强耦合下混合腔与裸超表面的光子局域态密度(LDOS)的对比。
图4:Anapole与FP反共振之间的弱耦合。(a,b)数值模拟与实验所得的透射光谱。(c)FPB半腔模式、Anapole超表面及混合腔的能量份额(energy fraction)。(d)FP反共振的电场分布图。(e,f)弱耦合下混合腔与仅有超表面时的电场分布图(e)、LDOS及其基于洛伦兹模型的拟合结果的对比(f)。
图5:超表面位置切换时FP共振或反共振与Anapole的耦合。(a)超表面置于FP腔内不同空间位置的示意图:于波腹位置使两个半腔的FP反共振与Anapole弱耦合(b,c);于波节时使两个半腔的FP共振与Anapole强耦合(d,e)。图中能量份额的谷值与峰值分别对应半腔的反共振与共振。(f)对应于(a)中的两种构型,混合腔同时与两个半腔耦合,展现出更窄的线宽和更大的Rabi劈裂。
本工作提出并实验验证了一种可调谐的混合腔体,将Anapole超表面集成于FP腔内,仅通过调控腔长即可实现不同耦合状态之间的切换。同时,将Anapole超表面置于FP腔模的波节或波腹等特定位置,也为耦合强度的调谐引入了额外的调控维度。强耦合情况下,Anapole与FP共振模式的能量交换使系统进入超强耦合区,所产生的极化激元融合了Anapole和FP腔的双重特性,在保持极小模式体积的同时实现了共振频率的动态可调。弱耦合情况下,通过匹配Anapole与FP反共振的频率,大大抑制了腔体的辐射损耗,使得透射线宽被显著压缩。值得一提的是,该机制有别于现有基于腔共振的策略。通过对FP腔品质因子的进一步优化,可使LDOS增强两个数量级。这种混合光学腔及其可调耦合机制不依赖材料特性,具有普遍适用性,在光学和近红外等波段下,为场高度局域导致的热致耗散加剧引起的耦合强度被抑制等问题提供了可能的解决方案。此外,将混合腔体与各类光学活性材料或非线性材料集成,有望促进动态可重构光子器件的发展。
本研究工作得到了国家自然科学基金、广东省自然科学基金、港科大—港科大(广州)跨校区协同科研计划等项目的资助。
参考文献:
[1] Luo, Aoning, et al. Hybrid Cavity from Tunable Coupling between Anapole and Fabry-Perot Resonance or Anti-resonance. Laser & Photonics Reviews (2025): e02392.
http://doi.org/10.1002/lpor.202502392
撰稿|课题组

