想象一下,一个波动的局部振荡速度,竟然可以比其整体波包中最快的傅里叶分量还要快——这就是神奇的“超振荡”现象。它曾催生了远超衍射极限的超分辨成像技术。如今,科学家们将这一概念从空间或时间维度,首次拓展到了时空一体的全新领域。近期,南洋理工大学申艺杰教授与英国南安普顿大学Nikitas Papasimakis、Nikolay I. Zheludev教授合作,在Nature Communications上发表了题为“Space-time superoscillations”的研究,成功在自由空间光脉冲中观测并论证了时空超振荡现象。该工作为极端时空光场调控开辟了新纪元,对超快计量学、光与物质相互作用以及电磁波的深亚波长控制具有深远意义。
超振荡(Superoscillation)是波物理学中一个反直觉的现象:一个由有限带宽波矢构成的波场,在其局部区域可以表现出任意高的空间频率或时间频率振荡,从而突破由最高傅里叶分量决定的衍射极限。这一特性在过去十余年间引发了光学领域的革命,催生了超振荡透镜、纳米计量学等一系列突破衍射极限的超分辨成像和测量技术。
此前的研究大多将空间超振荡(如产生超越衍射极限的聚焦光斑)和时间超振荡(如产生超越变换极限的超短光学拍频)分开处理。然而,能否在同一个光脉冲中,在同一时空点上,同时实现空间和时间的超振荡,构建一个四维(x, y, z, t)的极端场结构?这是一个根本性的物理挑战,因为同时满足空间和时间的带限条件并对场进行精密调控极其困难。麦克斯韦方程的传统解很难同时支持这种极端的局域行为。
本工作首次在理论上提出并在数值上论证了时空超振荡(Space-time superoscillation, STSO)的概念。研究团队利用一类名为超环面光脉冲(supertoroidal light pulses)的时空非分离电磁场【参见Nat. Commun. 12, 5891 (2021); Nat. Commun. 15, 4863 (2024)】,通过精密调控其拓扑结构参数,实现了在同一脉冲的局域时空点上,同时产生超越其空间和时间频谱极限的快速振荡。
图1:带限超环面光脉冲中的超振荡。(a) 超环面光脉冲的时空电场演化。(b) 电场的等值面结构。在焦点平面(z=0)上,在特定时刻t_s(c,蓝色曲线)的径向电场剖面和在特定径向位置r_s(d,蓝色曲线)的时间电场剖面,均显示出远超其最快傅里叶分量(红色虚线)的快速振荡。黑色虚线框突出显示了超振荡区域。
实现方法:研究团队基于解析的麦克斯韦方程解,构建了一类带限的超环面光脉冲,其拓扑由参数α控制。通过对脉冲的复焦点参数、拓扑荷数等进行调控,他们能够在脉冲的特定时空坐标上,设计出电场发生极端快速变化的“热点”。在这些热点处,脉冲的局部时空频率可以超过其整体频谱的截止频率数倍甚至更高。
开创性意义:这不仅是首次将超振荡从纯空间或纯时间维度,真正推广到了完整的时空域,也是在自由空间传播的电磁波中,首次实现了对四维时空极端局域场的精确设计和操控。

图2:带限环面脉冲与超环面脉冲的特性对比。对于α=1的环面脉冲(a1-a4)和α=50的超环面脉冲(b1-b4):(a1, b1) 焦点平面上的时空电场模分布;(a2, b2) 对应的解包裹相位分布;(a3, b3) 径向局域波矢和时域局域频率超过阈值k_m和f_m的区域(深色区域);(a4, b4) 能量时空分布。插图显示了局域能流,黑线和点标记零线和奇点,蓝色粗箭头标记能量回流区域。α=50的超环面脉冲(b3)中清晰显示了时空超振荡区域。
极端时空局域:时空超振荡意味着光场的能量可以被压缩到比其中心波长和周期小得多的四维“时空点” 上。这种极端局域化能力随着拓扑参数α的增加而增强。对于α=100的超环面脉冲,其时空超振荡“热点”的持续时间可被压缩至0.66飞秒(对应~200阿秒的有效压缩),空间尺度可达80纳米,远小于传统衍射极限。
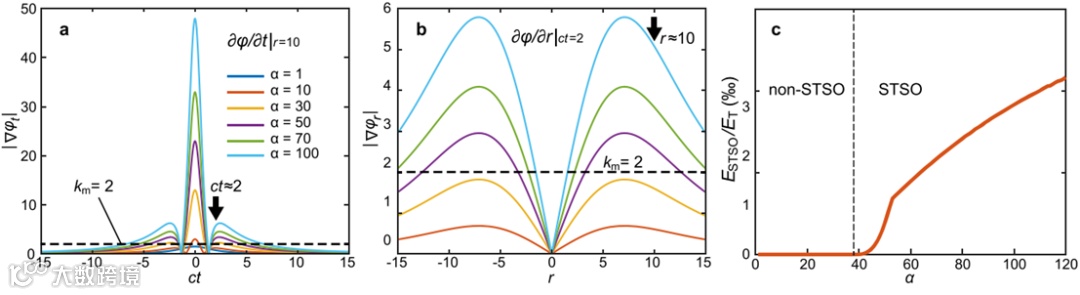
能量可探测性:研究发现,时空超振荡区域虽然只占总能量的极小部分(约0.1% - 1%),但其能量占比随α增大而单调增加(图3c),且与先前超分辨显微镜实验中成功利用的能量水平相当,因此具备实验探测的可行性。

图3:不同阶数超环面脉冲的时空超振荡特性。(a) 在固定径向位置(r=10)的时域局域频率。(b) 在固定时间(t/c=2)的径向局域波矢。不同颜色的曲线对应不同的拓扑参数α。黑色虚线标记了全局最快的空间和时间频率分量。(c) 时空超振荡区域能量占脉冲总能量的比例随超环面阶数α的变化关系。
频谱特征:时空超振荡的一个决定性证据是,对包含超振荡的局域时空片段进行傅里叶分析,会发现其频谱成分突破了由整体脉冲带宽决定的“光锥”限制。这表明在局域区域,场确实振荡得比其全局频谱所允许的更快。这种“光锥外”的频谱成分随α增大而愈发显著。

图4:不同阶数超环面脉冲的频谱特征。(a1-a4) 不同阶数α(1, 10, 50, 100)的完整脉冲在(k_r, f)平面的频谱投影。浅蓝色区域标记了光锥。(b1-b4) 对应脉冲中时空超振荡局域片段的局域频谱。红色线为光锥边界。完整脉冲的频谱被限制在光锥表面,而局域片段则显示出明显的光锥外分量。
跨领域启发:时空超振荡的概念不局限于光子,它可以迁移到声波、电子波、甚至引力波等任何波动系统。在应用层面,它为量子调控、超快光谱学、纳米光子学、以及高分辨率传感与成像等领域解锁了全新的可能性。例如,利用时空超振荡脉冲,或许可以实现对单个原子或分子的四维超快操控与探测。此外,研究指出时空超振荡区域与嵌套的斯格明子拓扑结构区域重合,这为探索拓扑保护与极端场局域化的协同效应开辟了新路径。
[超振荡让我们看到了“以小博大”的力量,而时空超振荡,则让我们得以在飞秒-纳米尺度上,同时驾驭空间和时间。]
相关信息:课题组网站: https://shen-lab.mystrikingly.com/ 课题组中文推送: https://mp.weixin.qq.com/s/1yP7pd1J37zuJ7v8m3yO2w
Y. Shen, N. Papasimakis, N. I. Zheludev, “Space-time superoscillations”,Nature Communications (2026).
DOI: https://doi.org/10.1038/s41467-025-68260-9
撰稿:课题组

