GFE软件提供有限元分析常用的单元类型,包括纤维梁单元、分层壳单元、平面应变单元和实体单元,如表1所示。本篇提供二维梁单元的静力、模态和动力分析算例,并将计算结果与国际知名通用有限元软件(软件A)计算结果对比,验证GFE软件中二维梁单元算法实现的正确性。
表1 GFE软件中的有限单元
GFE
纤维梁单元
分别采用GFE软件和软件A中的纤维梁单元对悬臂梁进行静力、模态和动力分析。悬臂梁长6m、宽0.6m、高0.25m;质量密度2.5t/m3,弹性模量3.0×107kPa,泊松比0.25。悬臂梁的有限元模型如图1所示,采用二维一阶梁单元模拟,节点数为13,单元数为12。
图1 悬臂梁有限元模型
二维梁单元
1.静力分析
对悬臂梁整体施加沿Y负方向、大小为9.8m/s2的惯性力荷载进行静力计算,坐标系和约束条件如图2所示。选取悬臂梁上若干节点和单元,如图3所示,输出其位移、剪力和弯矩结果进行分析对比。表2给出了所选节点的Y方向位移,表3和表4分别给出了所选单元的Y方向剪力和X-Y平面内弯矩。从表可见,GFE软件与软件A计算得到的位移、剪力和弯矩结果差异小于3%。悬臂梁的位移如图4所示。图中可以看出,两款软件计算得到的位移云图结果吻合较好。
图2 悬臂梁的坐标系和约束条件
图3 输出结果的节点和单元编号
表2 Y轴方向位移
表3 Y轴方向剪力
表4 X-Y平面内弯矩
图4 位移云图
2.模态分析
进行上述悬臂梁模型的模态分析。前三阶固有频率如表5所示,可以看出,两个软件的计算结果差异小于2%。前三阶振型如图5所示,可以看出,两个软件的计算结果吻合较好。
图5 悬臂梁前三阶振型
表5 悬臂梁固有频率
3.动力分析
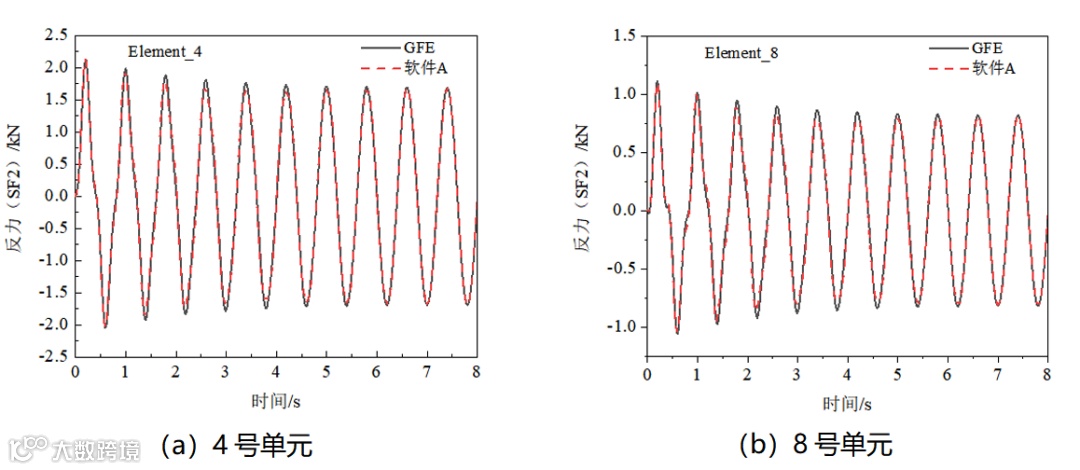
在悬臂梁上施加随时间正弦变化的惯性力载荷,幅值为1m/s2,加速度时程如图6所示。选取悬臂梁上若干节点和单元,如图7所示,输出其位移、剪力和弯矩结果进行分析对比。图8为节点的Y方向位移时程,图9和图10分别为单元的Y方向剪力和X-Y平面内弯矩。由图可知,两款软件的计算结果吻合较好。
图6 正弦惯性力载荷的加速度时程
图7 输出节点和单元的编号
图8 Y轴方向位移
图9 Y轴方向剪力
图10 X-Y平面内弯矩
GFE
总结:
本篇介绍了GFE软件的二维梁单元,并使用该单元对一悬臂梁模型进行了静力、模态和动力分析,计算结果与某国际知名通用有限元软件A对比,结果表明两款软件的计算结果基本一致,验证了GFE软件对该单元实现的正确性。
GFE
公司简介
广州颖力科技有限公司由国家重大人才工程专家李志山博士和曹胜涛博士创建。公司设立在清华珠三角研究院总部的孵化基地,为黄埔开发区的创业英才公司,并入选广州市“红棉计划”。
公司致力于工业和工程领域的高性能有限元分析软件的开发及推广应用,自主研发基于CPU+GPU异构并行计算技术的高性能通用有限元分析软件GFE。在杜修力院士、赵密教授等专家的指导下,公司自主研发了地下结构动力分析软件GFE-SSA,全面支持我国地下结构抗震设计规范。GFE系列软件填补了国内技术的空白,在工业界具有广阔的应用市场前景。
GFE
联系方式
联系邮箱:Song@gzyltech.com
联系地址:广州市黄埔区香雪八路98号F栋清华珠三角研究院1103
联 系 人 :宋莹莹
邮政编码:510530
长按二维码
关注颖力科技

