GFE提供常用的材料本构模型包括:弹性本构、弹塑性本构、摩尔库伦本构、混凝土塑性损伤本构、Davidenkov本构和Hyperelastic本构等。本篇通过与国际知名通用有限元软件(软件A)的计算结果进行对比,对GFE软件中Yeoh应变势能Hyperelastic本构模型进行了正确性验证。
GFE
Yeoh本构模型
本篇采用GFE软件和软件A中的Hyperelastic本构模型下Yeoh应变势能对三维圆柱体实体单元进行大变形剪切作用分析。模型圆柱体直径1m,高度1m。模型网格划分及单元节点编号如图1所示。采用GFE软件和软件A中的 C3D4 单元进行分析,考虑材料和几何非线性。通过对比单元1应力和底部支座整体反力的计算结果,验证GFE软件Hyperelastic本构模型的正确性。
图1 网格划分及单元支座示意
圆柱体底部约束六个自由度。顶部施加5m的x向剪切位移,分为 50 步,单步位移 0.1 m,同时约束y向以及z向的位移为0。加载历程如图2所示。
图2 加载历程
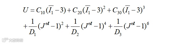
Yeoh应变势能
1.基本理论
Yeoh应变能函数为:
应力由应变能函数对变形偏导得到。
2.正确性验证
Yeoh应变势能材料参数设置如表1所示。
表1 Yeoh应变势能材料参数
剪切作用下有限元模型位移云图如动图1、2所示。
动图1 GFE位移云图
动图2 软件A位移云图
输出单元位移应力曲线结果进行分析对比,表2给出了最终时刻应力对比结果,图3给出了单元位移应力的数值曲线,两款软件的计算结果吻合较好。
表2 Element1最终时刻应力对比
图3 应力变形数值曲线
输出底部支座RF1合力曲线结果进行分析对比,表3给出了最终时刻反力对比结果,图4给出了位移反力的数值曲线,两款软件的计算结果吻合较好。
表3 底部支座最终时刻RF1合力对比
图4 反力变形数值曲线
GFE
结论
本篇介绍了GFE软件的Yeoh应变势能Hyperelastic本构模型,并与国际知名通用有限元软件A的计算结果进行了对比,两款软件结果吻合较好,表明Yeoh应变势能Hyperelastic本构模型的计算结果是正确的。
声明:原创文章,未经许可不得转载
GFE
申请试用
1.关注广州颖力科技微信公众号
2.点击【产品介绍】→【申请试用】
3.根据需求选择合适的试用通道
GFE
公司简介
广州颖力科技有限公司设立在清华珠三角研究院总部的孵化基地,为黄埔开发区的创业英才公司,并入选广州市“红棉计划”。
公司致力于工业和工程领域的高性能有限元分析软件的开发及推广应用,自主研发基于CPU+GPU异构并行计算技术的高性能通用有限元分析软件GFE。在杜修力院士、赵密教授等专家的指导下,公司自主研发了地下结构动力分析软件GFE-SSA,全面支持我国地下结构抗震设计规范。GFE系列软件填补了国内技术的空白,在工业界具有广阔的应用市场前景。
GFE
联系方式
联系邮箱:admin@gzyltech.com
联系地址:广州市黄埔区香雪八路98号F栋清华珠三角研究院1103
邮政编码:510530
技术交流Q群:688314073
公司官网:http://www.yl-gfe.cn/
欢迎全国各地软件代理商洽谈合作!
长按二维码
关注颖力科技

