GFE提供常用的材料本构模型包括:弹性本构、弹塑性本构、摩尔库伦本构、混凝土塑性损伤本构、Davidenkov本构和Hyperelastic本构等。本篇通过与国际知名通用有限元软件(软件A)的计算结果进行对比,对GFE软件中VAN-DER-WAALS应变势能Hyperelastic本构模型进行了正确性验证。
GFE
Hyperelastic本构模型
采用GFE软件和软件A中的Hyperelastic本构模型下VAN-DER-WAALS应变势能对三维圆柱体实体单元进行大变形剪切作用分析。模型圆柱体直径1m,高度1m,质量密度2t/m3。模型网格划分及单元节点编号如图1所示。
采用GFE软件和软件A中的 C3D4 单元进行分析,考虑材料和几何非线性。通过对比单元1应力和底部支座整体反力的计算结果,验证GFE软件Hyperelastic本构模型的正确性。
图1 网格划分及单元支座示意
圆柱体底部约束六个自由度。顶部施加5m的x向剪切位移,分为 50 步,单步位移 0.1 m,同时约束y向以及z向的位移为0。加载历程如图2所示。
图2 加载历程
VAN-DER-WAALS应变势能
1.基本理论
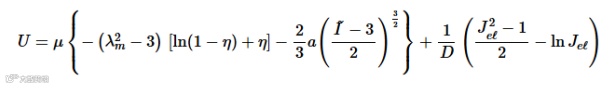
VAN-DER-WAALS应变能函数为:
应力由应变能函数对变形偏导得到。
2.正确性验证
VAN-DER-WAALS应变势能材料参数设置如表1所示。
表1 VAN-DER-WAALS应变势能材料参数
有限元分析最终时刻位移云图(变形系数0.25)如图3、图4所示。
图3 GFE软件最终时刻位移云图
图4 软件A最终时刻位移云图
输出单元位移应力曲线结果进行分析对比,表2给出了最终时刻应力对比结果,图5给出了单元位移应力的数值曲线,两款软件的计算结果吻合较好。
表2 E4534单元最终时刻应力对比
图5 应力变形数值曲线
输出底部支座RF1合力曲线结果进行分析对比,表3给出了最终时刻反力对比结果,图6给出了位移反力的数值曲线,两款软件的计算结果吻合较好。
表3 底部支座最终时刻RF1合力对比
图6 反力变形数值曲线
GFE
结论
本篇介绍了GFE软件的VAN-DER-WAALS应变势能Hyperelastic本构模型,并与国际知名通用有限元软件A的计算结果进行了对比,两款软件结果吻合较好,表明GFE软件VAN-DER-WAALS应变势能Hyperelastic本构模型是正确的。
声明:原创文章,未经许可不得转载
GFE
申请试用
1.关注广州颖力科技微信公众号
2.点击【产品介绍】→【申请试用】
3.根据需求选择合适的试用通道
GFE
公司简介
广州颖力科技有限公司由国家重大人才计划入选者李志山博士和曹胜涛博士创建。公司设立在清华珠三角研究院总部的孵化基地,为黄埔开发区的创业精英人才公司,并入选广州市“红棉计划”。
公司团队有20余年的大规模非线性分析软件的研发经验,一直致力于工业和工程领域高性能有限元分析软件的开发及推广应用,自主研发了高性能通用有限元分析软件GFE。在杜修力院士、赵密教授等专家的指导下,公司自主研发了地下结构动力分析模块GFE-SSA,全面支持我国地下结构抗震领域的科学研究及工程设计,填补了国内技术的空白。
GFE软件共包含有五大功能模块:数据接口、前处理、显式分析求解器、隐式分析求解器及后处理,其应用领域涵括了抗震分析、抗爆分析、环境振动、施工模拟、核电结构、桥梁结构、节点性能等各种工程领域,并涵括了智能设备跌落、汽车NVH及碰撞、特殊设备分析等各种工业领域。
GFE软件将CPU+GPU异构并行计算技术和有限元仿真分析方法结合,并在功能研发上综合考虑了国内工程、工业领域的实际应用需求,在保证计算精度的前提下,大幅提升了国内有限元分析软件的计算效率、非线性分析能力、易用性和专业性,其技术思路和软件效率在世界范围内处于领先地位,在工业制造领域、工程设计领域具有广阔的应用市场前景。
GFE
联系方式
联系邮箱:admin@gzyltech.com
联系地址:广州市黄埔区香雪八路98号F栋清华珠三角研究院1103
邮政编码:510530
技术交流Q群:688314073
公司官网:http://www.yl-gfe.cn/
欢迎全国各地软件代理商洽谈合作!
长按二维码
关注颖力科技

