在传统的有限元仿真中,对于钢筋拉压的本构模型往往采用三折线或者双折线模型。然而现实情况是钢筋是一种需要考虑受压屈曲的材料。因而,上述两种本构模型并不能很好地进行钢筋的有限元仿真,使得仿真贴近现实。GFE依据相应的文献开发了考虑屈曲的一维钢筋本构。
01
基本理论
GFE提供了考虑屈曲的一维钢筋本构模型[1]。该本构模型理论主要来自于VECCHIO模型[2]以及屈服效应模型[3]。VECCHIO模型提供了该本构模型受拉情况下的本构关系,如图1-1所示。
图1-1 VECCHIO本构模型
本模型中的钢筋受拉阶段采用图1-1中的LM段及MD段。区别于VECCHIO模型中的ABCM的三折线模型,此本构模型采用双折线模型。
对于LM段,采用下式进行计算:
其中,ε(m)为最大应变点,ε(0)为最小应变点;E(sr)为卸载刚度,E(sh)为硬化刚度;σ为应力。系数N由下式确定:
对于卸载时的刚度E(sr),分为不同情况进行计算。当ε(m)-ε(0)<ε(y)时(ε(y)为屈服应变),卸载刚度等于初始刚度 E;当ε(m)-ε(0)>4ε(y)时,卸载刚度取 0.85E;当ε(y)≤ε(m)-ε(0)≤4ε(y)时,卸载刚度按照下式计算:
不完全加载与卸载路径如图1-1中EFGHI线段。其中EF和GH的卸载段是直线,FG和HI 是LM段的计算式确定的曲线。
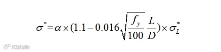
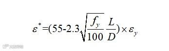
受压阶段的本构关系由屈服效应模型确定。每次使用该本构关系时,需要确定在不考虑屈曲时钢筋的本构关系。同时,需要确定参数中间应变(由进入压状态时的应变减去屈服效应模型确定的ε*)。在本程序中,不考虑屈曲时钢筋的本构关系由VECCHIO模型确定。ε*由下式确定:
其中,f(y)为钢筋屈服强度,L/D为钢筋的长细比,ε(y)为屈服应变。
图1-2 屈服效应模型
确定完不考虑屈曲时钢筋的本构关系及中间应变后,根据不考虑屈曲时钢筋的本构关系,确定中间应变点的应力取值。该应力用下式确定:
其中,σ(L)*为不考虑屈曲时钢筋的本构关系应变为中间应变时的应力。α为常数,取值在0.75~1.0之间,建议对于线性硬化的取1.0,而理想弹塑性的取 0.75。
屈曲钢筋压应力应变曲线分成4段:
(1)当应变不超过屈服应变时,曲线与无屈曲时相同;
(2)从屈服应变到中间应变,曲线由上面的公式确定;
(3)中间应变ε*后应力应变为直线关系,斜率为初始刚度的2%;
(4)当应力下降到0.2倍屈服应力后,其后应力保持为常数。
拉压时,不完全卸载加载的应力应变关系使用VECCHIO模型确定。
基于以上理论形成了该本构模型。
图2.7-3 本程序使用的本构模型
02
模型验证
为了方便对比,计算模型采用文献[1]中的算例一。算例一的模型为5个梁单元(本次模拟设置单元类型为T3D2)。材料参数定义为E(s)= -1.8x10的5次方MPa,硬化刚度与初始刚度比为0.04,f(y) =430 MPa,L/D=11,α取1。钢筋直径为16 mm,钢筋长度为176 mm。采用单轴拉伸实验的边界方式及载荷方式,进行荷载以及边界的施加。钢筋底部采用固定约束,钢筋顶部施加往复的位移。结果表明,GFE与软件A的结果吻合良好。
图2-1 GFE和软件A单元4的滞回曲线对比
03
小结
本篇文章介绍了GFE最新支持的考虑屈曲的一维钢筋本构,阐述该钢筋本构的基本原理,对使用该钢筋本构的算例模型进行了建立,并在GFE软件及软件A中进行计算。结果表明,GFE与软件A的计算结果吻合良好,GFE中能够很好模拟钢筋受压屈曲后的效应。
参考文献:
[1] 方自虎,简旭阳,周尧,等.考虑屈曲的钢筋滞回模型[J].武汉大学学报(工学版),2016,49(02):254-258.DOI:10.14188/j.1671-8844.2016-02-016.
[2] Vecchio F J. Towards cyclic load modeling of reinforced concrete [J]. ACI Structural Journal, 1999, 96(2):192-202.
[3] Dhakal R, Maekawa K.Modelling for post yielding buckling of reinforcement [J]Journal of Structural Engineering, ASCE ,2002 ,128(9) :1139-1147.
声明:原创文章,未经许可不得转载
GFE
申请试用
1.关注广州颖力科技微信公众号
2.点击【产品介绍】→【申请试用】
3.根据需求选择合适的试用通道
GFE
公司简介
广州颖力科技有限公司由国家重大人才计划入选者李志山博士和曹胜涛博士创建。公司设立在清华珠三角研究院总部的孵化基地,为黄埔开发区的创业精英人才公司,并入选广州市“红棉计划”。
公司团队有20余年的大规模非线性分析软件的研发经验,一直致力于工业和工程领域高性能有限元分析软件的开发及推广应用,自主研发了高性能通用有限元分析软件GFE。在杜修力院士、赵密教授等专家的指导下,公司自主研发了地下结构动力分析模块GFE-SSA,全面支持我国地下结构抗震领域的科学研究及工程设计,填补了国内技术的空白。
GFE软件共包含有五大功能模块:数据接口、前处理、显式分析求解器、隐式分析求解器及后处理,其应用领域涵括了抗震分析、抗爆分析、环境振动、施工模拟、核电结构、桥梁结构、节点性能等各种工程领域,并涵括了智能设备跌落、汽车NVH及碰撞、特殊设备分析等各种工业领域。
GFE软件将CPU+GPU异构并行计算技术和有限元仿真分析方法结合,并在功能研发上综合考虑了国内工程、工业领域的实际应用需求,在保证计算精度的前提下,大幅提升了国内有限元分析软件的计算效率、非线性分析能力、易用性和专业性,其技术思路和软件效率在世界范围内处于领先地位,在工业制造领域、工程设计领域具有广阔的应用市场前景。
GFE
联系方式
联系邮箱:admin@gzyltech.com
联系地址:广州市黄埔区香雪八路98号F栋清华珠三角研究院1103
邮政编码:510530
技术交流Q群:688314073
公司官网:http://www.yl-gfe.cn/
欢迎全国各地软件代理商洽谈合作!
长按二维码
关注颖力科技

