

康涅狄格大学营养科学系罗阳超课题组:植物糖原综述
Trends in Food Science & Technology
2020年11月,康涅狄格大学营养科学系罗阳超课题组在国际顶级期刊《Trends in Food Science & Technology》(IF:11.077)在线发表了题为 “Properties and applications of natural dendritic nanostructures: Phytoglycogen and its derivatives” 的综述论文。
(点击左下角阅读原文,直达文献页面)。
● 成果介绍
综述框架
1. 简介
1.1 植物糖原的生物合成
1.2 植物糖原的理化性质
1.2.1 植物糖原结构特征
1.2.2 植物糖原提纯方法
1.2.3 植物糖原水溶胶稳定性
1.2.4 植物糖原毒性及生物降解性
2. 糖原表面修饰
2.1 酶介导葡萄糖元转换
2.2 辛烯基琥珀酸酯化反应
2.3 羧甲基化植物糖原
2.4 辛烯基琥珀酸及羟丙基酯化反应
2.5 其他表面修饰
3. 植物糖原的应用
3.1 食品科学领域
3.1.1 生物活性物质的包埋与运输
3.1.2 食品质量与安全
3.2 药物科学领域
3.2.1 药物传输
3.2.2 基因运送
3.2.3 疫苗辅剂
4. 总结和展望
现状及背景
植物糖原是一种天然存在于甜型突变谷物细胞内的可溶性树枝状纳米颗粒,在这些突变谷物中,由于一种脱支酶(异淀粉酶)的缺失,导致在胚乳内合成这种高度支化的拥有更短支链及更紧密结构的球形多糖颗粒来取代普通支链淀粉。近年来,通过运用不同技术手段研究植物糖原,其特殊的结构以及理化特性得以揭示,研究表示,植物糖原能够很大程度提高疏水生物活性物质的包埋率,且相较于其他纳米运送体系有相对较高的生物相容及降解性,同时具有相对较低的细胞毒性,这些特质使植物糖原成为一种天然的纳米运载体系。
综述内容
本综述的目的是从自然起源,提纯, 结构,特性等方面系统的讨论植物糖原的特性,并总结归纳其在药物以及生物活性物质的传输运送领域的应用。本文首先介绍了植物糖原的基本理化性质 (图1)。在介绍植物糖原在多种突变谷物胚乳内的自然合成过程的同时还讨论了两种脱支酶的基本作用与影响,以及从基因层面追溯其突变的进程。在时间顺序上依次介绍及分析了现存的各种结构模型,从而在分子层面更深层次的理解植物糖原的结构以及理化特征。通过总结及比较多种不同提取及提纯方式的优缺点,有效帮助读者筛选出适合其实验条件的提纯方法。由于其食源性特点,植物糖原具有较高的生物降解性以及较低的生物毒性,当作为非口服性制剂(例如静脉注射)其细胞毒性与植物糖原的纯度密切相关,随着产物纯度降低(蛋白质杂质含量升高)而升高。研究显示,植物糖原可在不同酸碱性溶液 (pH 2-12)以及盐溶液中保持结构稳定,但当作为口服制剂(辅剂)时,却极易受到胃肠酶(淀粉酶)的攻击而水解,致使其运送的生物活性物质降解失活从而导致较低的生物利用率。
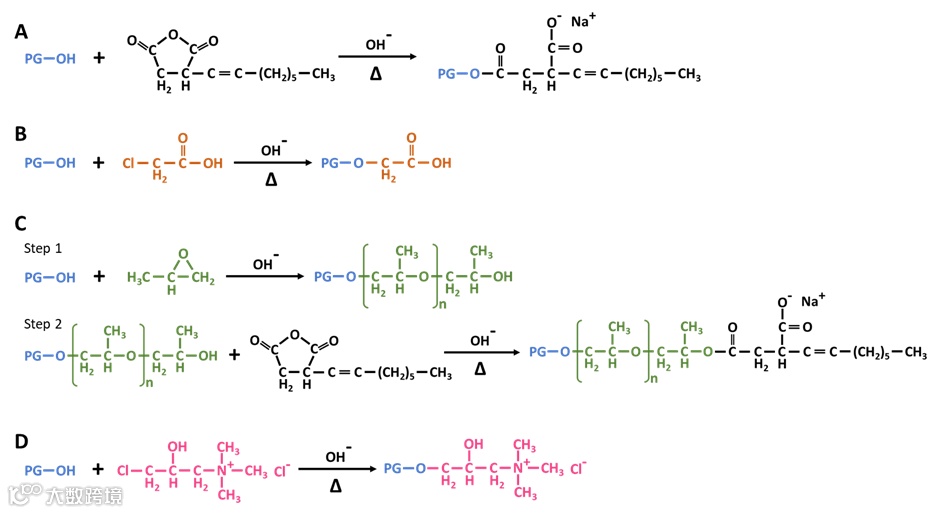
为了在提高植物糖原胃肠稳定性的同时不影响其包埋效果,科研人员对植物糖原的结构进行了多种转化及修饰。本综述第二节汇总了迄今为止的各种转化修饰方法 (图2),包括但不限于:1)通过特定的酶解反应增加α-1,6糖苷键的百分比(其酶解速率远小于α-1,4糖苷键),从而在一定程度上延缓胃肠酶解率;2)在植物糖原表面通过酯化反应引入疏水性辛烯基琥珀酸,使其对疏水性生物活性物质的包埋率得到一定程度的提高,并在空间水平上通过隐藏酶解位点从而阻碍胃肠酶与植物糖原接触,进而提高其结构的稳定性;3)在植物糖原表面引入羧甲基,更进一步增加其表面负电性而提高与胃肠酶的静电斥力,从而降低胃肠酶与糖原结合效率;4)在辛烯基琥珀酸修饰的植物糖原表面引入疏水性羟丙基,从而在不影响其包埋率及不降低胃肠稳定性的同时提高纳米颗粒的亲水性,使其生物利用率得到提高;5)通过像植物糖原表面引入带正电的含胺有机化合物,可进一步增加植物糖原的包埋种类。
随着越来越多科研人员的努力,植物糖原在各个领域的功能得以发掘。本综述的第三节在食品科学以及药物医学方面汇总分析了以植物糖原为基础的纳米体系的各种应用。在食品科学领域,作为食源性纳米颗粒,植物糖原被广泛用作生物活性物质的载体来提高货物的水溶性,通过介绍并比较传统及新型pH引导的包埋方法(图3)的优缺点,科研人员可根据包埋货物的特性选择不同的包埋体系。同时,本节在细胞层面探讨了现阶段植物糖原的细胞吸收理论机制(图4)。通过包埋抗菌多肽以及荧光剂,植物多糖可被用来调控及监测食品的质量与安全。在生物医学方面,带正电的植物糖原可被用作基因片段及蛋白多肽的运送载体, 其多枝的结构可以增强包埋货物与载体的相互作用而达到缓释效果,进而提高货物的保留时间并降低药物注射频率 (图5)。
总结和展望
近些年来,如何利用天然材料来制备药物或生物活性物质的运载体系受到了越来越多的关注。本文详细且全面的探讨了植物多糖的基础理化性质和以它为基础的纳米运载系统在各个领域的应用。与传统淀粉为基础的运载体系相类似,相对较弱的抗胃肠酶降解性是阻碍植物糖原作为口服给药系统的最大障碍。但随着研究的深入,该特性可以通过不同的修饰方法得到一定程度的提高。通过全方位了解生物活性物质与植物糖原之间的相互作用并适当加以利用,不同的运载货物将通过特定的体系包埋,从而最大程度提高其包埋率,稳定性,以及生物利用率。迄今为止,虽然有越来越多的关于利用植物糖原输送生物活性物质的研究出现,但大多数都关注在体外模拟实验或细胞实验,且关于植物糖原如何被机体吸收代谢以及其对机体及组织的毒性作用的研究仍寥寥无几,因此,在未来的研究发展中,基于动物模型的体内实验应被引进,从而彻底的了解植物糖原作为运载体系在生物体内的代谢进程。此外,如何通过寻找植物糖原与其他天然聚合物(蛋白质,多糖, 脂质等)之间的相互作用来提高纳米复合体的稳定性以及确保包埋货物的活性,也值得食品营养学家的进一步关注。
图例摘要:
图1:植物糖原以及淀粉的结构以及植物糖原的结构模型。
图2:植物糖原的表面修饰机理。
图3:生物活性物质包埋机理示意图。
图4:植物糖原小肠吸收示意图。
图5:植物糖原包埋OVA作为疫苗辅剂。
参考文献
https://doi.org/10.1016/j.tifs.2020.11.013
专 家 简 介
罗阳超,美国康涅狄格大学 (University of Connecticut) 营养科学系,助理教授,长期从事生物材料及食品纳米技术相关的研究。目前担任Elsevier杂志Journal of Agriculture and Food Research主编和International Journal of Biological Macromolecules (IF 5.162) 副主编,以及美国工程科学出版社(Engineered Science Publisher)旗下杂志ES Food and Agroforestry主编。2019年罗教授荣获科睿唯安“全科高被引科学家”称号。欢迎访问罗教授的课题组网站,了解其实验室具体研究领域和兴趣:www.luo.uconn.edu.
第一作者:薛璟怡,女,美国University of Connecticut营养学专业在读博士生,共发表SCI论文16 篇,其中第一作者SCI 论文4篇。博士期间主要研究课题方向为以植物糖原为载体的生物活性物质的包埋,保护和相互作用研究,同时探索基于植物糖原口服给药系统的生物内的代谢进程及机理。电子邮箱:jingyi.xue@uconn.edu。
编辑:陈敏/ 主编:王旭/ 学术顾问:寇兴然
文章来源“食品加 智食科技”微信公众号,点击下方“阅读原文”获取文章信息。
食品工业科技微信投稿平台:
https://www.wjx.cn/jq/96892133.aspx



