

合肥工业大学陈寒青团队:离子强度对大米谷蛋白/甜菜果胶复合凝胶结构、凝胶性能和微观结构的影响
Food Chemistry
碎米是大米加工过程中廉价的副产品,主要用作饲料,这不仅会降低大米的商品价值,还会造成大米资源的浪费。碎米中含有大量蛋白质和多种氨基酸,具有低致敏性和高营养的特点。大米谷蛋白是大米蛋白质的主要成分,约占大米蛋白质的80%,其加热后的凝胶特性对食品的感官特性有显著影响。然而,天然的大米谷蛋白其凝胶性能很差,多糖因其良好的乳化性、凝胶性、质地和持水性可被用于改善蛋白质的凝胶性能。甜菜果胶由线性阴离子主链组成,侧链含有阿魏酸基团。漆酶通常用作甜菜果胶凝胶的交联剂,有助于形成交联凝胶。漆酶能催化甜菜果胶的阿魏酸基团与蛋白质的酪氨酸残基形成复合凝胶网络结构。目前,还未有关于漆酶诱导大米谷蛋白/甜菜果胶复合凝胶形成的报道。深入了解大米谷蛋白/甜菜果胶在漆酶催化条件下的凝胶机理,将拓宽大米谷蛋白在凝胶产品开发中的应用。
近日,合肥工业大学陈寒青团队 :不同离子强度对大米谷蛋白/甜菜果胶复合凝胶凝胶化、结构特征和微观结构的影响,以满足食品工业的要求。相关成果以Structural, gelation properties and microstructure of rice glutelin/sugar beet pectin composite gels: Effects of ionic strengths为题,发表在国际期刊Food Chemistry上。”
(点击左下角阅读原文,直达文献页面)。
研究方法
首先通过内源性色氨酸荧光光谱测定了不同钙离子浓度(0-400mm)下大米谷蛋白和甜菜果胶的相互作用。然后,研究不同钙离子浓度下大米谷蛋白/甜菜果胶复合凝胶的流变性能、凝胶性能和持水性能。其次,通过分子力和拉曼光谱研究了甜菜果胶和不同钙离子浓度对漆酶诱导大米谷蛋白凝胶相互作用和结构性质的影响。最后,观察钙离子对大米谷蛋白/甜菜果胶复合凝胶微观结构的影响。
研究结果
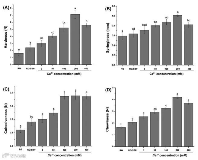
结果发现200 mM的钙离子可以改善大米谷蛋白/甜菜果胶复合凝胶的流变性能、结构性能和持水性能。甜菜果胶和钙离子可以增强大米谷蛋白分子间的疏水作用,从而提高了其凝胶性能。拉曼光谱和扫描电子显微镜的结果证明添加甜菜果胶和钙离子对形成更致密,更均匀的蛋白质凝胶具有积极作用。因此,甜菜果胶和钙离子可以作为凝胶增强剂应用于植物蛋白凝胶体系。
Fig. 1.Rheological behaviors of the RG gel, RG/SBP composite gels without laccase and cross-linked RG/SBP composite gels induced by laccase at different calcium ion concentrations (0–400 mM). (A and B): Plots of storage modulus (G′) and loss modulus (G′′) as a function of angular frequency at 25 ◦C; (C): Change of storage modulus (G′) of the RG gel and RG/SBP composite gels during heating and cooling cycle; (D): The final G′and Tgel of the RG gel and RG/SBP composite gels. RG indicates rice glutelin. SBP indicates sugar beet pectin. Mean values with different letters (a-e; A-E) differ significantly (P <0.05)
Fig. 2.The textural parameters (Hardness, Springiness, Cohesiveness, Chewiness) of the RG gel, RG/SBP composite gels without laccase and cross-linked RG/SBP composite gels induced by laccase at different calcium ion concentrations (0–400 mM). RG indicates rice glutelin. SBP indicates sugar beet pectin. Mean values with different letters (a-e) differ significantly (P <0.05).
Fig. 3.Changes of normalized intensities of the RG gel, RG/SBP composite gels without laccase and cross-linked RG/SBP composite gels induced by laccase at different calcium ion concentrations (0–400 mM). (A): Raman spectra at the 502 cm1, 515 cm1, 539 cm1, and 760 cm1; (B): Raman spectra at the 850/830 cm1, 1450 cm1, 3162 cm1, and 3451 cm1. RG indicates rice glutelin. SBP indicates sugar beet pectin. Mean values with different letters (a-e) differ significantly (P <0.05). Y.-R. Wang et al.
Fig. 4. Scanning electron micrographs of the RG gel, RG/SBP composite gels without laccase and cross-linked RG/SBP composite gels induced by laccase at different calcium ion concentrations (0–400 mM). A: RG gel; B: RG/SBP composite gel without laccase; C-G: The laccase induced cross-linked RG/SBP composite gels at different calcium ion concentrations (0–400 mM). RG indicates rice glutelin. SBP indicates sugar beet pectin.
研究结论
大米谷蛋白和甜菜果胶之间存在相互作用,甜菜果胶的加入可以使大米谷蛋白凝胶中α-螺旋的含量降低,β-折叠的含量增加,从而促进蛋白质的去折叠。甜菜果胶和适量的钙离子浓度(0~200mm)可以改善大米谷蛋白凝胶特性,有利于形成更致密、更均匀的网络结构。因此,大米谷蛋白/甜菜果胶复合凝胶的凝胶性能增强是由于疏水作用和二硫键的增加,以及钙离子和漆酶交联的协同作用。
1. 甜菜果胶的加入可以促进大米谷蛋白分子的去折叠。
2. 大米谷蛋白/甜菜果胶复合凝胶的主要分子作用力是疏水作用。
3. 钙离子可以改变大米谷蛋白凝胶的二级结构。
4. 钙离子(50-200mm)能促进大米谷蛋白凝胶形成更均匀的网络结构。
5. 钙离子(50~200mm)可以改善大米谷蛋白凝胶的凝胶性能。
参考文献
https://doi.org/10.1016/j.foodchem.2020.128
文章来源“食品加 智食科技”微信公众号,点击下方“阅读原文”获取文章信息。
食品工业科技微信投稿平台:
https://www.wjx.cn/jq/96892133.aspx




