微酸性电解水对多酚氧化酶及黑色素产生的抑制及其作用机制
导 读
2022年10月17日,新国大食品科学与工程系的何芸、 Isaac Yeo、 郭晨曦、开翼、逯与运和杨宏顺*(通讯作者)在Food Chemistry (Q1,IF:9.231)发表题为 “Elucidating the inhibitory mechanism on polyphenol oxidase from mushroom and melanosis formation by slightly acid electrolysed water” 的研究文章。
多酚氧化酶(PPO)是水果、海鲜和蔬菜中常见的一种酶。所有PPO均含有各由6个组氨酸分子连接的双核铜活性中心。其主要参与水果和蔬菜的褐变以及虾的黑点形成过程,影响食品的感官品质和营养价值。在之前的研究中发现,微酸性电解水可有效抑制水果的褐变以及虾中黑点的形成,但是其作用机制尚不清楚。本研究利用酶抑制动力学,荧光光谱,圆二光谱以及分子对接揭示微酸性电解水对多酚氧化酶的抑制原理,并利用UHPLC- Q-TOF-MS进一步探讨微酸性电解水对黑色素形成过程的调控作用。这项研究揭示了微酸性电解水对调控酶促褐变以及黑色素的潜力。
研究亮点
微酸性电解水对PPO表现出混合型抑制。
微酸性电解水中的主要成分次氯酸与PPO主要以氢键方式结合,使其二级结构发生改变。
次氯酸与PPO的活性位点结合从而抑制了其酶活。
微酸性电解水处理抑制了形成黑色素相关化合物的产生。
研究结论
本研究通过多光谱和质谱分析方法阐明了微酸性电解水抑制黑色素形成的潜在机制。
酶抑制动力学分析表明微酸性电解水中的主要成分次氯酸对PPO表现出可逆混合型抑制,降低了其对底物的亲和性。荧光光谱,圆二光谱和分子对接结果表明次氯酸与PPO的结合主要是由氢键驱动的自发过程,其与位于PPO活性位点口袋内的氨基酸残基以−2.3 kcal/mol的结合能结合,使PPO的二级结构由α-螺旋向β-片状转变,通过避免底物的进入从而抑制PPO活性。
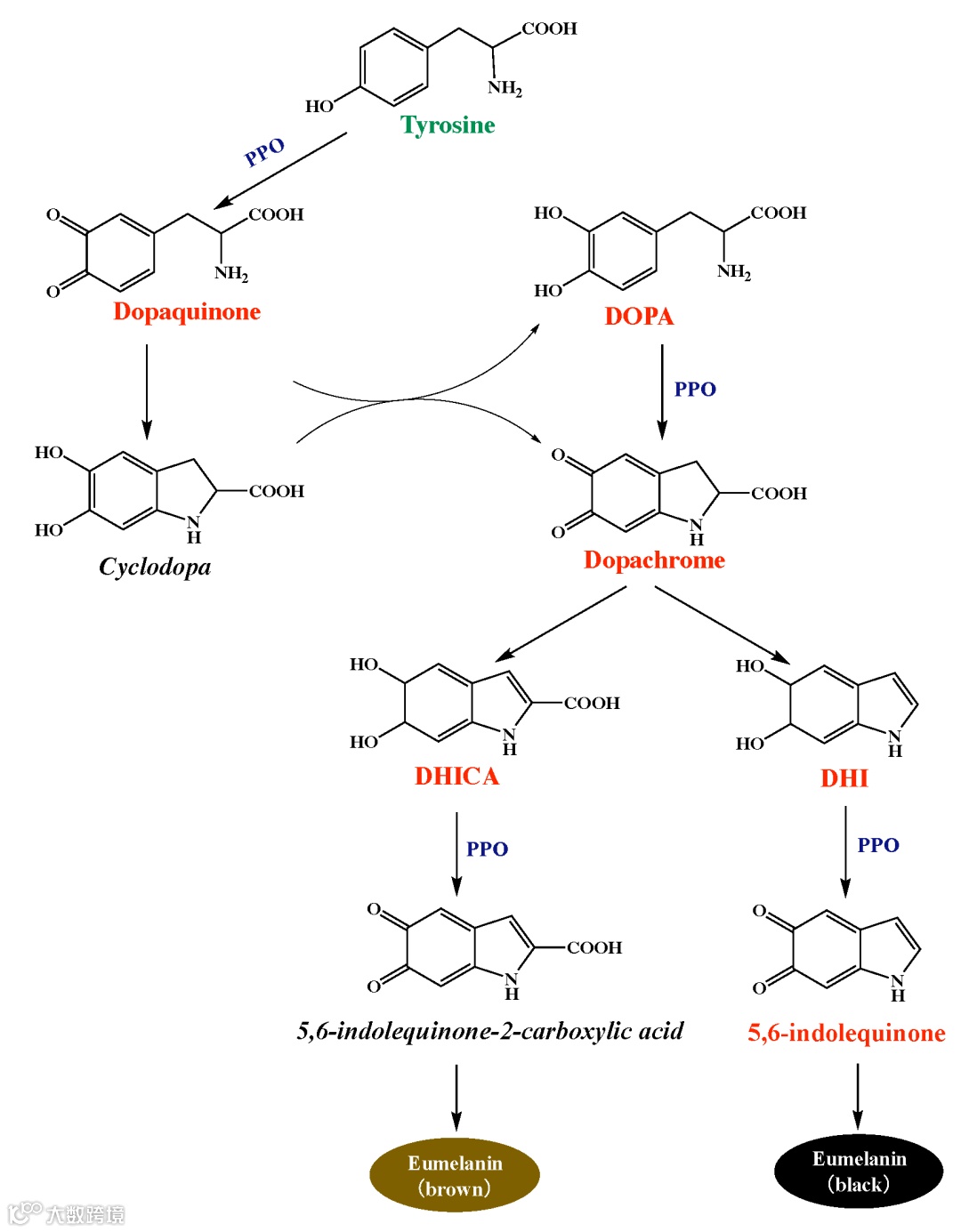
此外,微酸性电解水的加入抑制了PPO催化形成的一系列与黑色素相关产物如多巴 (DOPA),多巴醌,多巴色素,5,6-二羟基吲哚-2-羧酸(DHICA), 5,6-二羟基吲哚(DHI), 5,6-吲哚醌的产生。
这些结果为微酸性电解水调控酶促褐变及黑色素生成提供了更深入的认识,并进一步证明了微酸性电解水在食品保鲜方面的应用潜力。
图文赏析
图1 微酸性电解水对多酚氧化酶(PPO)的抑制行为。
图2 不同有效氯浓度的微酸性电解水处理下的PPO荧光发射光谱 (A);不同温度下微酸性电解水处理的PPO的双对数回归图(B)和微酸性电解水对PPO的三维荧光光谱的影响 (C-D)。
图3 不同有效氯浓度的微酸性电解水处理下的PPO的圆二色谱图 (A)和次氯酸与PPO的对接模式 (B)。
图4 基于UPLC-MS的微酸性电解水对黑色素形成的调控机制。注: 绿色和红色分别代表与对照组相比该化合物浓度的升高和降低。
何 芸
何 芸,新加坡国立大学食品科学与工程系杨宏顺课题组在读博士,研究方向为水产品的微生物安全和腐败调控等。获2021年度IFT水产品分会研究生竞赛一等奖。
杨宏顺
杨宏顺,新加坡国立大学食品科学与工程系副教授、博士生导师;兼任新国大苏州研究院高级研究员。国际食品科技杂志LWT-Food Science and Technology副主编 (Editor),Journal of Food Science副主编 (Associate Editor),International Journal of Agricultural and Biological Engineering分组编辑 (Section Editor), Food Quality and Safety分组总编(Section Editor-in-Chief). Foods等杂志编委。研究方向是食品加工、安全工程与组学,获2018和 2019年度Publons同行评审奖,2021年度美国食品科技学会IFT Tanner奖,2019和2020年度IFT水产食品分会研究生竞赛评委会主席,2021-2022年度IFT水产食品分会主席。2022-2023年度IFT冷藏冷冻食品分会研究生竞赛评委会主席。2022国际食品科学技术联盟IUFoST竞赛和学生/年轻科学家事务委员会(Competitions & Students/Young Scientists Event)主席。主持百事全球营养基金、新加坡国家研究基金、金龙鱼营养与安全基金等,发表SCI论文170多篇。
原文链接
https://doi.org/10.1016/j.foodchem.2022.134580
2022年11月16日前免费全文链接
https://authors.elsevier.com/c/1fwxm16Ds1sERC
① 长按二维码 或 ② 点击左下角“阅读原文”










