导 读
成果亮点
在中国白酒发酵过程中发现了20种关键的风味化合物。
构建了一个合成微生物群落来发酵生产20种关键的风味化合物。
通过调控合成微生物群落结构对风味化合物谱进行了调控。
构建了连接合成微生物群落结构与风味化合物谱的模型。
该模型可用于调控白酒发酵中的风味化合物谱。
成果介绍
大多数传统的发酵食品是通过自然发酵产生的。要生产出具有理想风味的传统发酵食品是很困难的。该研究以中国白酒发酵为例,旨在通过构建合成微生物群落定向调控食品发酵中的风味化合物谱(决定白酒品质的重要因素)。
在80个中国白酒发酵过程中发现了20种关键风味化合物。六种微生物菌株被鉴定为这些关键风味化合物的高生产者,被用来构建最小的合成微生物群落。该研究建立了一个数学模型,将最小合成微生物群落的结构与这些关键风味化合物谱联系起来。
在该模型中,只需通过输入预期的风味化合物谱(包括关键风味化合物的种类和浓度,兼顾关键风味化合物的量比关系),可获得3个输出项:(1)用于生产预期风味化合物谱的合成微生物群落的最佳结构;(2)采用该最佳结构的合成微生物群落生产的实际风味化合物谱;(3)实际风味化合物谱与预期风味化合物谱的相似度。
该研究采用随机生成的1000组预期风味化合物谱测试模型有效性,实际产生的风味化合物谱与预期风味化合物谱平均相似度达93.66%,其中861组产生的风味化合物谱与预期风味化合物谱相似度高于90%。
综上所示,这项工作提供了一种控制白酒品质的策略,通过模型获得的合成微生物群落结构可实现白酒发酵风味化合物谱(风味化合物种类、浓度与量比关系)的定向调控,该研究为中国白酒的智能制造以及“DIY”白酒生产提供理论与技术基础。
图文赏析
图1. 中国白酒生产中对风味化合物谱的定向调控示意图。
图 2. 中国白酒发酵中的二十种关键风味化合物。
图 3. 采用高通量筛选方法筛选高产风味化合物的菌株。
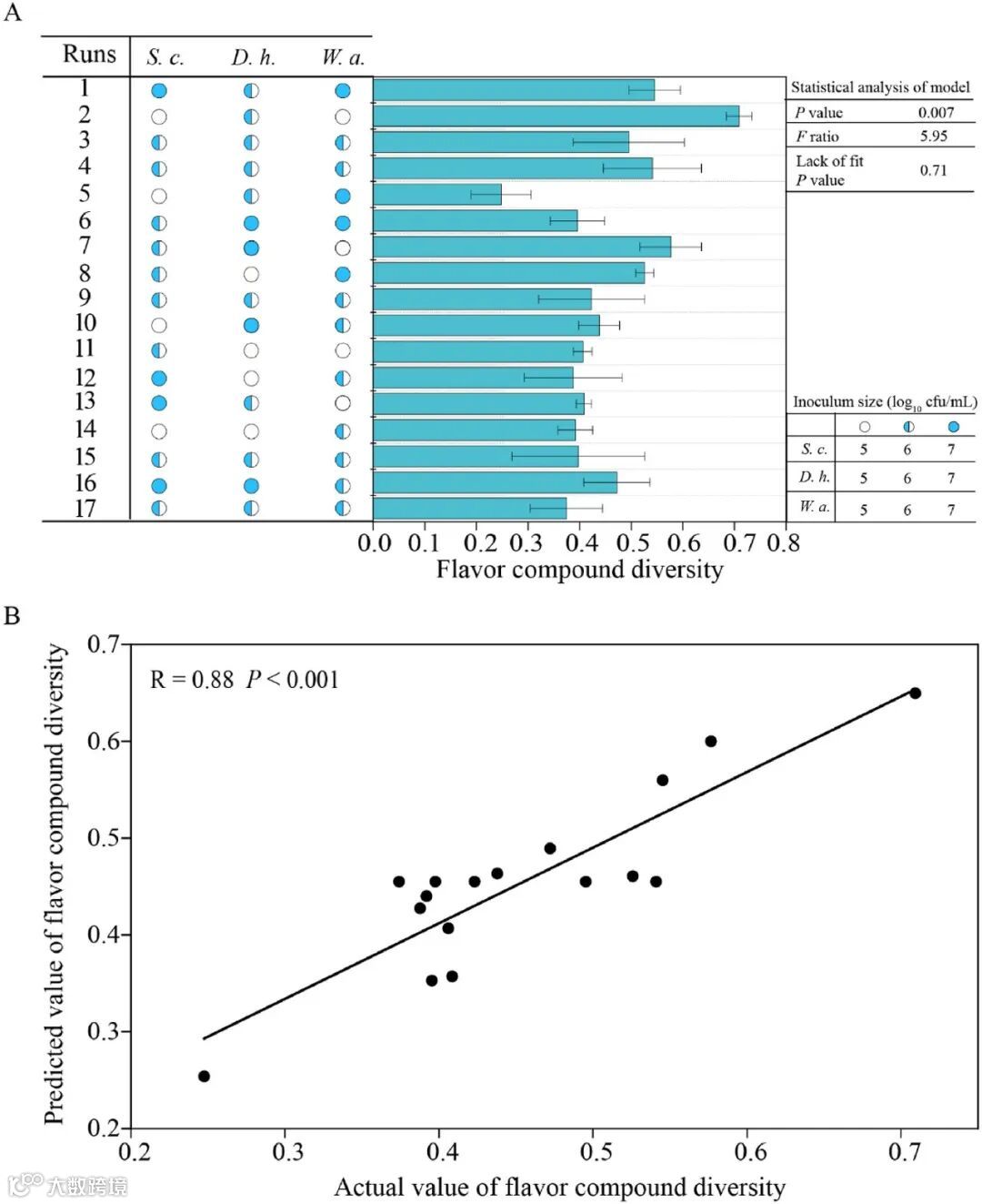
图 4. 通过控制合成微生物群落的结构来调控风味化合物的多样性。
图 5. 定向调控风味化合物谱。
原文链接
https://doi.org/10.1016/j.fm.2023.104305
① 长按二维码 或 ② 点击左下角“阅读原文”
《食品工业科技》特邀主编专栏征稿
群聊:食品工业科技作者群

温
馨
提
示
我刊正式组建微信作者群,为作者提供更多的学术与论文资讯,如需进群,请联系刘老师(微信:上方二维码,电话:87244117-8062)。









