EI收录,
入选中国科技期刊卓越行动计划
延边大学农学院,延边大学药学院的邢艺缤,王馨悦,王慕尧,齐欣,崔承弼等人介绍了人参不定根总皂苷的提取工艺优化及其抗氧化与抗疲劳作用的研究。通过单因素实验和正交试验优化提取条件,评估了GARS的抗氧化活性和抗疲劳效果,为GAR资源的开发利用提供了理论基础,并为其作为抗氧化剂和功能性食品的开发提供了参考。

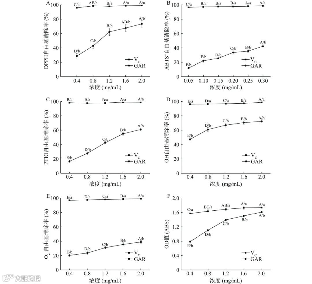
Abstract: Objective: To investigate the optimal extraction process and antioxidant and anti-fatigue activities of ginseng adventitious roots total saponins (GARS). Methods: GARS was extracted using ethanol reflux method, and the effects of different factors such as ethanol concentration, solvent-to-solid ratio, extraction temperature, and extraction time on the content of GARS were studied by orthogonal test. The antioxidant and anti-fatigue activities of GARS were determined by measuring the scavenging abilities of DPPH, ABTS+, PTIO, ·OH, and O2−·, as well as the reducing power. The effects of GARS on the swimming and climbing times of mice, the contents of muscle/gallbladder glycogen, lactate (LD), and urea nitrogen (BUN) were determined to evaluate its anti-fatigue ability. Results: The optimal extraction conditions were ethanol concentration of 70%, solvent-to-solid ratio of 1:30 g/mL, extraction temperature of 70 ℃, and extraction time of 40 min, with a GARS content of 107.85 mg/g. GARS showed significant antioxidant and anti-fatigue activities, with its antioxidant and reducing power being positively correlated with its concentration. GARS significantly prolonged the swimming and climbing times of mice (P<0.05), increased the contents of muscle/gallbladder glycogen (P<0.05), decreased the levels of LD and BUN, and increased the activity of lactate dehydrogenase (LDH), indicating its anti-fatigue ability. Conclusion: The optimal extraction process of GARS was ethanol reflux method with ethanol concentration of 70%, solvent-to-solid ratio of 1:30 g/mL, extraction temperature of 70 ℃, and extraction time of 40 min. GARS showed significant antioxidant and anti-fatigue activities, which can support the development of ginseng adventitious roots as a food or health supplement ingredient.

图 1 乙醇浓度(A)、料液比(B)、提取温度(C)和提取时间(D)对总皂苷含量的影响
Figure 1. Effects of ethanol concentration (A), solvent-to-solid ratio (B), extraction temperature (C), and extractiontime (D) on the total saponin content
注:不同字母表示差异显著(P<0.05)。



图 2 人参不定根总皂苷的抗氧化活性的测定结果
Figure 2. Determination results of antioxidant activity of GARS
注:不同小写字母表示相同浓度不同样品之间差异显著(P<0.05);不同大写字母表示同一样品不同浓度之间差异显著(P<0.05)。




引用本文:邢艺缤,王馨悦,王慕尧,等. 人参不定根总皂苷的提取工艺优化及其抗氧化与抗疲劳作用[J]. 食品工业科技,2024,45(6):193−201. doi: 10.13386/j.issn1002-0306.2023050180.
Citation: XING Yibin, WANG Xinyue, WANG Muyao, et al. Process Optimization of Total Saponins from Adventitious Roots of Ginseng and Their Antioxidant and Anti-fatigue Effects[J]. Science and Technology of Food Industry, 2024, 45(6): 193−201. (in Chinese with English abstract). doi: 10.13386/j.issn1002-0306.2023050180.
基金项目:长白山人参系列功能性化妆品的研究与开发(2023C037-8)。

通信作者简介


崔承弼,博士,教授,硕士研究生导师,研究方向:功能保健食品与民族特色食品的研究与开发。 近五年发表科研论文30余篇,申报专利10项,授权2项。获得吉林省自然科学学术成果奖 二等奖。担任中国原子能农学会常务理事、中国食品科学技术学会理事、吉林省食品学会常务理事(兼民族食品加工委员会副主任)、吉林省营养学会常务理事(兼副秘书长)、吉林省微量元素科学研究会常务理事、吉林省微量元素科学研究会硒研究与应用专业委员会 主任委员、延边营养学会副理事长(兼秘书长)等。
(以上信息来自延边大学农学院官网)
本文内容由《食品工业科技》官网www.spgykj.com AI自动生成,欢迎点击阅读原文,获取原文进一步深读。
食品科学家论文汇总
(点击专家姓名,查看论文)
《食品工业科技》特邀主编专栏征稿
《食品工业科技》青年编委专栏征稿:咖啡、可可、茶等特色饮料作物加工 ☚
《食品工业科技》客座主编专栏征稿:植物基食品原料基础研究、前沿技术创新及其健康绿色产品开发☚
《食品工业科技》客座主编专栏征稿:地方特色食品:加工技术、感官品质、风味特性和营养健康
群聊:食品工业科技作者群

温
馨
提
示
我刊正式组建微信作者群,为作者提供更多的学术与论文资讯,如需进群,请联系刘老师(微信:上方二维码,电话:87244117-8062)。

版权声明


