主要探讨了元宝枫种仁多糖(PATM)的提取、纯化、结构表征及其降糖活性。通过单因素实验和响应面分析优化了提取工艺,确定了最佳提取条件。纯化过程中,PATM通过DEAE-纤维素52阴离子交换柱和SephadexG-100凝胶层析柱进行分离,得到高纯度多糖。结构表征显示PATM-3-1为酸性杂多糖,具有典型的多糖官能团和三股螺旋结构。降糖活性研究表明,PATM-3-1能有效抑制α-淀粉酶活性,并改善胰岛素抵抗HepG2细胞的葡萄糖代谢,增强己糖激酶和丙酮酸激酶活性。

图 1 提取次数对PATM得率的影响
Figure 1. Effect of extraction times on the yield of PATM
注:小写字母不同表示不同处理组之间差异显著(P<0.05),图2~图4同。

图 2 提取温度对PATM得率的影响
Figure 2. Effect of extraction temperature on the yield of PATM

图 3 提取时间对PATM得率的影响
Figure 3. Effect of extraction time on the yield of PATM

图 4 液固比对PATM得率的影响
Figure 4. Effect of liquid-solid ratio on the yield of PATM

图 5 DEAE-纤维素52阴离子交换柱纯化PATM
Figure 5. Purification of PATM by DEAE-Cellulose 52 anion exchange column

图 6 SephadexG-100凝胶柱纯化PATM-3
Figure 6. Purification of PATM-3 by SephadexG-100 gel column

图 7 单糖标准品(A)和PATM-3-1(B)的色谱图
Figure 7. Chromatograms of monosaccharide standard (A) and PATM-3-1 (B)
注:1. L-岩藻糖;2. D-氨基半乳糖;3. L-鼠李糖;4. L-阿拉伯糖;5. D-氨基葡萄糖;6. D-半乳糖;7. D-葡萄糖;8. D-木糖;9. D-甘露糖;10. D-果糖;11. D-核糖;12. D-半乳糖醛酸;13. L-古罗糖醛酸;14. D-葡萄糖醛酸;15. D-甘露糖醛酸。

图 8 PATM-3-1红外光谱图
Figure 8. Infrared spectrogram of PATM-3-1

图 9 PATM-3-1 的TG-DTG 曲线
Figure 9. TG-DTG curve of PATM-3-1

图 10 PATM-3-1在不同 NaOH 浓度下最大吸收波长变化
Figure 10. Maximum absorption wavelength of PATM-3-1 under different NaOH concentrations

图 11 不同质量浓度的PATM-3-1对α-淀粉酶的抑制率
Figure 11. α-Amylase inhibition rate of different mass concentration of PATM-3-1

图 12 胰岛素抵抗HepG2细胞模型
Figure 12. Insulin-resistant HepG2 cell model (IR-HepG2)
注:小写字母不同表示不同处理组之间差异显著(P<0.05),图13~图15同。

图 13 不同质量浓度的PATM-3-1对HepG2细胞存活率的影响
Figure 13. Effect of different mass concentration of PATM-3-1 on the survival rate of HepG2 cells

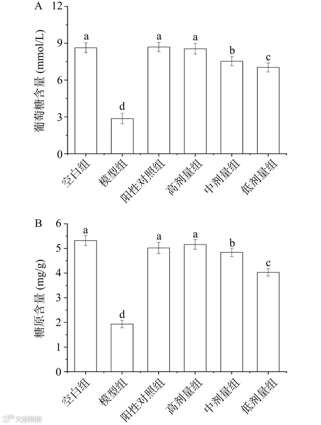
图 14 不同质量浓度的PATM-3-1对IR-HepG2细胞葡萄糖含量(A)和糖原含量(B)的影响
Figure 14. Effects of different mass concentration of PATM-3-1 on glucose content (A) and glycogen content (B) in IR-HepG2 cells

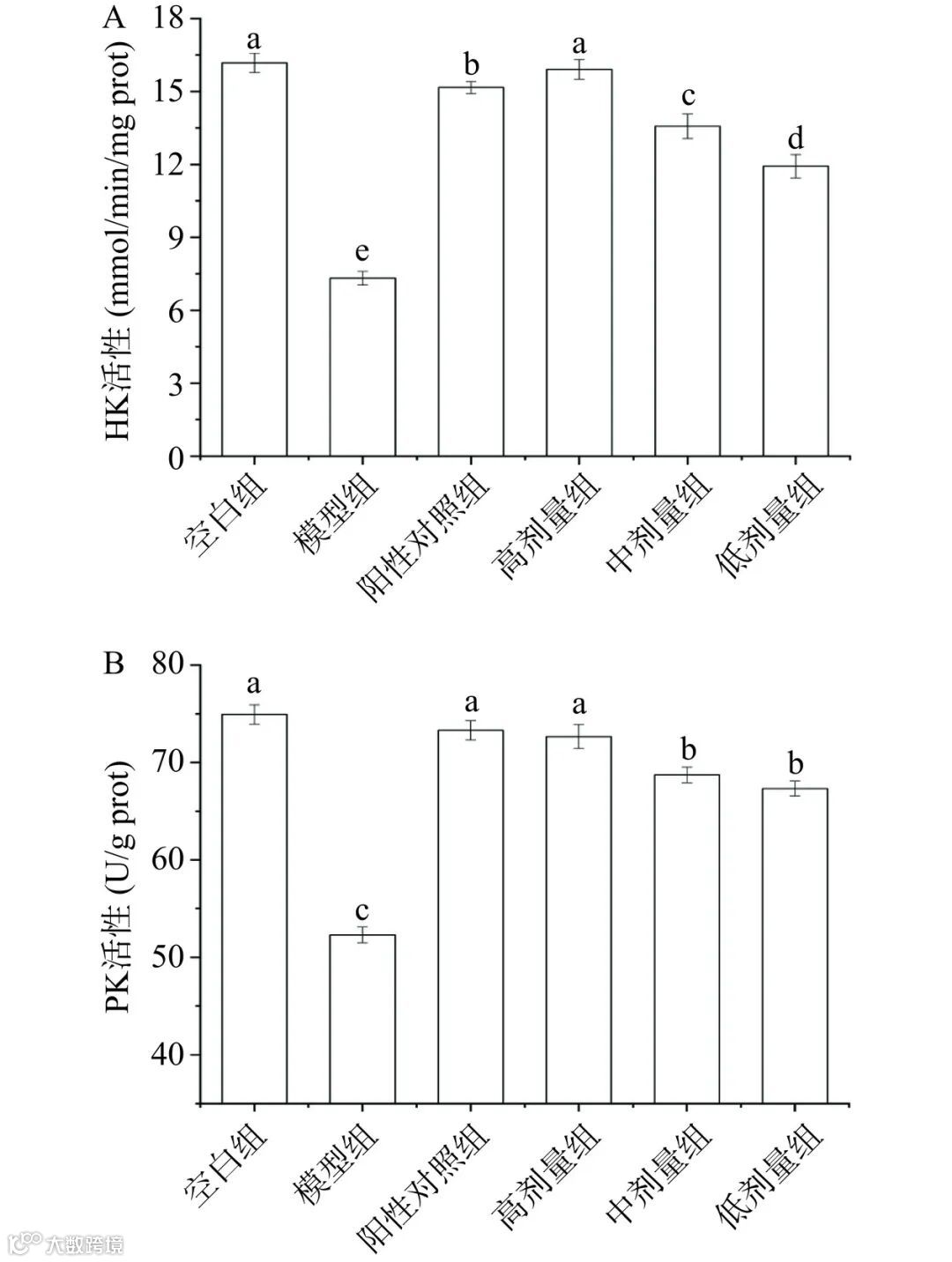
图 15 不同质量浓度的PATM-3-1对IR-HepG2细胞HK活性(A)和PK活性(B)的影响
Figure 15. Effects of different mass concentration of PATM-3-1 on HK activity (A) and PK activity (B) in IR-HepG2 cells
图 15 不同质量浓度的PATM-3-1对IR-HepG2细胞HK活性(A)和PK活性(B)的影响
Figure 15. Effects of different mass concentration of PATM-3-1 on HK activity (A) and PK activity (B) in IR-HepG2 cells



引用本文:米圣成,徐晓杰,魏菱鸽,等. 元宝枫种仁多糖提取纯化、结构表征以及降糖活性研究[J]. 食品工业科技,2024,45(8):29−38. doi: 10.13386/j.issn1002-0306.2023080038.
Citation: MI Shengcheng, XU Xiaojie, WEI Lingge, et al. Study on Extraction, Purification, Structure Characterization and Hypoglycemic Activity of the Seed Kernel Polysaccharide from Acer truncatum Bunge[J]. Science and Technology of Food Industry, 2024, 45(8): 29−38. (in Chinese with English abstract). doi: 10.13386/j.issn1002-0306.2023080038.
基金项目: 黑龙江省重点基金项目(ZD2021C001)。
本文内容由《食品工业科技》官网www.spgykj.com AI自动生成,欢迎点击阅读原文,获取原文进一步深读。
食品科学家论文汇总
(点击专家姓名,查看论文)
《食品工业科技》特邀主编专栏征稿
《食品工业科技》青年编委专栏征稿:咖啡、可可、茶等特色饮料作物加工 ☚
《食品工业科技》客座主编专栏征稿:植物基食品原料基础研究、前沿技术创新及其健康绿色产品开发☚
《食品工业科技》客座主编专栏征稿:地方特色食品:加工技术、感官品质、风味特性和营养健康
群聊:食品工业科技作者群

温
馨
提
示
我刊正式组建微信作者群,为作者提供更多的学术与论文资讯,如需进群,请联系刘老师(微信:上方二维码,电话:87244117-8062)。

版权声明


