EI收录,
入选中国科技期刊卓越行动计划
本文获国家大豆产业技术体系(CARS-04-PS32)。
东北农业大学食品学院的袁兵兵,赵贺开,闫世长,李杨等人重点介绍了蛋白质纳米纤维(PNFs)的形成机制、结构特征及其功能特性,并探讨了金属离子(如Na⁺和Ca²⁺)对纤维化过程及形貌的影响。文章以大豆分离蛋白(SPI)为研究对象,在酸热条件下通过添加NaCl和CaCl₂,研究这两种常见金属盐对大豆蛋白纳米纤维形成过程、结构调控和形貌变化的机制,旨在实现纤维结构的可控调节,为大豆蛋白纳米纤维在食品中的应用提供理论依据。
图 1 NaCl和CaCl2存在下SPIF的ThT荧光强度(a)及其拟合生长曲线(b)随加热时间的变化
Figure 1. Changes in ThT fluorescence intensity (a) and the corresponding fitted growth curve (b) of SPIF as a function of heating time in the presence of NaCl and CaCl2
图 2 NaCl和CaCl2存在下的SPI纤维化过程中的SDS-PAGE凝胶电泳图像及利用Image J软件对电泳条带进行光密度分析得到的光密度曲线
Figure 2. SDS-PAGE images of SPI during fibril formation in the presence of NaCl and CaCl2 and the optical density curves obtained from the analysis of electrophoresis bands using Image J software
注:A和D:SPIF;B和E:SPIF-NaCl;C和F:SPIF-CaCl2。
图 3 NaCl和CaCl2存在下SPI纤维化过程中平均粒径的变化(A)及凝胶化过程(B)
Figure 3. Changes in mean particle size (A) and gelation process (B) during SPI fibrillation in the presence of NaCl and CaCl2
注:图中从左到右分别为加热至0、1、2、4、8、12和24 h的样品,不同小写字母表示不同样品存在显著差异(P<0.05)。
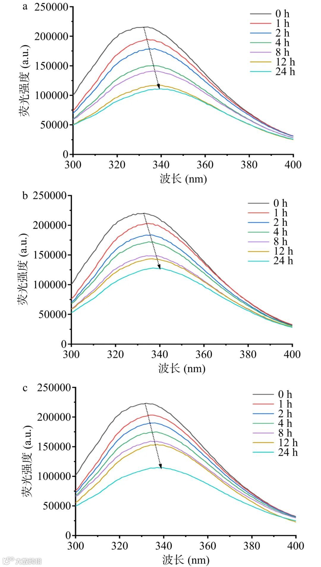
图 4 NaCl和CaCl2存在下大豆分离蛋白纤维化过程中SPI的内源荧光光谱
Figure 4. Endogenous fluorescence spectra of samples during fibrillation of SPI in the presence of NaCl and CaCl2
注:a:SPIF;b:SPIF-NaCl;c:SPIF-CaCl2。
图 5 NaCl与CaCl2存在下大豆分离蛋白纤维化过程中SPI的ANS荧光光谱及其表面疏水性的变化
Figure 5. Changes in the ANS fluorescence spectra and surface hydrophobicity of SPI during its fibrillation in the presence of NaCl and CaCl2
注:A:SPIF;B:SPIF-NaCl;C:SPIF-CaCl2;D:表面疏水性;不同小写字母表示不同样品存在SPI显著差异(P<0.05)。
图 6 NaCl和CaCl2存在下大豆分离蛋白纤维化过程中游离巯基含量的变化
Figure 6. Free sulfhydryl content of SPI during fibrillation in the presence of NaCl and CaCl2
注:不同小写字母表示不同样品存在显著差异(P<0.05)。
图 7 NaCl和CaCl2诱导的大豆分离蛋白纤维的圆二色谱图
Figure 7. CD spectra of SPIF induced by NaCl and CaCl2
图 8 NaCl和CaCl2诱导的大豆分离蛋白纤维的透射电镜图像(500 nm)
Figure 8. TEM images of SPIF induced by NaCl and CaCl2 (500 nm)
表 1 NaCl和CaCl2存在下SPIF生长过程中的微观速率常数
Table 1 Fitted microscopic rate constants of SPIF growing in the presence of NaCl and CaCl2
表 2 NaCl和CaCl2诱导的大豆分离蛋白纤维的二级结构含量
Table 2 Secondary structure proportions of SPIF induced by NaCl and CaCl2
重点总结了NaCl和CaCl对大豆分离蛋白(SPI)纤维化过程的影响。研究表明,这两种盐能显著提高纤维生长速率,促进纤维形成并调节形貌。在初期阶段,它们促进SPI水解,增加游离巯基和表面疏水性,减小粒径,缩短迟滞期;中后期则提高成核速率,促使纤维缠绕形成团簇结构。CaCl₂因离子特性比NaCl效果更显著。研究为SPI纤维在食品中的应用提供了理论依据,但功能特性和实际应用仍需进一步探讨。
引用本文:袁兵兵,赵贺开,闫世长,等. NaCl和CaCl2对大豆蛋白纤维生长过程及形貌的影响[J]. 食品工业科技,2025,46(22):52−60. doi: 10.13386/j.issn1002-0306.2024090330.
Citation:YUAN Bingbing, ZHAO Hekai, YAN Shizhang, et al. Effects of NaCl and CaCl2 on the Growth Process and Morphology of Soy Protein Isolate Fibrils[J]. Science and Technology of Food Industry, 2025, 46(22): 52−60. (in Chinese with English abstract). doi: 10.13386/j.issn1002-0306.2024090330.
通信作者简介
李杨,男,中共党员,东北农业大学食品学院博士研究生导师,国家大豆工程技术研究中心执行主任,国家科技部中青年科技创新领军人才,国家“万人计划”科技创新领军人才,国家“万人计划”青年拔尖人才,霍英东教育基金会青年教师基金获得者,黑龙江省杰出青年基金获得者 ,黑龙江省青年科技奖获得者 ,东北农业大学“杰出学者”、“学术骨干”、“青年才俊”;东北农业大学“青年五四奖章”获得者;东北农业大学科研先锋岗 。2007年以来,一直从事粮食、油脂及植物蛋白方向的研究工作 。公开发表SCI检索论文173篇,第一/通讯作者身份发表136篇,作为通讯作者发表ESI高被引论文10篇。
(以上信息来自网络)
《食品工业科技》特邀主编专栏征稿
《食品工业科技》特邀主编专栏征稿:果蔬基料制造:基础理论,新型加工、质量控制与智能制造☚
《食品工业科技》特邀主编专栏征稿:
☚
群聊:食品工业科技作者群
温
馨
提
示
我刊正式组建微信作者群,为作者提供更多的学术与论文资讯,如需进群,请联系刘老师(微信:上方二维码,电话:87244117-8062)。
版权声明

