EI收录,
入选中国科技期刊卓越行动计划
本文获国家自然科学基金青年项目(32202564)。
摘要
蛋白-多糖复合物可以作为包埋体系的壁材,在递送生物活性成分过程中提高其活性和生物利用度。本研究采用反溶剂沉淀法制备玉米醇溶蛋白(Zein)-桃胶多糖(Peach gum polysaccharides,PGP)纳米颗粒,通过多种表征手段,详细分析了Zein-PGP纳米颗粒的互作机制和微观结构,并对Zein-PGP复合物的抗氧化性能和稳定性进行了评价。结果表明,Zein与PGP形成纳米颗粒的主要作用力为氢键和疏水相互作用,这两种力提升了复合物的稳定性,且PGP的加入显著增强了复合物的自由基清除能力(P<0.05)。当Zein:PGP质量比为1:1时,纳米颗粒具有较好的稳定性,其粒径、PDI和电位分别为156.73±5.17 nm、0.15±0.01和−31.43±0.44 mV,复合物的α-螺旋、β-折叠及β-转角相对含量分别为45.0%、12.0%、15.0%,同时PGP的加入能淬灭Zein的内源性荧光。本研究不仅为Zein和PGP的综合利用提供了新思路,也为Zein-PGP纳米颗粒在食品领域递送生物活性成分的应用提供了理论依据。
结果与分析
2.1 Zein-PGP 纳米颗粒的结构性质表征


圆二色光谱是一种研究蛋白质二级结构的灵敏快速方法,圆二色光谱已被用于表征玉米醇溶蛋白的结构,并帮助其构建结构模型。圆二色光谱图中的峰值位置提供了样品的二级结构信息,通常 α-螺旋结构在 208 和 222 nm 处会出现负峰,而 β-折叠结构在 210~220 nm 处会出现正峰,通过观察这些峰值位置的变化,可以推测蛋白质二级结构的变化。由图 3(a)可以看出,单一 Zein 的圆二色光谱图在 209 nm 和 223 nm 附近有两个负峰,在 202 nm 处具有一个零交叉点,这表明 Zein 具有富含 α-螺旋的结构特征,这与郭浩等的研究结果一致。添加 PGP 后,Zein 蛋白的光谱峰值发生不同程度的偏移,尤其是在 209 nm 和 223 nm 处的曲率绝对值显著变化,同时峰值强度也发生了变化,表明多糖的加入影响了 Zein 的蛋白构象,导致其二级结构比例发生了改变。这是由于 Zein 和 PGP之间具有分子相互作用力,多糖的作用改变了蛋白质的基团,打破了维持 α-螺旋结构的静电平衡。图 3(b)为 Zein-PGP 复合物的二级结构占比图。Zein 蛋白约含 32% α-螺旋、18% β-折叠、17% β-转角和 36% 无规则卷曲,这与陈改亭等的研究结果相似。当 Zein-PGP 的质量比为 5:1 时,Zein 的 α-螺旋相对含量下降至 28%,β-折叠相对含量增加至19%,无规则卷曲增加至 37%,β-转角变化较小,这与 Zein-PGP 的质量比为 1:5 时的结果相似。当Zein-PGP 的质量比为 2:1、1:1 和 1:2 时,Zein 的α-螺旋结构相对含量分别上升至 43%、 45% 和48%,而无规则卷曲相对含量逐渐减少,表明其二级结构变得更加有序。圆二色光谱的结果进一步证明了 Zein 与 PGP 之间的相互作用。

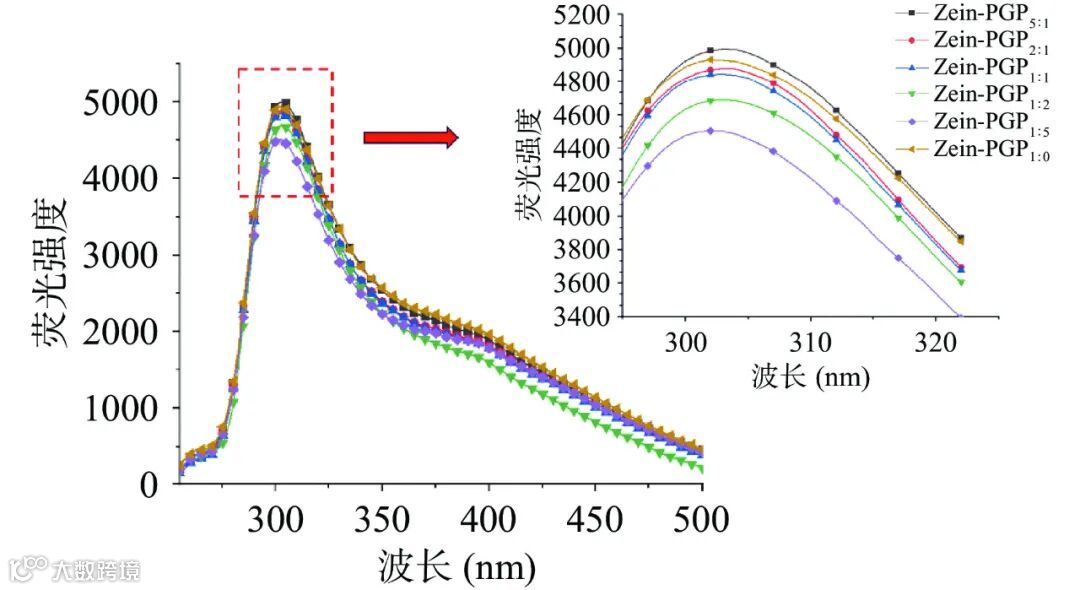
蛋白质的荧光基团对微环境的变化较敏感,因此荧光光谱成为研究分子间相互作用的重要工具。蛋白质内部的酪氨酸(Trp)、色氨酸(Tyr)和苯丙氨酸(Phe)均具有天然荧光,这些残基在特定波长的激发下会发出荧光。其中,Trp 的最大发射峰位于 348 nm,Phe 在 282 nm,Tyr 在 303 nm,且荧光强度为 Trp>Tyr>Phe。由于 Zein 中 Trp 含量较低且 Phe 的量子产率低,因此直接检测这两种氨基酸的荧光较为困难,然而 Zein 含有高水平 Tyr 残基,且该残基在 280 nm 波长的激发下能够产生荧光。因此,本实验选择 280 nm 作为激发波长,以测定 Zein 的内源性荧光,并分析 PGP 的加入对蛋白内源性荧光强度的影响,进而探究两者的结合方式。
图 4 为不同质量比 Zein-PGP 复合物的内源性荧光光谱结果。结果显示,Zein 的最大吸收峰位于304 nm 处,且蛋白的荧光强度较强,这一结果符合玉米醇溶蛋白的基本性质。随着 PGP 含量的增加,Zein 的荧光强度先上升随后逐渐下降。研究表明,芳香族氨基酸通常位于蛋白质的疏水核心中,当蛋白质结构发生伸展时,位于疏水核心的 Tyr 残基可能会被暴露出来。当 Zein-PGP 质量比为 5:1 时,复合物的荧光强度略高于单一 Zein,这可能是由于PGP 的加入使得蛋白结构发生部分展开,更多 Tyr残基暴露在溶液中,但此时 PGP 与蛋白质的结合并不多,从而导致荧光强度反而增加,类似的现象也出现在 Rasheed 等的研究中。同时,刘雪琼的研究也发现,玉米醇溶蛋白与壳聚糖复合物在超声处理后荧光强度增加,表明超声处理改变了复合物中Zein 的空间构象,使得更多的疏水和极性基团暴露在空间中。随着 PGP 含量的继续增加,复合物的荧光强度逐渐减弱,这可能是由于高浓度的 PGP 分子间发生交联作用,导致蛋白质与多糖形成的复合物聚集更为明显。结果表明,PGP 与 Zein 的相互作用改变了蛋白质中 Tyr 残基所处的微环境,并能猝灭其内源荧光。

扫描电镜结果如图 5 所示,该结果直观反映了样品的表面形貌和微观结构。研究发现,Zein 颗粒和 Zein-PGP 纳米颗粒均呈现典型的球状结构,该结果与之前的研究相一致,例如 Zein 与果胶、表没食子儿茶素没食子酸酯、没食子酸等物质复合时也形成了球形的纳米颗粒。单一 Zein 颗粒的分布相对均匀,但由于颗粒间相互连接,导致颗粒表面有一定程度的粘连现象,这是因为单一 Zein 颗粒具有高疏水性,疏水相互作用促使微粒之间发生聚集。

从扫描电镜的图像中可以清晰地观察到,Zein-PGP 纳米颗粒形成了比 Zein 颗粒更大的聚集体。当Zein-PGP 质量比为 5:1 或 2:1 时,纳米颗粒呈现不规则聚集体并形成了网络状结构,这可能是由于Zein 与 PGP 之间的相互作用减弱了 Zein 颗粒的表面疏水性,且静电斥力的增强使得复合物的结构更为紧凑,颗粒大小更均一,表面也更加光滑。当 Zein-PGP 质量比为 1:1 时,纳米颗粒彼此独立,网络结构紧密,这是由于静电斥力和空间位阻效应的增强而导致颗粒的聚集减少。当 PGP 的添加量较高时(如Zein-PGP 质量比为 1:2 和 1:5),纳米颗粒被紧紧包裹,这可能是由于过量的多糖分子包裹在 Zein 颗粒表面,并且多糖分子间的相互作用力使得颗粒相互黏附。相似的结果也在 Chen 等的研究中得到证实,过量的透明质酸(Hyaluronic acid,HA)分子引起的分子间交联作用使得 Zein-HA 纳米颗粒被包裹在网状结构中。
本研究通过分析粒径、PDI 和 Zeta-电位参数,探讨了单一 Zein 和Zein-PGP 复合物的粒径分布和稳定性。由图 6 可知,Zein 颗粒的平均粒径约为 100 nm,加入 PGP后,Zein-PGP 复合物的粒径介于 150~230 nm 之间,且其大小与 Zein 和 PGP 的质量比密切相关。当Zein-PGP 质量比为 5:1 时,复合物的平均粒径较大(211.74±2.72 nm)且 PDI 值较高,表明体系分散性较差,这可能是由于 PGP 含量较少不能完全覆盖 Zein颗粒进而导致蛋白间出现桥连絮凝现象,使得颗粒间发生聚集。该现象与梁晓等在玉米醇溶蛋白-多糖的纳米颗粒研究中的结果一致,Li 等在玉米蛋白-大豆多糖的相关研究中也发现了蛋白絮凝聚沉现象。随着 PGP 含量增加,复合物的平均粒径逐渐减小,当 Zein-PGP 质量比为 2:1 和 1:1 时,粒径分别为 203.07±1.51 nm 和 156.73±5.17 nm,PDI 值也相应降低,表明此时复合物溶液的均一性和稳定性得到了改善。Zeta-电位表征物质表面的电荷特性,一般用电位的绝对值大小判断微粒间离子作用的强弱,绝对值越大,溶液稳定性越好。Zeta-电位结果显示,Zein 颗粒带正电荷,加入 PGP 后,复合物带负电荷,表明 Zein 与 PGP 之间通过静电和非静电相互作用形成了稳定的复合物。随着 PGP 含量的增加,样品的表面电荷逐渐增加,静电斥力增强,使得纳米颗粒更紧密。当 Zein-PGP 质量比为 1:1 时,纳米颗粒的平均粒径达到最小值,PDI 值也最小(0.15±0.01),此时 Zeta-电位绝对值为−31.43±0.44 mV,表明 Zein-PGP1:1 纳米颗粒的分散性和稳定性最佳,这可能是由于复合物形成了包裹充分的壳-核结构,从而使得体系更加稳定。当 PGP 含量继续增加时(如 Zein-PGP1:2 和 Zein-PGP1:5),复合物的平均粒径反而增大至 166.47±5.66 nm 和 221.57±9.05 nm,这可能是因为过量的 PGP 分子相互交联,导致颗粒间发生聚集,从而增加复合物的粒径。刘钱媛在探究玉米醇溶蛋白-褐藻胶负载紫檀芪的研究中也报道了相似的变化趋势。综上所述,通过粒径、PDI 和电位的综合分析,当 Zein-PGP 的质量比为 1:1 时,所制备的复合物粒径最小且溶液最均一稳定,适用于后续 Zein-PGP纳米颗粒稳定性的研究。

本研究采用 DPPH 和ABTS+自由基清除法测定单一 Zein 与 Zein-PGP 复合物的抗氧化活性。图 7 结果显示,单一 Zein 的DPPH 自由基清除活性为 40.98%±1.21%,当 Zein-PGP 质量比为 5:1、2:1、1:1、1:2 和 1:5 时,DPPH清除率分别增加至 50.82%±0.65%、52.65%±0.54%、61.03%±0.96%、 62.78%±0.51% 和 50.53%±0.72%;对于 ABTS+自由基,单一 Zein 的清除率为 30.21%±0.98%,当 Zein-PGP 质量比为 5:1、2:1、1:1、1:2 和1:5 时,ABTS+自由基清除率分别提升至 44.41%±0.83%、 44.82%±0.95%、 45.17%±0.73%、 45.59%±1.31% 和 40.21%±0.60%。由此可见,PGP 的加入显著提高了复合物的抗氧化活性(P<0.05)。然而,当PGP 含量过高时(如 Zein-PGP1:5),抗氧化活性出现了下降,这可能是由于过高的多糖含量使得玉米醇溶蛋白与多糖分子之间产生拮抗作用并降低复合物的自由基清除能力。单一 Zein 颗粒虽然具有一定的抗氧化性,但其活性相对较弱,PGP 的加入能显著提高复合物的抗氧化效果,且当 Zein-PGP 质量比为1:1 和 1:2 时,纳米颗粒的抗氧化性最好。

本研究将 Zein-PGP1:1 复合物在 4 ℃ 条件下进行为期 28 d 的贮藏实验,以评价纳米颗粒的贮藏稳定性。如图 8 所示,随着贮藏时间的增加,复合物的粒径和 PDI 均呈现增大的趋势。在贮藏的前 14 d 内,Zein-PGP1:1 纳米颗粒的粒径由178.37±1.54 nm 增大至 199.23±2.85 nm,PDI 值也从 0.15±0.01 增加至 0.17±0.01,这可能是由于颗粒间的布朗运动引发相互碰撞,进而导致的轻微聚集现象。在贮藏后期(14~28 d),粒径和 PDI 的变化趋于稳定且无显著性差异(P>0.05),说明聚集现象在此阶段基本停止。电位绝对值在贮藏过程中变化较大,在第 28 d 时,其数值仍高于初始值(第 0 d),表明复合物之间的静电排斥依然有效,阻止了进一步的聚集。因此,Zein-PGP1:1 纳米颗粒在 4 ℃ 条件下具有良好的贮藏稳定性,其粒径、PDI 和电位值在贮藏后期趋于稳定,表明在此条件下该复合物体系能够保持较为稳定的物理形态。

Zein-PGP1:1 纳米颗粒的热稳定性研究结果如图 9 所示,在 30 ℃ 条件下,Zein-PGP1:1复合物的粒径最大,为 199.23±2.85 nm,当温度升高至 40 ℃ 时,粒径显著减小至 181.87±1.69 nm(P<0.05),Zein 和 PGP 结合更为紧密。在 40~60 ℃ 之间,复合物的粒径变化不大,说明在此温度范围内复合物结构较为稳定。然而,当加热温度升高至 70 ℃时,复合物的粒径增大至 185.80±1.10 nm,这可能是由于高温下蛋白质结构发生一定程度的松弛或聚集,导致颗粒尺寸有所增加。电位绝对值的变化与粒径的变化呈相反趋势,随着温度的升高,电位绝对值先增大后平稳,复合物在中低温(40 ℃)条件下的表面电荷分布更均匀从而形成了较稳定的结构;当温度继续升高电位绝对值变化不显著,这是因为表面电荷可能已经达到饱和。因此,Zein-PGP1:1 复合物在40 ℃ 条件下表现出较小的粒径和较好的热稳定性,说明适度的加热能够促进 Zein 和 PGP 之间的结合,使得复合物结构更为紧凑,而在高温条件下(如70 ℃),复合物粒径有所增加,显示出一定的热敏感性。该结果表明 Zein-PGP1:1 复合物在 30~70 ℃ 温度范围内具有良好的热稳定性,在 40 ℃ 温度附近表现最佳。

NaCl 通过静电屏蔽作用可以改变 Zein-PGP1:1 纳米颗粒之间的静电斥力,进而影响其粒径大小和稳定性。如图 10 所示,在 0~50 mmol/L 浓度范围内,随着 NaCl 浓度的增加,复合物的粒径由 184.10±1.34 nm 增加至 286.67±1.05 nm,电位绝对值由 19.40±0.43 mV 减小至 15.17±1.16 mV,这是由于 NaCl 的 Na+和 Cl−离子中和了复合物表面的电荷,导致颗粒之间的静电斥力减弱,因此粒径增大且电位绝对值减小。当 NaCl 浓度在 100~150 mmol/L 范围内,复合物的粒径逐渐减小至108.93±0.05 nm,这表明随着 NaCl 浓度的进一步增加,盐析作用逐渐占据主导地位,此时 NaCl 引发了纳米颗粒表面的水分子脱水,导致颗粒间的结合更紧密,进而使粒径减小。当 NaCl 浓度继续增大至200 mmol/L 时,复合物粒径增大至 155.27±0.84 nm,这可能是由于在高浓度盐环境下,过多的 Na+和Cl−离子引发了较强的电中和作用,使得颗粒表面电荷变化显著,此时复合物电位绝对值由 18.23±1.20 mV 减小至 11.07±0.71 mV,颗粒间的聚集现象再次增强,进而导致粒径增大。因此,NaCl 浓度的变化对 Zein-PGP1:1 复合物的稳定性产生了两种主要作用机制,在低离子浓度下,静电屏蔽作用使颗粒间的斥力减弱,导致粒径增大;而在较高的离子浓度下,盐析作用使颗粒间结合紧密,稳定性增强,最终表现为粒径减小;在更高的离子浓度下,颗粒表面可能发生电荷过度屏蔽使粒径增大,同时电位绝对值减小。这一现象和壳聚糖-玉米醇溶蛋白纳米颗粒的研究结果相一致,说明不同离子浓度对纳米颗粒的稳定性有显著影响。

Zein-PGP1:1 纳米颗粒的酸碱稳定性研究结果表明,图 11 所示,随着 pH 的增加,复合物的粒径呈现先减小后增大的趋势。在中性条件( pH7)下,Zein-PGP1:1 复合物的粒径最小,约为189.27±1.07 nm,这是因为在中性条件下,Zein 带负电,导致其与 PGP 间的静电吸引力减小,部分多糖分子从蛋白质表面脱落,使得复合物的粒径减小。在酸性环境下(如 pH4 或 5),粒径分别增大至 266.43±2.29 nm 和 240.43±6.75 nm,这是因为此时的 pH 接近 Zein 和 PGP 的等电点,导致颗粒稳定性下降,聚集现象增强,从而使粒径增大。在 pH7 时,Zein-PGP1:1 复合物的 PDI 值较小(0.15±0.01),说明此时颗粒的分布较为均匀;在 pH6 时,PDI 达到最大值为0.17±0.01,但仍小于 0.3,表明粒度分布仍然较为均匀。因此,Zein-PGP1:1 复合物在 pH6~8 范围内具有较好的分散性和均匀性。研究结果还发现,在pH6 时,复合物电位绝对值达到 24.10±0.65 mV,表明该条件下复合物的表面电荷增多,颗粒间的静电斥力增强,从而提高了体系的稳定性。因此,Zein-PGP1:1 复合物在中性及微酸碱性条件下(pH6~8)的稳定性最佳,表现为较小的粒径、PDI 和较大的电位绝对值,而在接近等电点的酸性环境下,复合物的粒径增大,稳定性较差。

引用本文:韩倩云,帅屿,甘芝霖,等. 玉米醇溶蛋白-桃胶多糖纳米颗粒的制备及性质表征[J]. 食品工业科技,2026,47(3):79−89. doi: 10.13386/j.issn1002-0306.2024120363.
Citation:HAN Qianyun, SHUAI Yu, GAN Zhilin, et al. Preparation and Characterization of Zein-Peach Gum Polysaccharide Nanoparticles and Composite Properties[J]. Science and Technology of Food Industry, 2026, 47(3): 79−89. (in Chinese with English abstract). doi: 10.13386/j.issn1002-0306.2024120363.
通讯作者简介
(以上信息来自北京林业大学官网)
或登录www.spgykj.com阅览全文。
诚邀莅临

热门话题
查看更多 →
《食品工业科技》特邀主编专栏征稿
群聊:食品工业科技作者群
温
馨
提
示
我刊正式组建微信作者群,为作者提供更多的学术与论文资讯,如需进群,请联系刘老师(微信:上方二维码,电话:87244117-8062)。
版权声明




