

图片来源于图司机
南昌大学食品学院陈军副院长等致力于制备一款口感和稳定性好的全组分芝麻乳,实现对芝麻渣的高效利用,减少资源浪费,并为全组分芝麻乳的工业化生产应用提供参考。
全组分芝麻乳体系的粒径决定了产品的口感润滑度, 从而直接影响消费者对产品的接受程度,通常粒径越大口感越粗糙。由表 1 可以看出,随着 ISMS 处理压力的增加,全组分芝麻乳样品的 D[4,3] 逐渐减小,处理压力为 120 MPa 时,D[4,3] 达到最小值为 68.17 μm。Dx[50] 与 Dx[90] 也呈现相同的变化规律。这可能是由于样品在微孔道中经历了强剪切、高速对流撞 击与空穴等作用力,使样品颗粒破碎,而增加 ISMS 的处理压力可以增强这些作用力,使样品粒径进一步减小。这也与 Guo 等关于不同压力 ISMS 处理对于全组分玉米汁粒径影响的研究结果相一致。从 图 3 中可以看出全组分芝麻乳的粒径分布图由两个峰组成,前面的小峰粒径分布范围在 0.1~1 μm,可能代表的是油脂单体,大粒径峰可能由脂肪和蛋白质等颗粒聚集体以及纤维组成。在 ISMS 处理压力为 30~120 MPa 范围内,随着处理压力的增大,大粒径峰逐渐向左偏移,且峰型逐渐变窄。这说明ISMS 处理压力的增加,有利于粉碎细化全组分芝麻乳大颗粒的粒径,降低样品的平均粒径;同时也会使粒径大小更加均一,从而改善样品口感润滑度,提高样品稳定性。
从图 4 中可以看出,经过不同压力处理的全组分芝麻乳样品在 4 ℃ 下静置 1 d 后均出现分层, 这可能是由于蛋白絮凝沉淀和油脂上浮所导致的乳析现象。其中,在 30 MPa 下处理的样品乳析现象最为明显,这可能是因为处理压力较低时泵流量太小,截留在筛网中的不溶性固形物过多导致沉淀变少,使得乳析现象更为明显。在 60~120 MPa 的压力范围内,随着 ISMS 处理压力的增加,乳析现象逐渐减小,稳定性逐渐提高,120 MPa 下处理的样品乳析现象最小。这也与粒径的结果相符合。
综上,ISMS 处理压力为 120 MPa 时,所得到的全组分芝麻乳粒径最小、表观稳定性最佳。因此选择 120 MPa 为 ISMS 处理制备全组分芝麻乳的处理压力。虽然经 ISMS 最佳处理压力(120 MPa)制备的样品稳定性得到明显提升,但仍然会在短时间内出现乳析现象。因此需要添加稳定剂,以提高样品稳定性,保证样品品质。
图 5(A)结果表明,全组分芝麻乳样品的不稳定指数随着黄原胶添加量的增加呈现先降后增的趋势,且当黄原胶添加量为 0.10% 时其不稳定指数最低。由图 5(C)可以看出,表观稳定性实验也表现出相同的结果,黄原胶添加量为 0.08% 和 0.10% 时样品无分层现象,这可能是因为黄原胶形成的网状结构改善了乳液的稳定性。而当黄原胶添加量增加到 0.12% 时, 全组分芝麻乳又出现少量的分层现象,可能是因为黄原胶添加过量时,黄原胶在溶液中会发生凝聚,从而使得体系出现分层现象。以上结果说明添加适量黄原胶能有效提高全组分芝麻乳的稳定性,这也与Saharudin 等的研究结果一致。
从图 5(B)可以看出,随着黄原胶添加量的增加,样品的平均粒径 D[4,3] 先增大后减小之后再次增大, 其数值依次为 24.20、24.35、29.45、21.75、51.50 μm。这可能是因为随着黄原胶添加量的增加,全组分芝麻乳出现排斥絮凝现象,促进了全组分芝麻乳中脂肪球之间的相互聚集,从而使得粒径增大。当黄原胶的添加量继续增大时,黄原胶会形成网状结构从而阻碍全组分芝麻乳中的脂肪球聚集,因此粒径减小。而后随着黄原胶粒径继续增加,全组分芝麻乳出现凝结成胶现象,导致再次粒径增大,且当黄原胶添加量为 0.12% 时的样品平均粒径最大。这也进一步印证了在此添加量下的样品又出现分层,且不稳定指数再次增大的现象。
综上,黄原胶添加量为 0.10% 的样品未出现分层现象、不稳定指数最低、粒径最小。为了进一步精确黄原胶最优添加量,选取黄原胶添加量为 0.09%、0.10%、0.11% 三水平与后续的乳化剂进行复配,确定其在全组分芝麻乳中的最优添加量。
图 6(A)和图 6(C)为添加不同复配比的复合乳化剂(蔗糖酯和单甘酯)的全组分芝麻乳样品的不稳定指数和表观稳定性。结果表明,随着蔗糖酯占比的增加,样品的不稳定指数和分层现象大体呈现先减小后增大的趋势。当蔗糖酯:甘酯为 8:2 时样品的不稳定指数最低,分层现象最不明显。这可能是因为蔗糖酯的高亲水性,蔗糖酯的增加能竞争解析更多参与界面吸附的蛋白质,从而降低界面张力,提高了全组分芝麻乳的稳定性。蔗糖酯:单甘酯为 9:1 时不稳定指数最高,分层也最为严重。这可能是因为蔗糖酯的含量超过一定范围后,竞争解析的蛋白过多,降低了界面的粘弹特性,从而促进脂肪球的聚结,导致分层现象加剧。从图 6(B)可以看出,随着蔗糖酯添加量的增加,样品的平均粒径 D[4,3] 整体也是呈现先减小后增大的趋势,此结果与上述不稳定指数结果和表观稳定性结果相吻合, 进一步验证了以上结论。综上所述,蔗糖酯和单甘酯添加配比为 8:2 的样品表观稳定性最好、不稳定指数最低、粒径最小,因此选择该配比的复合乳化剂进行全组分芝麻乳的制备。
图 7(A)和图 7(C)结果显示,随着复合乳化剂(蔗糖酯:单甘酯)添加量的增加,全组分芝麻乳样品的不稳定指数逐渐降低,其分层现象也逐渐改善。其中,0.12%~0.16% 的不稳定指数无明显变化,且添加量达到 0.14% 和 0.16% 时的样品已无分层现象。这可能是因为随着稳定剂用量的增加,乳化剂在界面上与蛋白质竞争吸附的能力增强,降低界面张力的作用也随之增强,使得脂肪球聚结的几率降低,从而使得样品稳定性提高。而当乳化剂的浓度达到临界胶束浓度后,再增大乳化剂用量对全组分芝麻乳稳定性的影响不大;而且乳化剂分子可能会在溶液内部聚集,构成亲油基向内、亲水基向外的球状胶束,甚至可能降低其乳化效果。
从图 7(B)可以看出,随着复合乳化剂的添加量的增加,样品的平均粒径 D[4,3] 逐渐减小,其数值依次为 31.45、27.50、25.65、22.65、21.00 μm。该变化规律与不稳定指数和表观稳定性结果相符合,说明复合乳化剂添加量增加有利于全组分芝麻乳的粒径减小,这也与蒋佩佩等的研究结果一致。
以上结果表明,复合乳化剂添加量为 0.16% 的样品表观稳定性最好、不稳定指数最低、粒径最小。但是添加量为 0.14% 的样品与之相比已无明显变化,从经济角度考虑,选择 0.14% 为复合乳化剂的最适添加量。但为了进一步精确复合乳化剂最优添加量,选取复合乳化剂添加量为 0.13%、0.14%、0.15% 三水平与黄原胶一同进行配方优化,确定总添加剂的最优添加量。
从图 8 的不稳定指数实验结果表明,黄原胶添加量为 0.09%,复合乳化剂(蔗糖酯:单甘酯=8:2)添加量为 0.13% 时的全组分芝麻乳样品不稳定指数最低,因此,确定此添加量为最优复配添加量,以此添加量进行全组分芝麻乳的制备。
图9 的结果表明,与控制组相比,三种不同温度条件下贮藏的全组分芝麻乳产品不稳定指数都随着时间的延长而增大。这可能是因为贮藏过程中蛋白质 聚集成大颗粒形成沉淀,使得产品稳定性下降,从而导致产品不稳定指数增大。38 ℃ 贮藏条件下的产品不稳定指数的增大最为明显,这可能是因为高温贮藏会进一步加速蛋白质的聚集,从而降低产品的稳定性。但从图 10 可以看出,在三个不同温度下贮藏的全组分芝麻乳产品在 70 d 内均未出现沉淀分层现象,样品均一,保持良好的表观稳定性。以上结果表明,与控制组结果对比,随着贮藏时间的延长,产品的不稳定指数会逐渐增大,但变化程度不足以表现在产品外观上,产品仍能在较长的时间内保持良好的表观稳定性。
图 11 显示,在贮藏期内,三个不同温度条件下的全组分芝麻乳产品平均粒径 D[4,3] 均持续增大,由第 0 d 的 22.15 μm 分别增至第 70 d 的 25.55、28.65 和 30.00 μm。该结果与不稳定指数的变化规律相一致,说明粒径的增大可能是导致样品不稳定指数增加的原因之一,这也进一步验证了不稳定指数的结论。图 12 表明,产品在 4 ℃ 贮藏期间,粒径分布在 10~ 300 μm 范围内的峰随着时间延长而向右平移,这可能是由于在贮藏过程中产品中的脂肪及蛋白质等成分聚集形成大颗粒。而在 28 和 38 ℃ 条件下贮藏的产品的粒径分布除了在 10~300 μm 范围内的峰向右平移外,相比较控制组,基本上还都出现了 0.1~ 10 μm 处的峰面积减小的现象,这可能是由于高温贮藏加速了产品蛋白质和脂肪的聚集,从而使得原来在 0.1~10 μm 峰处的脂肪和蛋白减少。
表 2 为使用 UHT无菌灌装后,全组分芝麻乳产品在三种不同贮藏温度下在贮藏期间菌落总数的情况。根据 NY/T 433-2021 规定,产品中的菌落总数须≤1×102 CFU/g。如表 2 所示,产品在 4、28 ℃ 条件下贮藏 70 d,均低于农业部行业标准上限,产品仍具有食用价值。而 38 ℃的产品贮藏至 70 d 时,其菌落总数已达 1.5×103 CFU/g, 超出行业标准上限,说明高温贮藏会加速微生物的生长繁殖,导致产品变质。
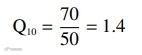
综合上述实验结果判断,全组分芝麻乳产品在 38 ℃ 的条件下贮藏至 70 d 已经发生劣变不可食用,在其他贮藏时间和贮藏温度下的全组分芝麻乳产品仍能保持可食用品质。根据加速实验结果,以产品的 38 ℃ 保质期为 50 d,28 ℃ 保质期为 70 d,计算产品保质期比率 Q10。
以此推断全组分芝麻乳产品在常温(25 ℃)贮藏以及冷藏(4 ℃)条件下的保质期分别为:
即全组分芝麻乳产品在常温下(25 ℃)贮藏保质期为 2 个月,冷藏(4 ℃)贮藏保质期为 5 个月。
采用熟白芝麻作为原料,通过 ISMS 处理、稳定剂调配、灭菌灌装的生产工艺成功制备了一款品质稳定的全组分芝麻乳产品。结果表明,产品的最佳工艺参数为:ISMS 120 MPa下处理,添加 0.09% 的黄原胶,0.13% 的复合乳化剂(蔗糖酯:单甘酯=8:2)。由该工艺制得的全组分芝麻乳产品,平均粒径D[4,3] 为 22.15μm,口感细腻,且产品品质稳定。全组分芝麻乳产品在贮藏温度为4 ℃ 时,贮藏70d 内能保持较好的稳定性。经过保质期计算,产品在4和25℃ 条件下贮藏的保质期分别为5个月和2个月。本研究为全组分芝麻乳的开发提供了理论和技术指导。全组分芝麻乳产品在人体内的消化吸收有待进一步研究。
食品科学家论文汇总
(点击专家姓名,查看论文)
《食品工业科技》特邀主编专栏征稿
《食品工业科技》青年编委专栏征稿:AI for Food Industry:人工智能在食品工业中的应用 ☚
《食品工业科技》青年编委专栏征稿:组学分析技术在食品品质研究中的应用 ☚
群聊:食品工业科技作者群

温
馨
提
示
我刊正式组建微信作者群,为作者提供更多的学术与论文资讯,如需进群,请联系刘老师(微信:上方二维码,电话:87244117-8062)。







