🔬 基于传递学习的CFRP试件缺陷预测方法学术解读
📚 论文元数据与基础信息
英文标题: Transfer-learning-aided defect prediction in simply shaped CFRP specimens based on stress distribution obtained from finite element analysis and infrared stress measurement
中文标题: 基于有限元分析和红外应力测量获得的应力分布的传递学习辅助简单形状CFRP试件缺陷预测
作者及机构:
-
• Yuta Kojima - 庆应义塾大学开放环境系统科学系 -
• Kenta Hirayama - 庆应义塾大学开放环境系统科学系 -
• Katsuhiro Endo - 日本产业技术综合研究所 -
• Yoshihisa Harada - 日本产业技术综合研究所 -
• Mayu Muramatsu - 庆应义塾大学机械工程系
一:原文核心内容专业翻译与方法总结
摘要专业翻译
本研究提出了一种基于传递学习的非破坏性检测框架,用于从表面主应力和分布(DSPSS)预测碳纤维增强塑料(CFRP)内部缺陷的三维结构。DSPSS通过有限元方法和红外应力测量两种途径获得。红外应力测量基于开尔文理论,将表面温度变化转换为DSPSS变化。该框架采用的机器学习模型为三维卷积神经网络(CNN)。传递学习方法的实施过程如下:首先,使用有限元方法获得的DSPSS数据集和内部缺陷的三维结构训练预测缺陷三维结构的CNN。DSPSS数据中添加了模拟红外应力测量中实验因素产生噪声的人工噪声,如温度波动以及CFRP聚合物树脂与碳纤维束之间物理性质差异。接下来,使用红外应力测量获得的DSPSS数据集和缺陷三维结构对CNN进行进一步训练。训练后CNN的准确性通过DSPSS红外应力测量进行评估。研究讨论了能够使用变分自编码器从二维DSPSS预测三维缺陷数据的因素。所提出的方法使得估计内部缺陷信息成为可能。
结论专业翻译
CNN使用红外应力测量获得的DSPSS预测简单形状CFRP试件中有无缺陷的三维信息。CNN使用FEM获得的数据集进行预训练,并使用传递学习方法提高红外应力测量数据集的预测准确性。研究确认了以下几点:所提出的CNN能够准确区分从红外应力测量获得的DSPSS中缺陷的存在或缺失;所提出的CNN能够预测近似的缺陷插入层和平面位置;缺陷平面位置匹配比R在真实值基础上2mm范围内;所有测试数据中正确层的缺陷插入层预测P大于0.5;研究中使用的数据集能够按相同特征聚类,这是能够从二维DSPSS预测三维缺陷信息的因素之一。
核心方法总结
本研究采用的核心技术路线包括:有限元分析(FEM)用于生成大量带标签的应力分布数据,红外应力测量技术基于热弹性效应获取实际试件的表面应力分布,三维卷积神经网络(3D CNN)作为核心预测模型,传递学习策略结合FEM仿真数据的预训练和实验数据的微调,以及变分自编码器(VAE)用于分析数据集特征和验证方法可行性。
二:全局理解与结构化分析
研究背景脉络
碳纤维增强塑料(CFRP)作为航空航天工业的核心复合材料,因其高刚度、高强度和轻量化特性而广泛应用。波音787机身结构中超过50%采用CFRP材料。然而,CFRP层合板的缺陷形式极其复杂,包括分层、纤维断裂和基体开裂等,这些缺陷的准确高效检测成为工程应用的关键挑战。
传统的非破坏性检测方法如超声波测量和射线透射检测虽然有效,但存在劳动强度大、时间成本高、安全控制要求严格、经济负担重以及对工程师经验依赖性强等局限性。红外热成像技术作为新兴的检测手段,具有无需安全控制、分析时间成本低、无需接触介质以及检测结果不受操作员技能影响等优势。
核心问题定义
研究的核心科学问题是:如何从二维的表面应力分布信息准确预测CFRP内部三维缺陷结构?这一问题的挑战在于维度映射的复杂性、实验数据的稀缺性以及仿真与实际的差异性。传统方法无法有效解决从有限的表面信息推断内部复杂缺陷分布的逆向工程问题。
主要方法论架构
完整技术路线
研究的技术实施路径包括四个核心阶段:第一阶段为数据准备,通过FEM分析生成1033个不同缺陷配置的DSPSS数据,并通过红外应力测量获得29个实际试件的DSPSS数据;第二阶段为模型训练,使用添加噪声的FEM数据对3D CNN进行预训练,随后使用实验数据进行传递学习微调;第三阶段为预测评估,通过缺陷平面位置一致性比率R和缺陷插入层预测准确性P两个指标评估模型性能;第四阶段为机理分析,使用VAE分析数据集的潜在特征空间,验证从二维信息预测三维结构的可行性。
创新点识别
本研究的主要创新体现在几个方面:首次将传递学习策略应用于CFRP缺陷检测领域,有效解决了实验数据稀缺与仿真数据丰富之间的矛盾;创新性地结合了有限元分析的物理建模优势与深度学习的模式识别能力;提出了从二维表面应力分布预测三维内部缺陷结构的新颖方法;引入VAE进行数据集特征分析,为方法的理论可行性提供了科学依据。
三:理论基础完整补全与概念内化
红外应力测量理论基础
红外应力测量技术基于热弹性效应的物理原理。当固体材料在弹性区域内承受周期性载荷时,材料内部的应力变化会引起相应的温度变化,这种现象被称为热弹性效应。温度变化ΔT与主应力和Δσ之间的关系由开尔文热弹性理论描述:
ΔT = -(α/ρCp)TΔσ
其中α为热膨胀系数,ρ为质量密度,Cp为定压比热容,T为绝对温度。这一关系式建立了应力场与温度场之间的直接联系,使得通过红外热像仪测量表面温度变化来反推表面应力分布成为可能。
在实际应用中,通过对试件施加周期性载荷并使用红外相机记录表面温度变化,然后应用锁相处理技术提取与载荷频率同步的温度信号,最终根据开尔文理论计算得到表面主应力和分布。这种方法的优势在于能够实现全场非接触式应力测量,特别适用于复合材料这类各向异性材料的应力分析。
卷积神经网络架构深度解析
三维卷积神经网络(3D CNN)是本研究的核心预测模型。与传统的二维CNN相比,3D CNN能够处理具有空间三维结构的数据,这使其特别适合于预测CFRP内部缺陷的三维分布。
网络架构设计中,输入为150×50像素的二维DSPSS图像,输出为150×50×5的三维缺陷概率分布,其中5代表可能的缺陷插入层数。这种设计将缺陷预测问题转化为深度方向上的分类问题,每个空间位置在不同深度层的概率总和为1,确保了预测结果的物理合理性。
传递学习策略的理论依据
传递学习是解决小样本学习问题的有效策略,其核心思想是将在大规模数据集上学习到的知识迁移到目标任务中。在本研究中,传递学习的实施基于以下理论假设:FEM仿真数据与实验数据在特征空间中存在相似的底层模式;深度网络的前几层学习到的是通用的低级特征,这些特征在不同但相关的任务之间是可迁移的;通过在大量仿真数据上预训练,网络能够学习到CFRP材料应力分布与缺陷结构之间的一般性映射关系。
具体实施中,研究采用微调(Fine-tuning)策略,即保持预训练网络的大部分参数不变,仅对输出层参数进行重新训练。这种方法既能利用预训练模型的知识,又能适应实验数据的特定特征,有效缓解了实验数据稀缺的问题。
变分自编码器的机理分析作用
变分自编码器(VAE)在本研究中主要用于分析数据集的潜在特征结构,验证从二维DSPSS预测三维缺陷信息的理论可行性。VAE通过编码器将高维输入数据映射到低维潜在空间,再通过解码器重构原始数据,这一过程能够揭示数据的内在结构和模式。
研究分别对DSPSS数据和缺陷信息数据构建VAE模型,通过分析潜在空间中数据点的聚类模式,发现不同缺陷插入层、缺陷尺寸的数据在潜在空间中形成明显的聚类结构。这一发现为CNN能够成功学习到DSPSS与缺陷结构之间映射关系提供了理论支撑,证明了二维表面信息确实包含了足够的信息来推断三维内部结构。
四:数学模型深度解析与算法逻辑重构
有限元建模的数学基础
有限元分析在本研究中承担着生成训练数据的关键作用。CFRP作为正交异性复合材料,其本构关系需要考虑纤维方向和基体性质的差异。材料的弹性矩阵包含九个独立的工程常数:三个弹性模量(E1, E2, E3)、三个泊松比(ν12, ν13, ν23)和三个剪切模量(G12, G13, G23)。
在有限元建模中,CFRP的材料性质设定为:E1=136.6 GPa(纤维方向),E2=E3=9.65 GPa(垂直于纤维方向),这反映了单向纤维增强复合材料显著的各向异性特征。缺陷的模拟采用双节点技术,在缺陷区域设置不传递剪切力的界面条件,模拟实际试件中特氟龙薄片造成的分层效果。
有限元网格采用0.5mm×0.5mm×0.1mm的正交等距网格,总节点数达到317,781个,确保了计算精度。边界条件设为yz平面约束,沿x轴方向施加1.0kN载荷,模拟实际疲劳试验的载荷条件。这种建模方式能够准确反映CFRP层合板在实际载荷下的应力分布特征。
损失函数设计与优化策略
网络训练采用二元交叉熵损失函数,这是因为缺陷预测问题被转化为深度方向上的分类问题。
优化器选择Adam算法,学习率设为0.00007。Adam算法结合了动量法和自适应学习率的优势,能够在训练过程中自动调整各参数的学习率,特别适合于深度网络的训练。预训练阶段采用64的批次大小,进行800个训练周期;传递学习阶段由于数据量限制,采用1的批次大小,进行1000个训练周期。
噪声建模的数学表征
为了使FEM数据更好地匹配实验数据的特征,研究在FEM生成的DSPSS中添加了模拟实验噪声。这些噪声主要来源于两个方面:红外应力测量中的热噪声,包括环境温度波动、红外相机的固有噪声等;CFRP材料的非均匀性,包括树脂与碳纤维束之间物理性质的差异、纤维分布的随机性等。
噪声添加策略为:对于无缺陷的DSPSS,添加5000种不同的噪声模式;对于有缺陷的DSPSS,每个样本添加5种噪声模式。这种设计既保证了数据的多样性,又避免了过度增强导致的模式失真。噪声的幅值和分布特征基于实际红外测量的统计分析确定,确保了仿真数据与实验数据在统计特征上的一致性。
评估指标的量化定义
研究采用两个关键指标评估模型性能。缺陷平面位置一致性比率R定义为:
R = N_black / N_red
其中N_red为真实缺陷区域的像素数,N_black为在缺陷区域及其周围2mm范围内预测为缺陷的像素数。2mm的容差设计考虑了图像裁剪和压缩过程中可能出现的坐标偏移。
缺陷插入层预测准确性P通过计算各层预测概率确定。对于每个预测样本,计算各层中预测为缺陷的像素总数,然后归一化得到各层的缺陷存在概率。正确层的预测概率P值大于0.5被认为是成功的层位预测。
这两个指标分别从空间位置和深度位置两个维度评估模型的预测性能,能够全面反映三维缺陷预测的准确性。
五:工程实现路径与数据流程分析
完整数据流程架构
研究的数据流程可以划分为四个主要阶段,形成了从物理建模到智能预测的完整链条。第一阶段为数据生成,包括FEM仿真和实验测量两个并行路径;第二阶段为数据预处理,涉及图像标准化、噪声添加和数据增强;第三阶段为模型训练,实施预训练和传递学习的两步策略;第四阶段为预测评估,通过定量指标验证模型性能。
软件平台与接口实现
研究采用多个专业软件平台的协同工作模式。有限元分析使用Abaqus CAE 2021,运行在Intel Xeon Gold 6246处理器上,每个模型的分析时间约为236秒。Abaqus提供了完整的前处理、求解和后处理功能,特别适合于复合材料的非线性分析。
深度学习模型的训练和推理使用PyTorch框架,部署在两块并行的GeForce RTX 3090 32GB GPU上。PyTorch提供了灵活的动态图机制和丰富的深度学习算子,便于实现复杂的3D CNN架构和传递学习策略。
红外应力测量使用FLIR SC7500热成像相机,分辨率为320×256像素,锁相处理使用4000帧数据。疲劳试验设备为810材料试验系统,能够提供2.0kN的最大载荷和5Hz的加载频率。
数据接口方面,Abaqus的应力结果通过Python脚本提取并转换为标准格式,红外相机的温度数据通过专用SDK获取并转换为应力分布,不同平台之间的数据传递通过标准化的数组格式实现。
数据预处理流程详解
数据预处理是确保模型训练效果的关键环节。对于FEM数据,首先从Abaqus结果文件中提取应力场信息,然后进行空间插值得到标准150×50分辨率的DSPSS图像。空间插值采用双线性插值方法,保证了应力场的连续性和物理合理性。
对于实验数据,红外相机获得的温度场首先通过开尔文理论转换为应力场,然后进行同样的空间插值处理。由于实验数据的空间分辨率和信噪比与仿真数据存在差异,还需要进行额外的滤波和平滑处理。
数据标准化采用逐样本归一化策略,即每个DSPSS图像独立进行零均值单位方差归一化。这种策略有助于消除不同试件之间的绝对应力水平差异,突出相对应力分布模式。
数据增强方面,对实验数据进行180度旋转增强,将有限的实验样本从22个扩展到44个。这种增强方式保持了应力分布的物理意义,同时增加了训练数据的多样性。
模型部署与推理优化
训练完成的模型需要进行部署优化以满足实际应用的效率要求。研究中单次预测的时间小于1秒,这主要得益于GPU加速和模型结构的优化设计。
为了进一步提高推理效率,可以采用模型量化、剪枝等优化技术。模型量化将32位浮点权重转换为8位整数,能够显著减少内存占用和计算量,同时保持较高的预测精度。
在实际工程应用中,系统可以设计为实时处理模式,即红外相机获取数据后立即进行缺陷预测,实现在线检测功能。这需要优化数据传输协议和计算资源调度,确保系统的实时性和稳定性。
六:图表深度解析与结果逻辑验证
图1:方法流程图的逻辑架构分析
Fig. 1. Flow of proposed inverse estimation method.
图1展示了逆向缺陷估计方法的完整流程,体现了研究的核心技术路线。流程图清晰地表明了FEM数据和实验数据的融合策略:首先通过FEM计算得到DSPSS,然后添加模拟红外应力测量噪声的分布,使用这些数据训练3D CNN;接着使用红外应力测量获得的真实DSPSS数据进行传递学习,最终实现缺陷的3D结构预测。
这一流程设计的科学性在于有效解决了仿真数据与实验数据之间的域差问题。通过噪声添加使FEM数据更接近实验数据的特征,而传递学习则进一步弥合了剩余的差异。流程图中的每个环节都有明确的输入输出定义,形成了可复现的技术路径。
图2-4:实验设置与测量配置
Fig. 2. Example of CFRP specimen with model defect.
图2展示了带有模型缺陷的CFRP试件示例,试件尺寸为200.0mm×25.0mm×3.0mm,包含10层单向增强复合材料,纤维方向按照0°、45°、90°、-45°、0°、0°、-45°、90°、45°、0°的序列层叠。红色虚线框内为缺陷插入区域,这种设计确保了缺陷位于试件的受力关键区域。
Fig. 3. Equipment used in experiment. The system consists of (a) an infrared camera, (b) a fatigue testing apparatus, (c) a CFRP specimen, and (d) a blackout curtain to prevent reflections.
图3展示了实验设备配置,包括红外相机、疲劳试验机、CFRP试件和遮光帘。设备布置体现了红外应力测量的技术要求:红外相机需要正对试件表面以获得准确的温度场信息,遮光帘用于防止外部光源干扰,疲劳试验机提供周期性载荷。这种配置确保了测量环境的稳定性和数据质量。
Fig. 4. Schematic of interlayer position of specimen and position of infrared camera.
图4的示意图说明了试件层间位置和红外相机位置的关系,明确了测量的空间几何关系。红外相机从试件表面一侧进行测量,这意味着距离相机较近的缺陷层会产生更强的应力集中信号,而距离较远的缺陷层信号会相对较弱。这一几何关系是后续深度预测算法设计的重要依据。
图5:红外应力测量结果对比
Fig. 5. DSPSS obtained by infrared stress measurement. (a) Stress distribution of without defect specimen measured from camera position 1 in Fig. 4 and (b) stress distribution of with defect specimen measured from camera position in Fig. 4. The white dashed line is the area where the defect is inserted.
图5展示了无缺陷试件和有缺陷试件的DSPSS分布对比结果。无缺陷试件的应力分布相对均匀,而有缺陷试件在缺陷区域(白色虚线范围)出现明显的应力集中现象。这种应力分布的差异是缺陷检测的物理基础,证明了红外应力测量技术能够有效识别内部缺陷的存在。
应力集中的强度和分布模式与缺陷的尺寸、位置和深度相关,这为机器学习模型提供了丰富的特征信息。图中可以观察到缺陷边缘的应力梯度较大,这种边缘效应是缺陷边界识别的重要依据。
图6-7:FEM建模方法与分析条件
Fig. 6. Defect representation method employed in this study. Double nodes are assigned to black dots to reproduce the experimental setup for infrared stress measurements where shear does not propagate.
图6展示了研究采用的缺陷表示方法,通过在黑点位置设置双节点来模拟分层缺陷。这种建模方法的物理意义是在缺陷界面阻止剪切力的传递,模拟实际试件中特氟龙薄片造成的分层效果。双节点技术是有限元中处理接触界面的标准方法,能够准确反映分层缺陷的力学行为。
Fig. 7. FEM analysis conditions. The red area shows the inserted defect. (For interpretation of the references to color in this figure legend, the reader is referred to the web version of this article.)
图7展示了FEM分析的边界条件和载荷施加方式。红色区域表示插入的缺陷,试件左端固定(yz平面约束),右端施加x方向载荷。这种加载方式模拟了实际疲劳试验的拉伸载荷条件,确保了仿真与实验的一致性。
图8:FEM与实验结果对比验证
Fig. 8. Method of comparing DSPSS obtained by infrared stress measurement with that obtained by FEM. (a) Original distributions of (i) defect location, (ii) stress distribution obtained by FEM and (iii) stress distribution obtained by infrared stress measu ements. (b) Trimmed distribution of (i) defect location, (ii) stress distribution obtained by FEM and (iii) stress distribution obtained by infrared stress ements. (c) Profiled results of (i) defect location, (ii) stress distribution obtained by FEM and (iii) stress distribution obtained by infrared stress measurements. (For interpretation of the references to color in this figure legend, the reader is referred to the web version of this article.)
图8展示了FEM和红外应力测量获得的DSPSS对比方法。通过对缺陷区域的应力分布进行裁剪、平均和轮廓提取,将二维分布转换为一维轮廓进行定量对比。这种对比方法的科学性在于消除了空间位置的微小偏差,突出了应力分布的整体模式。
对比结果表明FEM和实验的应力轮廓高度一致,验证了FEM建模方法的准确性。这种一致性是传递学习策略可行性的重要前提,证明了FEM数据能够有效表征实际的应力分布特征。
图16:定量对比验证结果
Fig. 16. Comparison of DSPSS obtained by infrared stress measurement and that obtained by FEM. (a) With defect inserted between layers 7 and 6 and (b) with a defect inserted between layers 10 and 9.
图16展示了不同缺陷插入层(7-6层和10-9层)的FEM与实验DSPSS对比结果。两种情况下的应力轮廓都显示出良好的一致性,在缺陷位置都出现明显的应力下降。这种一致性验证了缺陷表示方法的有效性,也为后续的机器学习训练提供了可靠的数据基础。
对比中可以观察到,不同插入层的缺陷产生的应力分布模式存在细微差异,这种差异正是深度预测算法能够区分不同缺陷层的信息基础。FEM能够准确捕捉这些细微的物理差异,为模型训练提供了丰富的特征信息。
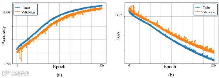
图17:训练过程监控与收敛分析
Fig. 17. Plot of (a) accuracy and (b) loss for training using DSPSSs with noise obtained by FEM.
图17展示了使用FEM数据进行预训练的精度和损失曲线。训练精度稳步上升并趋于稳定,训练和验证损失都呈现下降趋势,表明模型正常收敛且无过拟合现象。预训练在损失完全收敛之前停止,这是为了保持模型的泛化能力,为后续传递学习预留优化空间。
图18、20:预测结果可视化分析
Fig. 18. (a) Stress distribution obtained by FEM (top), ground truth (bottom left), and predicted data (bottom right) for test data with defect and (b) stress distribution obtained by FEM (top), ground truth (bottom left), and predicted data (bottom right) for test data without defect. The white dashed line is the area where the defect is inserted.
图18展示了FEM测试数据的预测结果,包括应力分布、真实缺陷结构和预测结果的三方对比。对于有缺陷和无缺陷的情况,模型都能够准确预测缺陷的平面位置和插入层。预测结果的空间分布与真实情况高度一致,证明了3D CNN在FEM数据上的有效性。
Fig. 20. (a), (b) DSPSS (top), ground truth (bottom left), and predicted data (bottom right) obtained by infrared stress measurements for test data with defect inserted and (c DSPSS (top), ground truth (bottom left), and predicted data (bottom right) obtained by the infrared stress measurements for test data without defect inserted. The white dashe line is the area where the defect is inserted.
图20展示了实验数据的预测结果,这是传递学习效果的直接体现。尽管实验数据存在噪声和不确定性,模型仍能够较准确地预测缺陷的存在、位置和大概的插入层。需要注意的是,由于噪声影响,预测结果在多个层都显示一定的缺陷概率,这反映了实际应用中的不确定性。
图21-24:VAE特征空间分析
Fig. 21. (a) KL loss, reconstruction loss and ELBO loss during the training of the VAE for DSPSS and (b) KL loss, reconstruction loss and ELBO loss during the training of the VAE for DSPSS.
Fig. 22. (a) KL loss, reconstruction loss and ELBO loss during the training of the VAE for defect and (b) KL loss, reconstruction loss and ELBO loss during the training of the VAE for defect.
图21和22分别展示了DSPSS和缺陷信息VAE的训练过程。KL损失、重构损失和ELBO损失都呈现正常的下降趋势,重构精度逐步提高,表明VAE能够有效学习数据的潜在表示。
Fig. 23. Visualization of DSPSS in latent variable space. (a) Results of color-coding by defect insertion layer (i) for all data and (ii) for data between layers 10-9 and 7-6, which are classified in the neighborhood and visualized in the latent variable space, (b) results of color-coding by defect width, and (c) results of color-coding by defect height. . (For interpretation of the references to color in this figure legend, the reader is referred to the web version of this article.)
图23是本研究最重要的理论验证结果之一,展示了DSPSS在潜在变量空间中的可视化分布。通过UMAP降维技术,可以清晰地观察到数据按照缺陷插入层、缺陷宽度和高度形成明显的聚类结构。这种聚类模式证明了二维DSPSS信息确实包含了足够的特征来区分不同的三维缺陷配置,为CNN学习有效映射关系提供了理论依据。
Fig. 24. Latent variable space of defect information. The 3D structure of the defect is classified by the layer number where the defect is inserted.
图24展示了缺陷信息在潜在空间中的聚类情况,同样按照缺陷插入层形成明显的分组。这与DSPSS的聚类模式相呼应,进一步验证了数据集的良好结构特性。
表格数据深度分析
表1详细列出了实验制备的CFRP试件配置,包括17个无缺陷试件和12个有缺陷试件。缺陷尺寸从3×3mm到15×15mm,位置覆盖了试件的主要受力区域,插入层从6-7层到9-10层。这种系统性的试件设计确保了实验数据的代表性和完整性。
表5展示了FEM分析的试件配置,总计1033个模型,覆盖了更广泛的缺陷配置空间。相比实验数据,FEM数据的样本数量大幅增加,为预训练提供了充足的数据基础。缺陷尺寸和位置的系统性变化为模型学习不同尺度缺陷的特征提供了必要条件。
表10展示了定量评估结果,缺陷平面位置一致性比率R在0.31-0.83之间,考虑到2mm的容差范围,这一结果是可接受的。缺陷插入层预测准确性P显示正确层的概率都大于0.5,证明了模型的有效性。值得注意的是,预测结果在相邻层也显示一定概率,这反映了实际应用中的不确定性和边界效应。
七:个人思考
材料各向异性的隐含假设
研究中一个重要但未明确强调的假设是CFRP材料各向异性特性的建模精度对最终结果的影响。论文采用的弹性模量比E1/E2约为14:1,这一显著的各向异性特征直接影响应力分布模式。在实际应用中,纤维体积分数、纤维取向角度的微小变化都会影响材料的有效弹性性质,进而影响应力集中的强度和分布。
作者默认采用的层合板理论假设各层之间完全粘接,忽略了层间界面的微观缺陷和粘接不完全现象。这种简化在工程计算中是合理的,但在高精度缺陷检测中可能引入系统性误差。实际的CFRP制件中,层间界面往往存在微孔、未固化树脂等微观缺陷,这些因素会影响应力传递,从而影响表面应力分布。
温度场-应力场转换的关键假设
开尔文热弹性理论的应用基于几个重要假设:材料处于线弹性范围、变形过程为绝热过程、材料的热物理参数已知且均匀。在实际测量中,这些假设的满足程度直接影响应力计算的准确性。
特别值得注意的是绝热假设。在5Hz的加载频率下,温度变化的时间尺度与热扩散的时间尺度相当,严格的绝热条件可能无法完全满足。这种非绝热效应会导致温度信号的衰减和相位滞后,影响应力计算的精度。作者通过锁相处理技术部分补偿了这种效应,但仍可能存在系统性偏差。
噪声建模的现实性考量
研究中添加的人工噪声是基于对实验因素的理论分析,但可能无法完全覆盖实际测量中的所有噪声源。实际的红外测量中,噪声来源包括环境温度波动、相机固有噪声、表面发射率不均匀、大气吸收等多种因素,这些噪声的时空相关性和频谱特征难以完全建模。
特别是CFRP表面的微观结构不均匀性,包括纤维束的周期性分布、树脂富集区和贫乏区的随机分布等,这些微观特征会在应力分布中产生高频噪声。人工噪声模型可能无法完全捕捉这种物理噪声的特征,导致仿真数据与实验数据在高频成分上存在差异。
传递学习策略的局限性分析
研究采用的传递学习策略仅对输出层参数进行微调,这种策略的有效性依赖于一个关键假设:FEM数据和实验数据在特征空间中的底层结构是相似的。然而,实际情况可能更复杂。
FEM计算基于连续介质力学假设,而实际的CFRP材料在微观尺度上是非均匀的。纤维和基体的界面、纤维的微观弯曲、基体中的微孔等微观特征都会影响宏观应力分布。这种微观-宏观尺度的差异可能导致FEM数据与实验数据在某些特征上存在系统性差异,仅通过输出层微调可能无法完全弥合这种差异。
维度映射的信息理论限制
从二维表面信息预测三维内部结构本质上是一个病态逆问题。VAE分析虽然证明了数据的可分离性,但这种分离性是在特定的缺陷配置和材料参数下获得的。当缺陷配置更复杂(如多缺陷、不规则形状缺陷)或材料参数发生变化时,这种可分离性可能会下降。
研究中使用的缺陷都是规则的矩形形状,且单独分布。实际工程中的缺陷可能具有不规则形状、多缺陷交互等复杂特征。这些复杂情况下,表面应力分布与内部缺陷结构之间的映射关系可能更加复杂,现有的网络架构和训练策略可能需要相应调整。
尺度效应的潜在影响
研究使用的试件尺寸相对较小(200mm×25mm×3mm),缺陷尺寸从3mm到15mm。在更大尺寸的工程构件中,缺陷的相对尺寸效应、边界条件的影响、多缺陷的相互作用等因素可能会显著影响应力分布模式。
特别是在航空航天实际应用中,CFRP构件的尺寸往往达到米级甚至更大,缺陷的检测需要考虑远场应力的影响、几何形状的复杂性等因素。现有方法在这种尺度下的适用性需要进一步验证。
实时性与精度的权衡
研究提到单次预测时间小于1秒,这对于离线检测是可接受的,但对于在线监测可能还需要进一步优化。实际的结构健康监测系统需要在保证检测精度的同时实现实时处理,这要求在网络复杂度、计算精度和处理速度之间找到最优平衡点。
此外,实际应用中还需要考虑数据传输、存储、可视化等环节的时间开销。从红外相机获取数据到最终输出缺陷预测结果的整个流程时间可能显著超过单纯的模型推理时间。
八:通用知识提炼与迁移应用指导
物理建模与数据驱动方法的融合框架
本研究最重要的方法论贡献是建立了物理建模(FEM)与数据驱动方法(深度学习)的有效融合框架。这种融合不是简单的数据叠加,而是基于物理原理的智能结合。具体的融合策略包括:利用物理建模的确定性优势生成大规模标注数据,通过噪声建模弥合仿真与实验之间的域差,采用传递学习策略实现知识从仿真域到实验域的有效迁移。
这一框架的核心思想是"物理约束的数据增强",即通过物理建模确保数据增强的合理性和有效性。与纯粹的数据驱动方法相比,这种方法能够在有限的实验数据条件下获得更好的泛化性能。与纯粹的物理建模相比,这种方法能够处理建模中难以精确描述的复杂因素。
多尺度信息融合的建模策略
研究展示了如何有效处理多尺度信息融合问题。从材料微观结构(纤维-基体界面)到宏观结构响应(整体应力分布),再到缺陷检测任务(局部异常识别),涉及了多个尺度层次的信息传递和融合。
具体的多尺度建模策略包括:在微观尺度上,通过有效弹性参数描述复合材料的各向异性特性;在细观尺度上,通过层合板理论描述多层结构的力学行为;在宏观尺度上,通过有限元方法求解整体结构响应;在信号处理尺度上,通过深度学习提取应力分布中的缺陷特征。
这种多尺度建模思路可以推广到其他复合材料和多物理场耦合问题中,为复杂工程系统的建模提供了有效的方法论指导。
逆向工程问题的深度学习解决方案
本研究将缺陷检测问题转化为深度学习的监督学习问题,提供了解决逆向工程问题的通用思路。关键的转化策略包括:将连续的物理量(应力、温度)离散化为图像格式,便于卷积神经网络处理;将逆向推理问题转化为分类问题,通过概率输出表征不确定性;将三维预测问题分解为深度方向的多分类问题,降低问题复杂度;通过传递学习策略解决标注数据稀缺的问题。
这种转化思路可以应用于其他类型的逆向工程问题,如结构损伤识别、材料参数反演、载荷识别等。核心原则是找到合适的数据表示方式和损失函数设计,使得复杂的物理逆问题能够通过标准的机器学习方法求解。
实验验证与仿真验证的协同设计
研究展示了如何设计实验验证与仿真验证的协同方案。这种协同设计的关键要素包括:确保实验条件与仿真条件的一致性,包括几何参数、材料参数、边界条件、载荷条件等;建立可靠的对比验证方法,通过轮廓提取、统计分析等手段定量评估仿真与实验的一致性;设计合理的容差标准,考虑实验误差和建模误差的综合影响。
这种协同验证思路可以推广到其他涉及仿真与实验结合的研究中,为提高研究结果的可信度提供了系统性的方法论指导。特别是在涉及复杂物理现象的工程问题中,这种协同验证是确保研究成果工程适用性的重要保障。
传递学习在工程领域的应用策略
本研究展示了传递学习在解决工程领域小样本问题中的有效应用。具体的应用策略包括:充分利用仿真数据的优势,通过大规模仿真构建预训练数据集;合理设计噪声模型,使仿真数据更接近实际数据的特征;选择合适的传递学习策略,平衡计算效率和学习效果;设计有效的评估指标,全面评价传递学习的效果。
这种传递学习策略可以推广到其他数据稀缺的工程应用中,如新材料性能预测、新工艺优化、新设备状态监测等。核心思路是利用相关领域的丰富数据为目标领域的少量数据提供先验知识,通过知识迁移提高学习效率和泛化能力。
不确定性量化与决策支持
研究通过概率输出的方式体现了预测结果的不确定性,这为工程决策提供了重要的参考信息。具体的不确定性量化方法包括:通过深度方向的概率分布表征缺陷位置的不确定性;通过置信区间表征预测精度的可靠性;通过敏感性分析评估输入参数对预测结果的影响。
这种不确定性量化思路可以推广到其他涉及工程决策的机器学习应用中。在实际工程中,决策者不仅需要知道预测结果,更需要了解预测结果的可靠性和可能的风险。通过合理的不确定性量化,可以为工程决策提供更加全面和可靠的信息支持。
数据驱动建模的物理合理性保证
本研究通过多种方式确保数据驱动模型的物理合理性:通过物理约束的损失函数设计(深度方向概率归一化)确保预测结果的物理意义;通过基于物理原理的数据增强策略确保训练数据的合理性;通过与物理模型的对比验证确保学习结果的正确性;通过VAE分析验证数据集的内在结构符合物理直觉。
这种物理合理性保证策略可以推广到其他物理相关的机器学习应用中。在涉及物理系统的数据驱动建模中,确保模型遵循基本的物理原理是提高模型可信度和泛化能力的重要手段。
📌 本论文的通用知识迁移总结
跨域融合建模方法论
本研究建立了物理建模与深度学习融合的系统性方法论框架。这一框架的核心价值在于解决了传统物理建模精度有限与纯数据驱动方法泛化能力不足的矛盾。具体的方法论包括:基于物理原理的数据生成策略,通过高保真度仿真为机器学习提供大规模标注数据;物理约束的网络设计方法,确保深度学习模型的输出符合物理规律;仿真-实验协同验证框架,通过多重验证提高研究结果的可信度。
这一方法论可以直接迁移到其他涉及物理系统建模的工程领域,如结构健康监测、流体机械故障诊断、电力系统状态评估等。关键是要识别系统的主要物理机制,建立合适的仿真模型,并设计有效的数据融合策略。
小样本学习的传递学习策略
研究展示了如何通过传递学习有效解决工程领域普遍存在的小样本学习问题。核心策略包括:大规模仿真数据预训练,充分学习任务的一般性特征;目标域数据微调,适应特定应用场景的特殊要求;渐进式学习策略,逐步缩小源域与目标域之间的差异;多级验证体系,确保传递学习的有效性。
这种策略特别适用于那些获取标注数据成本高昂的工程应用,如航空航天设备检测、核电设备监测、高端制造工艺优化等。通过合理的传递学习设计,可以显著降低新应用领域的数据需求和开发成本。
多维度信息映射的网络设计原则
本研究成功实现了从二维表面信息到三维内部结构的映射,提供了处理维度变换问题的通用设计原则。核心原则包括:信息充分性分析,通过理论分析和数据挖掘验证低维信息包含高维结构的充分信息;网络架构设计,采用适合维度变换任务的网络结构;损失函数设计,通过合理的约束确保输出的物理合理性;特征空间分析,通过降维可视化验证学习结果的正确性。
这些原则可以应用于其他涉及维度映射的工程问题,如医学影像重建、地质勘探、材料微结构表征等。关键是要深入分析问题的物理本质,设计合适的网络架构和训练策略。
工程系统不确定性量化方法
研究通过概率输出和多指标评估展示了工程系统不确定性量化的有效方法。具体方法包括:概率建模,将确定性预测转化为概率分布;多指标评估,从不同角度评价预测性能;敏感性分析,评估输入不确定性对输出的影响;可信度量化,为工程决策提供可靠性信息。
这种不确定性量化方法可以推广到其他安全关键的工程应用中,如结构安全评估、设备寿命预测、工艺质量控制等。在这些应用中,准确的不确定性信息对于制定合理的安全裕度和维护策略具有重要意义。
实用化部署的系统设计思路
本研究展示了从研究原型到工程应用的系统设计思路。关键要素包括:模块化设计,将复杂系统分解为独立的功能模块;接口标准化,确保不同模块之间的兼容性;性能优化,平衡计算精度和处理效率;可维护性设计,便于系统的升级和维护。
这种系统设计思路可以指导其他机器学习工程应用的开发,特别是那些需要集成多种技术的复杂系统。通过合理的系统架构设计,可以显著提高系统的可靠性、可维护性和可扩展性。
跨学科协作的研究范式
本研究成功整合了材料科学、力学、信号处理、机器学习等多个学科的知识,展示了跨学科协作的有效研究范式。核心要素包括:问题导向的学科整合,以解决实际工程问题为目标整合相关学科知识;方法论的创新融合,将不同学科的方法论优势结合起来;验证体系的多元化,采用多学科的验证方法确保研究结果的可靠性。
这种跨学科研究范式对于解决复杂工程问题具有重要的指导意义。现代工程问题往往涉及多个学科领域,需要研究者具备跨学科的知识背景和协作能力。通过建立有效的跨学科协作机制,可以充分发挥各学科的优势,产生"1+1>2"的协同效应。
通过以上系统性的知识提炼和方法论总结,本研究不仅在CFRP缺陷检测领域取得了重要进展,更为广泛的工程科学研究提供了可借鉴的方法论框架和实践指导。这些通用性知识的价值将在更多相关领域的应用中得到验证和发展。
本团队服务:
复合仿真×智能算法 | 跨领域CAE技术专家(985博士团队)
专注复合材料多尺度仿真与疲劳寿命预测,精通ABAQUS高级建模及Fortran/Python二次开发;
深度融合有限元技术与深度学习,搭建定制化神经网络框架实现仿真智能驱动;
理论基础扎实,工程经验丰富,可提供:
✅ 复合材料结构仿真与优化方案
✅ 疲劳损伤仿真与寿命预测技术开发
✅ CAE-Python自动化工具链搭建
✅ 有限元-机器学习融合模型开发
用算法赋能仿真,以工程经验落地智能解决方案。
如需技术支持或相关答疑,请联系安迪老师:
Tel: 18920620961
Email: andy20249@qq.com
微信(扫码):![]()

