基于原位光纤声发射与模态分解的CFRP层合板低温弯曲损伤机理
英文标题:Cryogenic damage mechanism of CFRP laminates under bending load via in-situ fiber-optic acoustic emission and mode decomposition
作者单位:河北大学
DOI:https://doi.org/10.1016/j.compositesb.2025.112994
第一部分:战略叙事层
✅ 第一层:论文总结
"本文发现了一个关于碳纤维增强聚合物(CFRP)在低温下力学性能下降的真问题。其核心硬挑战在于低温环境导致材料损伤起始阈值降低与损伤模式复杂化,且传统检测技术难以原位表征动态损伤演化。为攻克此难题,作者提出了融合变分模态分解(VMD)与轻量化深度学习模型(REDNet26)的精损伤识别方法。该方法实现了>99%的损伤模式分类精度,并通过光纤声发射技术克服了低温传感限制,最终凝练出新见解:低温虽增强树脂基体与界面结合,但基体脆化显著降低分层抗力,成为强度退化的主导因素。"
✅ 第二层:论文拆解
| 叙事要素 | 核心内容 |
|---|---|
| 真实工程问题 |
|
| 核心科学挑战 |
2. 混合损伤信号(基体开裂/界面脱粘/纤维断裂)时域重叠 3. 峰值频率参数忽略低能量损伤分量,导致传统聚类方法低估界面损伤贡献 |
| 巧妙的核心方法 | 三阶段技术链
1. 低温兼容传感:采用基于芯轴的光纤环(MBFOR)传感器,工作温度低至123K 2. 信号解耦:VMD将原始声发射信号分解为4个本征模态函数(IMF),分离重叠损伤模式 3. 智能识别:设计轻量化CNN模型REDNet26(集成深度可分离卷积与通道注意力机制),处理IMF的时频谱图,实现>99%分类精度 |
| 令人信服的效果 |
2. VMD-CNN使界面脱粘/纤维断裂损伤贡献量化值提升40% 3. 123K下分层抗力下降直接导致弯曲强度衰减(非单调温度依赖性) |
| 凝练出的新见解 | "低温双刃剑效应"
- 温度↓ → 分子链运动冻结 → 树脂基体强度↑ + 界面结合↑ - 温度过低(123K) → 树脂脆化→ 分层抗力↓ → 强度退化。此矛盾关系是低温结构设计的核心约束。 |
✅ 第三层:全局架构与核心精粹
摘要翻译:
低温环境下复合材料力学性能对结构可靠性构成重大挑战。本研究采用原位光纤声发射(AE)技术,系统研究碳纤维增强聚合物(CFRP)层板在123K低温下的弯曲损伤行为,结合模态分解分析与新型深度学习算法建立精损伤识别方法。结果表明:低温环境显著降低损伤起始应变阈值,压缩损伤模式间时间间隔,促进损伤均匀化与机械能耗散。尽管低温增强树脂基体及界面结合,但123K下树脂脆化显著降低抗分层能力,成为强度退化的关键因素。所提方法在不同温度条件下对4类临界损伤模式的分类精度超过99%,有效恢复纤维/基体脱粘和纤维断裂的隐藏信息,为低温工程实时损伤评估建立可靠框架。
结论翻译:
1. CFRP层板弯曲模量在低温下提升10.7%,但强度呈非单调变化(193K最高,较室温提升14.1%)
2. 低温通过微裂纹预存降低损伤起始阈值,加速损伤演化
3. VMD-CNN方法克服传统聚类对界面损伤的误判,确立分层损伤与树脂脆化的直接关联
4. MBFOR传感器与REDNet26模型构成低温损伤监测新范式,推理速度达103 FPS
结构导图:

第二部分:技术解构层
✅ 第四层:理论基石
核心理论体系:
-
1. 声发射(AE)物理机制: -
• 当CFRP发生损伤(裂纹扩展、纤维断裂)时,应变能释放产生瞬态弹性波 -
• 波传播方程式: , 为材料中波速 -
• 关键物理量:振幅(反映事件能量)、峰值频率(与损伤模式强相关)
-
2. 低温材料响应: -
• 树脂基体:温度低于玻璃化转变温度 → 分子链冻结 → 弹性模量 但脆性↑ -
• 界面行为:碳纤维( ) 与环氧树脂( ) 热膨胀系数差异 → 低温收缩应力↑ → 界面结合↑ -
• 分层抗力 (ASTM D5528)在123K骤降
术语深究:
-
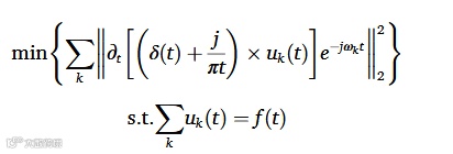
• 变分模态分解(VMD):通过约束优化模型 将信号自适应分解为IMF分量,解决传统EMD的模态混叠问题。 -
• 深度可分离卷积(DSConv):将标准卷积分裂为深度卷积(空间滤波)+ 点卷积(通道组合),计算量降至 ( :核尺寸, :输入/输出通道数)。
类比说明:
就像在嘈杂的会议室分离多人语音:VMD相当于将混合录音分解为独立音轨(IMF),REDNet26则是训练有素的听觉系统,精确识别每位发言者(损伤模式)。
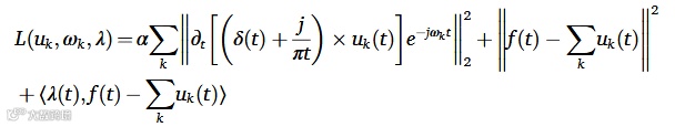
✅ 第五层:数理模型与算法逻辑
1. VMD数学模型
-
• :瞬时振幅(损伤能量包络) -
• :瞬时频率(损伤模式指纹) -
• 实际求解:引入增广拉格朗日函数并通过ADMM迭代优化 -
2. REDNet26架构
-
• 双核心改进: -
• ECA模块:对卷积输出施加通道注意力 ,提升关键特征权重 -
• DSConv层:替换标准卷积,参数量从 降至 -
• 损失函数:带标签平滑的交叉熵 , 为损伤类别数
3. 物理-数据耦合机制

✅ 第六层:工程实现与数据流
数据生命周期:

技术栈:
-
• 传感层:MBFOR传感器 -
• 硬件:光纤解调器(SC4000)+ NVIDIA A5000 GPU -
• 软件:PyTorch实现REDNet26 + MATLAB信号处理
✅ 第七层:结果验证与图表解读
关键图表解析:
| 图表 | 目的 | 内容描述 | 结论 | 逻辑支撑 |
|---|---|---|---|---|
| 图3 |
|
|
|
|
| 图4 |
|
|
|
|
| 图5 |
|
|
|
|
| 图7 |
|
|
|
|
| 表1 |
|
|
|
|
✅ 第八层:思维洞察
隐含假设:
-
1. VMD的预设模态数 要求预先知悉损伤模式种类(需μCT/SEM辅助标定) -
2. 弯曲实验中未考虑热循环累积效应,仅针对静态低温加载
精妙处理:
-
• MBFOR设计:环形单模光纤缠绕芯轴,应力波→芯轴微变形→光纤光程调制,规避压电材料低温失效 -
• 双指标聚类验证:Davies-Bouldin指数(类内紧致度)+Silhouette系数(类间分离度)共同确定最优聚类数
思维转折点:
从"单峰频率"到"全频带解耦":传统方法依赖峰值频率( )定义损伤模式→本文发现 忽略低能成分→通过VMD解析全频域IMF分量→实现混合信号能量精确归因,颠覆界面损伤贡献量化认知(图10)。
局限性与批判:
-
1. 泛化性局限:模型在新型编织CFRP(非平纹)中尚未验证 -
2. 实时性缺口:REDNet26虽达103 FPS,但VMD分解延时不明确,离在线监测尚有差距
✅ 第九层:知识迁移与拓展
可迁移方法论:
-
1. 多模态传感融合框架:MBFOR + VMD + 轻量化CNN可扩展至其他极端环境(高温/辐照)损伤监测 -
2. 损伤量化新准则:累计能量占比优于传统事件计数,建议替代现行ASTM E976标准 -
复现与改进路径:

改进方向:
-
1. 嵌入式部署:将VMD-REDNet26移植至FPGA,实现μs级在线推断 -
2. 多物理场耦合:结合温度-应变场数据,构建低温损伤相图 -
3. 数字孪生应用:集成有限元模型(Abaqus)开发预测性维护系统
📌 本论文的通用知识迁移总结
| 范畴 | 可迁移知识要点 |
|---|---|
| 材料损伤机制 |
- 界面结合↑但分层抗力↓的竞争关系模型 |
| 传感技术 |
|
| 信号处理 |
|
| 深度学习优化 |
|
| 验证方法 |
|

