石墨烯作为一种典型的二维电子材料,在光电子领域也有着巨大的应用前景。近日,来自中国复旦大学和英国剑桥大学领衔的两支科研团队,分别采用离子液体和背栅电压的调制手段,独立报道了他们在石墨烯可调式非线性光学响应方面的最新研究成果,实现了三次谐波产生等非线性光学现象的增强效果,相关研究分别发表在同一天的Nature Photonics和Nature Nanotechnology上。

非线性光学在激光技术、材料加工和通信等许多领域都有着非常重要的应用,例如光学参量放大器(OPA)、宽带可调式超短脉冲激光器(飞秒至皮秒)和参数振荡器(OPO)等。高次谐波的产生也常常被应用于极紫外光和阿秒(attosecond)脉冲激光,而不同频段的光子产生可以使相关应用拓展到太赫兹范围,甚至覆盖大部分电磁波谱,这对丰富和发展光谱学探测技术至关重要。在通信领域,基于四波混频(Four-Wave-Mixing,FWM)原理的非线性效应在波分复用方面也有着广泛的应用。
近年来,随着纳米光子学技术的长足发展,片上(on-chip)集成的非线性光学材料及其器件逐渐成为业界研究的重点。因此,通过栅极电压等外界调控手段,实现对纳米材料的非线性光学响应控制将使得具有新功能的紧凑纳米光子学器件应用成为可能。
石墨烯由于具有独特的线性无能隙二维能带结构,其电子性质接近理想的无质量狄拉克费米子,因而表现出较强的光电耦合性质。线性的能带结构可使得石墨烯产生从太赫兹、红外到可见光和紫外线都具有带宽很大的光谱响应,并允许通过栅极电压等方式调节载流子密度以及化学势(或费米能级),改变石墨烯match中的带内match和带间跃迁,从而达到在选定的光谱范围内控制其光学性质的目标。这一系列独特的性质,使得石墨烯在光电子和光子学等多个领域具有潜在的应用前景。
在非线性光学方面,由于石墨烯的六角蜂窝状结构具有反演对称性,二阶非线性效应往往是被禁止或极其微弱的。然而,以往的研究表明在石墨烯中可以观察到三次谐波产生(Third-Harmonic Generation,THG)、四波混频(FWM)、光学克尔效应、自相位调制甚至高次谐波产生,显示出石墨烯在非线光学应用方面的潜力。然而,截至目前,单层石墨烯中的可调三阶非线性效应的证据仅限于窄带和较弱增强的增强效果,尚未从实验上得到充分的证实,限制了相关非线性器件的实际应用。
最近,来自复旦大学的吴施伟教授、刘韡韬教授、沈元壤教授、资剑教授领衔的研究团队,联合中科院长春光机所的程晋罗、中国科学技术大学的曾长淦教授、北京大学的刘开辉研究员和加拿大多伦多大学的J. E. Sipe教授,利用离子凝胶技术(ion-gel)实现了石墨烯中三阶非线性和四波混频非线性光学现象的电学调控和增强效应,并通过理论推导揭示其内在的物理机制,研究成果以“Gate-tunable third-order nonlinear optical response of massless Dirac fermions in graphene”为题在Nature Photonics上on-line发表。
恰巧在同一天,来自剑桥大学的Andrea C. Ferrari教授领衔的研究团队、意大利技术研究院、米兰理工大学等科研单位,利用背栅电压调制技术实现了石墨烯三阶非线性效应的宽光谱电场可调,通过控制石墨烯费米面和入射光子的能量,实现了两个数量级的效率增强,并将其归因于共振型多光子跃迁(resonant multiphoton transition)。研究成果以“Broadband, electrically tunable third-harmonic generation in graphene”为题在Nature Nanotechnology上on-line发表。
match
敲黑板!划重点!研究内容大揭秘!
Gate-tunable third-order nonlinear optical response of massless Dirac fermions in graphene

图1、a.基于离子凝胶调控技术的石墨烯场效应晶体管器件示意图;b.石墨烯电阻与栅电压Vg的测量曲线;c.不同栅电压调制下的石墨烯透射光谱;d.石墨烯线性能带中的带间光电子跃迁示意图。
如图1a所示,研究人员在石墨烯制备的场效应晶体管微型器件中,采用离子凝胶(ion-gel)的栅电压调控方法实现了对石墨烯费米面和化学势μ的调控。这种器件能够测量石墨烯在室温下的线性和非线性光学响应,并原位监测化学势μ与栅极电压Vg的关系。在特定的光波频率下,光电子跃迁将会因为泡利原理而被抑制(图1d),从而产生了不同费米面调制下的透射光谱台阶状曲线,从另一个角度验证了该石墨烯器件光学特性的电场可调控特性。

图2、a.飞秒脉冲激光垂直入射后的三次谐波THG测量信号;b.不同化学势μ和光子能量下的THG信号强度;c.不同激发光波长入射时,THG信号与化学势μ的关系;d & e. THG信号随入射光线性偏振与器件特征方向角的极坐标图。
研究团队采用线性偏振的飞秒脉冲激光器作为入射光源,观测到了受化学势μ和入射光子能量调控的石墨烯三阶非线性效应(THG),如图2所示。具体来说,当入射光波长为1556nm(对应的光子能量为0.794 eV)时,发现加载外界电场、实现绝对值为2μ(μ=-0.74eV)的化学势改变后,THG信号实现了约30倍的增强效应,并且在特定区域呈现出“肩形”(shoulder-like)上升曲线,反映了THG效应背后的共振型电子跃迁机制。此外,他们还通过调整入射光的偏振角度研究了THG效应的偏振依赖性,发现三次谐波的产生与石墨烯的D6h结构对称性息息相关,这与理论预期一致。

图3、a.四波混频电子跃迁过程示意图;b. 433 nm处的3ω2、400 nm处的ω1+2ω2以及371 nm处的2ω1+ω2过程所对应的四波混频光谱;c. 867 nm处的2ω1−ω2过程以及d. 1566 nm处的2ω2−ω1过程;e. ω1+2ω2 (黑色) 以及2ω1−ω2 (红色)过程产生的四波混频信号与2μ的依赖关系;f. 2ω1−ω2 (黑色)与2ω2−ω1 (蓝色)过程产生的四波混频信号与2μ的依赖关系。
作者还系统地测量并分析了电场调控下的四波混频现象,主要包括几种典型的合频(sum-frequency mixings, SFM)和差频(difference-frequency mixings, DFM)过程。研究发现,SFM过程在|μ| = 0.73 eV的信号峰值比μ = 0 时的有显著增强,但是DFM过程所对应的峰值则显示出相反的趋势。同时,SFM过程也表现出与SHG信号类似的“肩形”上升曲线以及与化学势2μ的台阶状依赖关系。

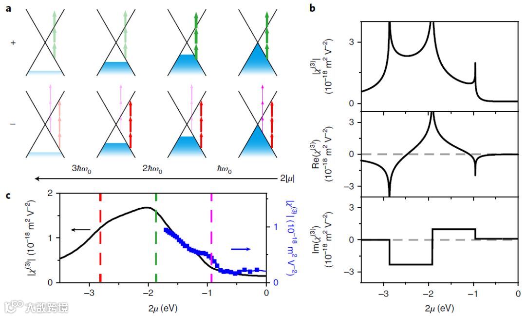
图4、a.电场调节化学势μ对非线性电子跃迁机制的影响示意图;b.三阶非线性磁化率与化学势依赖关系的理论计算结果;c.实验数据(蓝点)与理论计算结果(黑线)的对比图。
为了更好地理解电场调制下的石墨烯非线性光学响应背后的物理机制,研究团队还采用数学解析的方法阐释了THG和FWM现象及其与化学势的依赖关系。理论计算结果与实验测量值保持一致,展现出理论模型对描述石墨烯非线性过程的准确性和可靠性,可以为等效二阶非线性现象、乃至更高阶的光学非线性效应的理解与预测提供强有力的理论支撑。
02
Broadband, electrically tunable third-harmonic generation in graphene

图5、a.蓝宝石衬底上利用CVD制备的单层石墨烯;b.基于背栅电压调控的石墨烯场效应晶体管器件;c.费米能EF下的三阶非线性光电子跃迁机制示意图。
与上一篇文章不同的是,该工作采用了SiO2/Si基底的背栅电压调节的方式调控单层石墨烯的费米能EF。如图5所示,通过微纳加工制备Au源/漏电极、以高导电Si衬底作为背栅极,制备出了背栅电压调制的石墨烯场效应管器件。为了研究SHG的宽光谱响应性质,他们选择了入射光约为0.4–0.7 eV的能量范围,对应的三阶非线性光能量为1.2–2.1 eV。

图6、石墨烯器件三阶非线性光学响应的光学检测示意图。
为了研究石墨烯器件的三阶非线性光学响应,研究人员搭建了如图6所示的超快光谱分析系统。光源采用波长800nm、脉冲宽度为150飞秒、重复频率80MHz的飞秒脉冲激光器,经光学参量振荡器(OPO)后产生波长为1.7-4微米的宽谱可调谐红外激光,从而确保了能在0.4–0.7 eV对应能量的光谱范围内研究石墨烯的宽谱非线性特性。

图7、a.蓝宝石衬底上石墨烯的THG信号,入射光能量为~0.4-0.7 eV;b.蓝宝石上石墨烯的THG信号与入射光能量的依赖关系;c.不同费米能EF对应下的三阶非线性光学响应信号;d.石墨烯场效应器件的THG信号以及源-漏电流与栅极电压的依赖关系。
通过对不同波长入射光所产生的THG信号的分析,发现当入射光子能量从0.7 eV下降至0.4 eV后,THG信号得到了约75倍的增强(图7a & b),这主要与费米能EF以及对应的电子温度Te有关,光电子跃迁机制可以较好地解释这一现象。此外,他们通过调节器件的背栅电压,实现了对费米能的调节,进而观测到THG效应与费米能的依赖关系(图7c & d)。通过细致地调节费米能的位置,可以在EF=-0.6 eV附近实现THG信号20倍的增强。进一步更为细致的研究发现,三阶非线性响应的效率与入射光光强的平方成正比,因此不同情形下得到的THG效率与平均功率、光斑大小、脉冲宽度等诸多因素有关,不同实验间效率值是往往具有不可重复性。
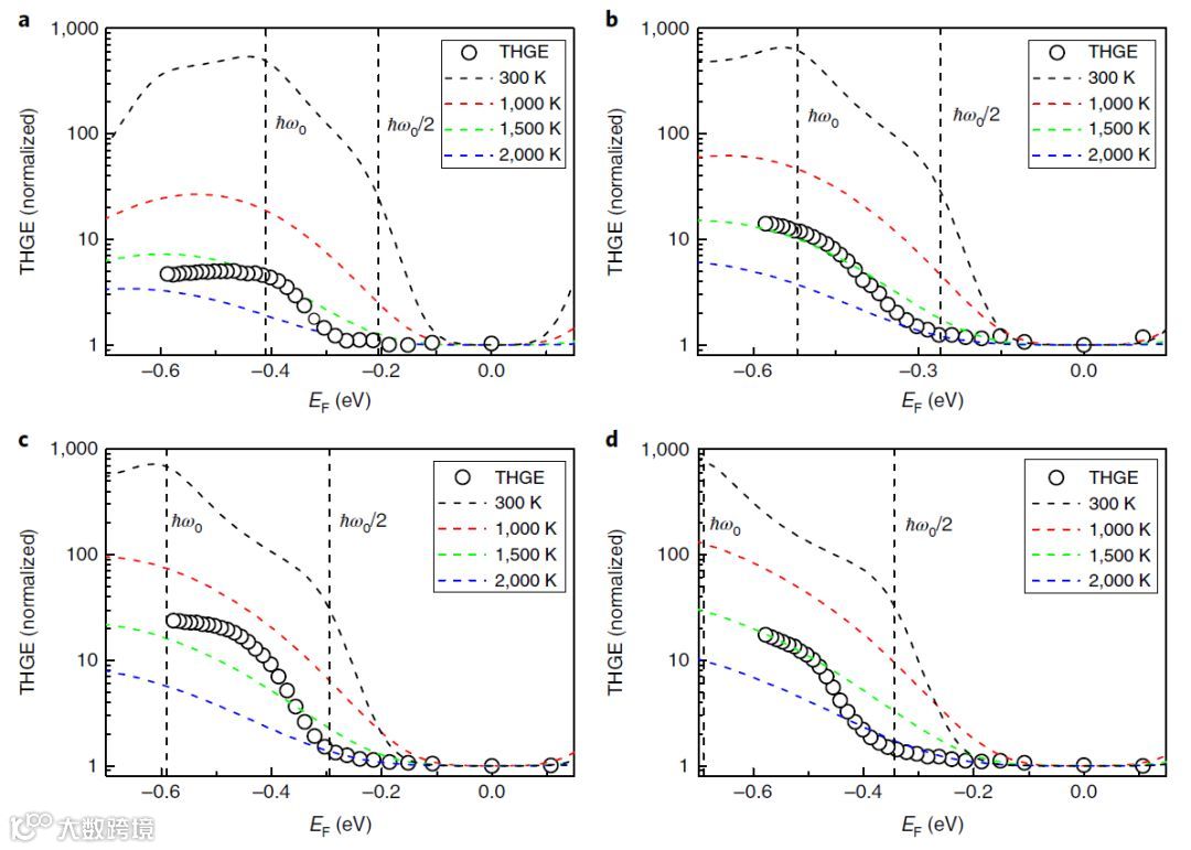
图8、a-d.入射光能量分别为0.41, 0.52, 0.59和0.69 eV 时的THG效率与费米能的依赖关系。圆环为实验值,虚线为不同电子温度Te下的理论计算值。
此外,本论文还考虑了电子温度Te对THG效率的影响(图4),实验数据与理论计算结果展现出同样的费米能依赖关系。可以发现,随着电子温度的升高,栅电压调制所引起的THG效率增强效果将会随之降低。对于EF较小的栅电压区间,实验值与理论值都存在一个较低的平台特征(plateau-like feature)对应于电子的带间跃迁。随着EF数值的增大,THG效率也逐渐升高、并达到最高值。该研究为基于石墨烯的新型非线性光子器件铺平了道路,THG非线性光学响应具有栅电压可调性,其低维特征可用于实现光通信和信号处理的片上方案,具有广阔的应用前景。
参考文献:
1. Tao Jiang, Di Huang, Jinluo Cheng, Xiaodong Fan, Zhihong Zhang, Yuwei Shan, Yangfan Yi, Yunyun Dai, Lei Shi, Kaihui Liu, Changgan Zeng, Jian Zi, J. E. Sipe, Yuen-Ron Shen, Wei-Tao Liu & Shiwei Wu, Gate-tunable third-order nonlinear optical response of massless Dirac fermions in graphene, Nature Photonics (2018). doi:10.1038/s41566-018-0175-7
2. Giancarlo Soavi, Gang Wang, Habib Rostami, David G. Purdie, Domenico De Fazio, Teng Ma, Birong Luo, Junjia Wang, Anna K. Ott, Duhee Yoon, Sean A. Bourelle, Jakob E. Muench, Ilya Goykhman, Stefano Dal Conte, Michele Celebrano, Andrea Tomadin, Marco Polini, Giulio Cerullo & Andrea C. Ferrari, Broadband, electrically tunable third-harmonic generation in graphene, Nature Nanotechnology (2018). doi:10.1038/s41565-018-0145-8
look here!

有木有觉得干货满满!
有木有感受到我们大大的诚意!
点赞分享关注,统统行动起来吧!
作者:颜学俊
排版:Jane周

免责声明:本文旨在传递更多科研信息及分享,提供志同道合者的交流平台。如涉及侵权,请联系下方邮箱,我们将及时进行修改或删除。转载请注明出处,如原创内容转载需授权,请联系下方微信号。
邮箱:zunzun@imeta-center.com
微信号:Jessica_2313

