
——前言——
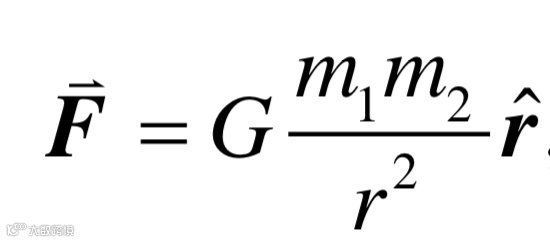
妇孺皆知的故事:300多年前,牛顿在苹果树下被苹果砸中,因而提出的著名的万有引力。1687 年, 牛顿在《自然哲学的数学原理》(Mathe-matical Principles of Natural Philosophy)一书中系统地介绍了万有引力定律, 其内容如下: 宇宙间任何两个质点都存在相互吸引力, 其大小与两质点的质量 m1, m2 乘积成正比, 与它们之间距离 r 的平方成反比, 用数学表示为:

式中的比例系数G称为万有引力常数(Universal Gravitational Constant)。它是一个普适常数, 不受物体的大小、形状、组成等因素的影响(科学家惹不得,被苹果砸了一下能搞出这么多事)。公式中其他物理量都好办,就是万有引力常数G不好搞定。牛顿奇思妙想,提出个G,可苦了300多年来的科学家们,他们对G值准备测量的努力就一直没停过。
万有引力常数G提出的一百多年后,卡文迪许利用扭秤实验,巧妙的测出G值。1798 年, Cavendish 在当时的英国皇家协会会刊(哲学)(Philos Trans R Soc London)上发表了题为“地球密度的实验确定”(Experiments to Determine the Density of the Earth)的著名文章. 他在文章中介绍了如何使用 Michell 制作的扭秤(Torsion Balance)研究实验室内两物体之间的万有引力, 并首次精确地给出地球的密度是水的密度的5.48倍这一结论, 后人由此给出该实验对应的G值为:
G=(6.67+ 0.07)×1011 m3 ·kg-1 ·s-2
因 此 , 我们常说Cavendish 是历史上第一个“称量”了地球质量的人,他也因此成为历史上第一个测量万有引力常数 G 的科学家。
在过去的200多年中, 人们在万有引力常数G的测量过程中付出了极大的努力, 但引力常数 G 测量精度的提高却非常缓慢, 几乎是每一个世纪才提高一个数量级。这一领域的研究进展之所以如此缓慢,其原因是众所周知的。 首先, 万有引力是自然界四种基本相互作用力中最微弱的。例如, 一个电子与一个质子之间的电磁相互作用约是它们之间的万有引力相互作用的1039倍。微弱的引力信号极易被其他干扰信号所湮没, 因此在实验中必须克服电磁力、地面振动、温度变化等因素对实验的干扰, 测量必须在一些 采取特别措施的实验室进行。 其次, 万有引力是不可屏蔽的, 因此检验质量必然会受到除了实验专门设置的吸引质量以外的其他物体的引力干扰, 比如实验仪器、实验背景质量、实验人员等。另外, 移动的质量体, 如实验室附近驶过的车辆以及行人都会给 实验带来引力扰动. 即使在十分偏僻安静的实验室,云层气压、雨雪等天气的变化等都会干扰测量结果.第三, 到目前为止, 还没发现G与任何其他基本常数之间存在确定的联系, 因此不可能用其他基本常数来间接确定 G 值, 只能根据牛顿万有引力定律。第四,实验精度受到了测量仪器精度的限制。目前 G 的测量精度基本上代表了现有机械加工与测量的水平。最后, 用于探测微弱引力的工具, 如各种形式的扭秤。

共同第一作者:Qing Li, Chao Xue, Jian-Ping Liu, Jun-Fei Wu
共同通讯作者:Shan-Qing Yang;cheng-Gang Shao;Jun luo
DOI:10.1038/s41586-018-0431-5
在最新一期的Nature正刊中,来自武汉华中科技大学的罗俊教授课题组采用扭秤周期法和扭秤角加速度补偿法,测定出更为精确的G值,分别为:6.674184 × 10−11和 6.674484 × 10−11m3· kg-1 ·s-2;误差值在百万分之11.64,11.61。这一数值是目前所知最小误差值。
——图文快解——

图 1 装置示意图

图2 各种参数对测量的影响

图3 测量结果精度对比

图 4 测量装置
——课题组简介——

罗俊,男,汉族,1956年11月出生,湖北仙桃人,中共党员。引力物理专家,博士生导师,长江特聘教授。2009年当选为中国科学院院士。2010年7月任华中科技大学党委常委、副校长。2013年7月任华中科技大学党委常委、常务副校长。
1982年毕业于华中工学院物理化学系获学士学位,1985年获该校硕士学位,1999年获中国科学院测量与地球物理研究所博士学位。
长期从事引力实验的精密测量物理研究,开展了牛顿万有引力常数G的精确测量,实验结果被国际科技数据委员会(CODATA)基本物理常数任务组收录;开展了光子静止质量的实验检验,实验结果被国际粒子物理数据组(PDG)收录;开展了亚毫米范围牛顿反平方定律的实验检验,实验结果得到国际同行认可;与他人合作开展了宏观旋转物体等效原理的实验检验等基础科学研究。
文章来源:研之成理
https://www.nature.com/articles/s41586-018-0431-5
友情提示:点击下面“阅读原文”即可转到原文地址查看原文

两江科技评论
精彩回顾
3. 科技快讯丨新型语音智能交互系统——贴在皮肤上的扬声器和麦克风
4. 科技快讯丨癌症无创诊断的新方法——高分辨“超透镜”光学内窥镜
5. 芯片级的单光子量子光源
6. 发现拓扑表面态负折射效应——《自然》刊登武汉大学刘正猷-邱春印团队最新研究成果
8. “超材料前沿研究”一周精选 [2018.7.30-8.5]
编辑:方 轲
审核:颜学俊

免责声明:本文旨在传递更多科研信息及分享,提供志同道合者的交流平台。如涉及侵权,请联系下方邮箱,我们将及时进行修改或删除。转载请注明出处,如原创内容转载需授权,请联系下方微信号。
邮箱:zunzun@imeta-center.com
微信号:Maysun1992

