通知:3月26日法国两院院士Mathias Fink学术报告视频,高清无损版本现已于百度云盘上传完毕,自取方式见文末。
撰文 | 曹则贤(中国科学院物理研究所)
来源 | 返朴
说起爱因斯坦,人们总是将这个伟大的名字与相对论相提并论。爱因斯坦是创立相对论的主角,相对论打上了深深的爱因斯坦烙印,这都没错。但是,这种观点造成了两方面的误解。
第一个是容易让人们误以为相对论是爱因斯坦一人创立的。读过笔者的《相对论英雄谱》以后,相信人们应该不再会抱有这样的观念了。物理学是一条思想的河流,如相对论这样的近代物理学支柱型的理论体系,其思想之深度与广度都决定了创立它的事业远超出单个天才的能力。这几乎应该是个显而易见的道理。然而,确实长期有人宣称至少广义相对论之建立是爱因斯坦一人之功,而相当长一段时间内笔者对这种论调也是信以为真的。在浏览过相对论的内容、阅读过相应内容的经典文献后,笔者得出的结论是,相对论是浪漫的拉丁文化和严谨的德意志文化结合的产物,某种意义上说前者似乎应占更大的比重。德国南部出生、和父母一起在意大利北部住过一段时间、在瑞士完成中学和大学教育并迈出研究第一步的爱因斯坦,无疑地深受这两种文化的熏陶与影响。罗素说,一个伟大的思想会模糊地出现在同时代许多人的头脑中,然后在某个人的头脑中一下子结晶出来。考察相对论与爱因斯坦的关系,会发现罗素的这个说法太有道理了。
可能的误解之二是人们会误以为相对论是爱因斯坦唯一的物理学成就。笔者甚至以为这个误解是确凿的——即便是物理系的学生,对爱因斯坦在相对论以外的众多成就也知之甚少。其实,爱因斯坦是热力学和统计物理领域的拓荒者,是当之无愧的量子力学奠基者之一。以笔者愚见,从1877年玻尔兹曼大胆假设有能量单元开始,到1905年爱因斯坦假设光的能量以能量单元形式被吸收从而解释了光电效应的实验曲线,中间唯有普朗克一人而已。有一种说法,不计相对论,爱因斯坦凭借其它的学术成就在当代物理学家中也依然排在最前面。这话我信。爱因斯坦除了对狭义相对论的贡献和构建广义相对论外,他在量子力学和统计物理方面的成就也是深刻的、开创性的。爱因斯坦在相对论之外的物理学成就可简单罗列如下:
1827年,英国植物学家罗伯特·布朗观察到液面上悬浮的花粉作激烈的无规运动,此即布朗运动。布朗运动,Brownian motion,还有个西文名称叫 pedesis (πήδησις ),与“脚”是同源词。长脚的东西,当然乱蹦乱跳啦,用来指代各种微观颗粒的无规运动很形象。1905年,爱因斯坦发表了一篇研究布朗运动的文章[1],指出布朗运动可看作是分子 (字面意思“一小堆”) 存在的证据。文章的一个重要结果是爱因斯坦关系
,其中 D 是宏观的扩散系数,μ 是微观的迁移率。这个关系是对统计物理思想的大力支持。笔者甚至想,倘若玻尔兹曼看到过这个小青年爱因斯坦的文章,或许在1906年就不会选择自杀。
光电效应的研究缘起1887年赫兹产生电磁波的实验。接收电磁波所使用的锌球在不同光照条件下的行为引起了光照射金属的电子发射研究。研究发现,自金属中出射的电子的动能与光的频率有关。当频率小到一定值后,虽然光的强度足够大却依然没有电子逸出。这个现象让当时的物理学家很困惑。1905年,爱因斯坦接受普朗克的光能量量子的概念,并假设固体吸收光是以能量量子的形式进行的。这样从光照下金属逸出的电子,其动能就由公式
给出, Φ 是电子从金属表面逸出所需的最低能量,取决于具体的金属。这个线性公式完美地解释了光电效应的实验结果[2]。爱因斯坦1922年获诺贝尔物理奖的理由就是这个工作。
1906年,爱因斯坦假设晶体中的原子都是独立的谐振子,所有原子用同一频率振荡,基于此得到了固体比热的量子表述 (不是量子力学表述。此时还没有量子力学这个词)[3]。该比热的量子表述在高温处再现了固体比热的 Dulong-Petit 定律。爱因斯坦假设的原子振动频率,可换算为一个温度,
,被称为爱因斯坦温度。这个工作,以及他关于光电效应解释,都是量子概念终于被接受的理论基础。
1917年,仅在发表广义相对论一年后,爱因斯坦提出了受激辐射的概念[4]。 考察一个两能级的体系,低能级上的电子吸收能量为
的光子会跃升到高能级,高能级上的电子会自发跃迁到低能级上发出能量为
的光子。那么,光场对高能级上的电子会有什么影响?爱因斯坦认为能量为
的光子会刺激(stimulate)电子向下跃迁,发出一个和激励光子频率、方向完全相同且有固定位相差的光子。重要的是,对于描述吸收过程中的爱因斯坦系数 B12 和描述受激辐射过程中的爱因斯坦系数 B21 ,爱因斯坦认定
。 如此认定是基于对 principle of reciprocality 的信仰。得出这一结果靠的不是推导而是哲学。Principle of reciprocality,互反性原理,笔者曾称之为对称性之上的对称性(物理学咬文嚼字078)。基于受激辐射的概念,后来人们成功获得了激光。

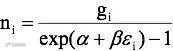
爱因斯坦关于玻色-爱因斯坦统计的工作非常具有传奇色彩。1924年,印度人玻色(Satyendra Nath Bose, 1894 -1974)在假设光量子有子能级(sublevels)的前提下得出了黑体辐射公式。与普朗克的黑体辐射公式(能量谱密度为
)相比,玻色的公式
多了两项内容:1) 分子上的 gi 至少应该是2。后来确定对所有能级 gi 是一样的,对光子来说g=2;2) 分母的指数函数的指数中多了一项和粒子数对偶的 α ,此即所谓的化学势。欲使该公式同普朗克的公式等同,则要求
,这就是所谓的光子气化学势等于0的由来。 因此,最终的黑体辐射谱密度公式为
。信心满满的玻色把文章投给英国的哲学杂志(philosophical magazine),被拒稿。玻色转而把文章寄给爱因斯坦请求评判,并写道:您若认为文章是对的请您把它翻译成德语发表在德国的杂志上(印度人的自信非常值得我们学习)。爱因斯坦果然照做,把文章翻译成德语,并写了个纸条说这个工作很有意思我也将接着这个思路做点工作云云。这就是玻色-爱因斯坦统计的第一篇文章[5]。 爱因斯坦发现,玻色的统计可用于原子气体,他自己于1924年发表了《单原子理想气体的量子理论》一文[6], 并有了玻色-爱因斯坦凝聚——即所有玻色子占据最低能级的状态——的概念。玻色-爱因斯坦凝聚需要极低的温度,故迟至1995年才在实验室实现。注意,是激光让玻色-爱因斯坦凝聚的实现成为可能。此外,当年爱因斯坦向薛定谔提议,可以考虑盒子里的粒子,每个粒子联系上一个独立的谐振子,将这些谐振子量子化,每个能级上的占据数是那个盒子里的粒子数(许多量子力学或者量子统计的书里也没说是谁提议这么干的,为啥这么干,让笔者误以为真有这么个谐振子,疑惑了好多年!),如此可再现玻色-爱因斯坦统计。薛定谔依法炮制,果然。此即所谓二次量子化之滥觞。
可以说,爱因斯坦对热力学、统计物理非常娴熟,他在量子论方面的工作多是和热力学、统计物理有关的。其实,一点也不奇怪。热力学是量子理论的来源之一,那个量子力学的奠基人之一,量子力学始终顶着他的标签那个人,普朗克, 就是最优秀的热力学老师。在普朗克把热力学主方程
写成
的那一刻,量子力学的胎动开始了。爱因斯坦和普朗克,某种意义上是互为 dual (对偶)的科学家,爱因斯坦的量子力学方面的工作成就了贴上普朗克标签的量子力学,而普朗克的系列工作又成就了贴上爱因斯坦标签的狭义相对论。

爱因斯坦与普朗克
顺便说一句,相对论的精神楷模就是热力学。那是从基本原理出发建立理论体系的勾当,是理论物理的最高境界。
1879年
爱因斯坦于该年3月14日出生于德国南部小镇乌尔姆;
1880年
爱因斯坦举家迁往慕尼黑;
1885-1894年
慕尼黑,小学和中学;
1894年
爱因斯坦父母迁往意大利米兰,半年后爱因斯坦中学肄业也去到意大利帕维亚和父母相聚;
1895-1896年
瑞士阿劳中学;
1896-1900年
瑞士联邦工学院上大学;
1901-1902年
1903年
和朋友Conrad Habicht,Maurice Solovine组建小团体奥利匹亚学院;

1904年,25岁的爱因斯坦
1905年
该年为爱因斯坦奇迹年。一年中爱因斯坦发表了关于布朗运动、光电效应实验的解释、运动物体的电动力学等论文,获苏黎世大学博士学位;
1906年
固体比热量子模型;
1907年
表述等价原理;
1908年
获聘伯尔尼大学讲师;
1909年
获聘苏黎世大学理论物理助理教授;
1911年
计算光的引力弯曲;
1911-1912年
捷克布拉格日耳曼大学物理教授;
1912-1914年
瑞士联邦工学院物理教授;
1914年
德国柏林大学物理教授,选为普鲁士科学院院士;
1915年
完成广义相对论架构;
1916年
广义相对论正式发表;
1917年
任柏林威廉皇帝研究所主任,为引力场方程引入宇宙常数项;
1919年
英国人宣称爱因斯坦基于广义相对论的引力弯曲计算正确;
1921年
访美并在普林斯顿大学讲授相对论;

1921年的爱因斯坦
1922年
发表第一篇统一场论论文,获补选的1921年度诺贝尔物理奖;访日途中在中国短暂停留;
1924年
拓展玻色的研究,建立玻色-爱因斯坦统计和玻色-爱因斯坦凝聚;
1927年
在这一段时间研究量子力学;
1933年
移民美国;
1935年
发表论量子力学不完备性的EPR悖论;
1936年
提出引力透镜概念;
1952年
以色列邀其任总统,拒绝;
1955年4月18日凌晨1时15分
这颗伟大的心脏停止跳动。爱因斯坦一生享年76岁。

参考文献
1.Albert Einstein, Über die von der molekularkinetischen Theorie der Wärme geforderte Bewegung von in ruhenden Flüssigkeiten suspendierten Teilchen (论热之分子理论所要求的平静液面上悬浮颗粒的运动),Annalen der Physik 322 (8), 549–560 (1905).
2.Albert Einstein, Über einen die Erzeugung und Verwandlung des Lichtes betreffenden heuristischen Gesichtspunkt (论一种同光之产生和转换有关的启发性观点) ,Annalen der Physik 322 (6): 132–148(1905).
3.Albert Einstein, Theorie der Strahlung und die Theorie der Spezifischen Wärme, Annalen der Physik 327, 180–190 (1907).
4.Albert Einstein, Zur Quantentheorie der Strahlung (关于辐射的量子理论), Physikalische Zeitschrift 18,121–128(1917).
5. S. N. Bose, Plancks Gesetz und Lichtquantenhypothese (普朗克定律与光量子假说),Z. Phys. 26, 178–181 (1924).
6.Albert Einstein, Quantentheorie des einatomigen idealen Gases, Sitzungsberichte der Preussischen Akademie der Wissenschaften, Physikalisch-Mathematische Klasse,261–267(1924).
法国两院院士Mathias Fink学术报告视频提取方式:
1.点击文末阅读原文,提取码:8J91
2.点开下方图片,长按识别即可


长按二维码
关注我们吧
两江科技评论编辑部

免责声明:本文旨在传递更多科研信息及分享,提供志同道合者的交流平台。如涉及侵权,请联系下方邮箱,我们将及时进行修改或删除。转载请注明出处,如原创内容转载需授权,请联系下方微信号。
邮箱:janechou@imeta-center.com
微信号:18305163023


