江南大学张晓鸣教授团队/课题组:美拉德反应过程中外源木糖通过与单糖基化Lys-ARPs之间的相互作用加速二糖基化赖氨酸的降解
Journal of Agricultural and Food Chemistry.
●英文文章题目:Accelerated Degradation of DiXyl-α,ε-Lys-ARP via Interaction between Extra-Added Xylose and Mono-substituted Lys-ARPs during Maillard Reaction
●期刊名称:Journal of Agricultural and Food Chemistry
●第一作者:张涵,江南大学食品科学与工程专业在读博士
●共同通讯作者:张晓鸣,江南大学食品学院教授;Chi-Tang Ho,RUTGERS, THE STATE UNIVERSITY OF NEW JERSEY, distinguished professor.
背景、目的:Amadori(ARPs)是在美拉德反应(MR)的初始阶段通过席夫碱重排形成的。虽然ARPs本身不表现出任何气味,但在其降解过程中会通过糖基的重排形成了1-脱氧糖酮(1-DX)和3-脱氧糖酮(3-DX)。DXs可以进一步通过逆醛化分解成较短链的活性α-二羰基化合物,如甲基乙二醛(MGO)和乙二醛(GO),从而产生风味和褐变。在我们之前发表的研究中,发现在赖氨酸-木糖(Lys-Xyl)美拉德系统中最初形成了两种单糖基化Lys-ARP(Xyl-α-Lys-ARP和Xyl-ε-Lys-ARP),它们仍含有一个游离的活性氨基,可与Xyl进一步反应生成diXyl-α,ε-Lys-ARP(二糖基化Lys-ARP)。如果按照假设,diXyl-α,ε-Lys-ARP最初被水解为Xyl-α-和Xyl-ε-Lys-ARP,然后才能进一步降解形成下游的二羰基化合物。研究显著影响这些反应之间的化学平衡转移和diXyl-α,ε-Lys-ARP降解行为的动力学参数至关重要,这项研究可以为进一步探索Lys-ARPs在风味形成中的潜力提供理论基础。
● (点击页面左下角阅读原文,直达文献页面)
成果介绍
图1:图文摘要
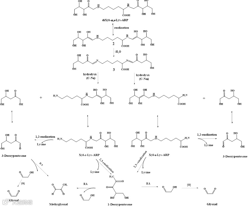
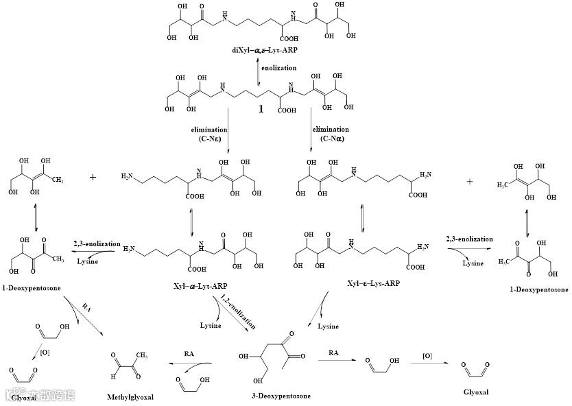
赖氨酸(Lys)能够与木糖(Xyl)形成二糖基化的Amadori重排产物(ARP),称为diXyl-α,ε-Lys-ARP。DiXyl-α,ε-Lys-ARP的降解过程分为两个步骤:首先,通过在相应的烯醇和亚胺中间体的特定Nα/Nε位置的消除或水解形成Xyl-α-和Xyl-ε-Lys-ARP,这些产物进一步降解为二羰基化合物并释放出再生Lys。
(A)
(B)
图2. diXyl-α,ε-Lys-ARP 降解过程中可能的反应途径:途径 A (A) 和途径 B (B).
Xyl-α-或Xyl-ε-Lys-ARP具有活性的游离氨基(ε-NH2或α-NH2),这两者仍然具有很高的反应活性,并且能够继续与Xyl发生反应。因此,建立了diXyl-α,ε-Lys-ARP和diXyl-α,ε-Lys-ARP/Xyl模型,以探究在有无外源Xyl存在的情况下体系内三种Xyl-Lys-ARPs浓度的变化。特别是通过监测美拉德反应热降解不同阶段的各种特征性下游产物的动态变化,来阐明外源Xyl对diXyl-α,ε-Lys-ARP降解路径的影响。
研究表明,外源Xyl通过捕获Xyl-α-和Xyl-ε-Lys-ARP再生diXyl-α,ε-Lys-ARP,显著影响了diXyl-α,ε-Lys-ARP的降解途径。这种Xyl与单取代Lys-ARP的相互作用促进了化学平衡向diXyl-α,ε-Lys-ARP降解方向的转移,从而加速了其降解速率。这种降解在升高的温度和pH值下显著加快。有趣的是,在diXyl-α,ε-Lys-ARP降解过程中,Xyl-α-和Xyl-ε-Lys-ARP的产率特别依赖于pH值。在pH值为5.5-7.5时,Xyl-ε-Lys-ARP是主要产物,而在弱碱性条件下,Xyl-α-Lys-ARP的含量相对较高,这与不同反应条件下Nα/Nε位置的反应活性有关。
图3:80 oC和100 oC条件下pH 5.5~9.5(A~C)下有无外源Xyl时diXyl-α,ε-Lys-ARP的消耗情况;80 oC(D~F)和100 oC(H~J)条件下pH 5.5~9.5下有无外源Xyl时diXyl-α,ε-Lys-ARP降解过程中Xyl-α-Lys-ARP和Xyl-ε-Lys-ARP浓度变化情况
图4:不同反应温度(80 oC 和 100 oC)下外源Xyl 对diXyl-α,ε-Lys-ARP不同降解阶段特征中间体生成的影响:(A)3-DX,(B)1-DX,(C)GO,(D)MGO;不同pH条件下(5.5、7.5和9.5):(E)3-DX,(F)1-DX,(G)GO,(H)MGO
● 创新性/应用前景
本研究首次详细探讨了赖氨酸-木糖美拉德反应体系衍生的diXyl-α,ε-Lys-ARP的两步降解机制,并揭示了在美拉德反应中影响diXyl-α,ε-Lys-ARP降解速率的关键因素。此外,本文还探究了外源木糖如何影响diXyl-α,ε-Lys-ARP热降解过程中的化学平衡和反应路径,阐明其影响机制。研究结果将为在Lys-ARPs热处理过程中预期、理想的风味和色泽的受控形成提供理论基础,从而有助于改善食品的最终感官质量。
参考文献
https://doi.org/10.1021/acs.jafc.4c05736
专家/团队介绍
Chi-Tang Ho教授,曾为美国化学协会-农业及食品化学分会主席,现任罗格斯大学食品科学系终身教授,杰出科学家。至今已获超10项奖项,包括国际营养食品和功能食品学会终身成就奖、美国化学学会农业和食品化学应用促进奖和农业和食品化学司杰出服务奖等。Chi-Tang Ho教授多年来从事天然产物的风味化学和生物活性方面领域的研究,已在国际权威杂志发表1163篇高水平文章并撰写228个专著章节和40本书,总被引次数高于14,975,h-index指数60。Chi-Tang Ho教授是Clarivate Analytics和Thomas Reuters农业科学领域高被引科学家,具有国际领先的学术水平和影响力。
张晓鸣教授,江南大学博士生导师。在美拉德反应的基础科学问题及关键技术、香精香料及功能因子的稳态化技术、食品添加剂和配料研究开发等方面开展了系列独创性研究。近五年主持项目10余项,主要参与了国家自然科学基金、国家“十三五”重点研发计划、“十二五”国家科技支撑计划、国家“十四五”重点研发计划项目、科技部农业成果转化资金、江苏省科技支撑计划等12个项目研究,完成了10余项企业合作开发课题,大部分技术已经在企业生产中获得应用。近五年发表学术论文150余篇,其中国际学术权威期刊SCI收录论文70余篇;授权发明专利15项。出版专著3部,参与译著2部。
撰稿人
第一作者:张涵,江南大学食品学院食品科学与工程专业在读博士。2024年1月加入新泽西州立罗格斯大学Chi-Tang Ho教授团队作联合培养博士,并专注于食品风味领域的系统性研究。在博士学习阶段,张涵参与了国家自然科学基金项目和安徽省重大专项项目,并以第一作者身份在一区国际食品顶尖期刊Journal of Agricultural and Food Chemistry上发表了2篇高水平SCI论文。此外,还作为共同作者参与发表了4篇SCI论文。
详细内容,请点击文末“阅读原文”。
食品科学家论文汇总
(点击专家姓名,查看论文)
《食品工业科技》特邀主编专栏征稿
《食品工业科技》青年编委专栏征稿:组学分析技术在食品品质研究中的应用 ☚
群聊:食品工业科技作者群

温
馨
提
示
我刊正式组建微信作者群,为作者提供更多的学术与论文资讯,如需进群,请联系刘老师(微信:上方二维码,电话:87244117-8062)。






