EI收录,
入选中国科技期刊卓越行动计划
摘要
为探究九个不同葡萄品种膜富集烈酒香气物质的风格特征及香气物质富集规律,本研究利用顶空固相微萃取-气相色谱-质谱联用(HS-SPME-GC-MS)技术、感官描述性分析法以及多元统计分析技术,对新疆天山北麓玛纳斯产区不同单品种葡萄酿造的膜富集烈酒进行研究。结果表明,‘柔丁香’和‘玫瑰香’膜富集烈酒具有强烈的荔枝、草莓、水晶葡萄、玫瑰味,特征香气物质为顺式-氧化玫瑰、香茅醇、里那醇等萜类物质;‘水晶无核’膜富集烈酒检测到高级醇类物质和乙酯类中的乳酸乙酯、琥珀酸二乙酯含量较高,其感官香气属性具有胶皮味和香料味;‘无核白’‘和田红’和‘木纳格’膜富集烈酒香气轮廓居中,香气清新宜人,以苹果/梨、菠萝/芒果、青苹果、生香蕉等果香为主,这与乙酸己酯、丁酸乙酯、辛酸乙酯等物质香气值较高有关;‘马奶子’‘巨玫瑰’和‘赤霞珠’膜富集烈酒在以果香为主的基础上,略带有奶油、奶酪味。膜富集烈酒能更多地保留原酒的香气特征,其中萜类、降异戊二烯、乙酸酯、脂肪酸乙酯、高级醇等香气物质经过渗透蒸发膜分离后富集倍数更高,主要集中在1~8倍之间。不同品种的膜富集烈酒具有独特的香气轮廓,研究结果将为利用不同葡萄品种原料生产个性风格膜富集烈酒提供数据支撑。
葡萄烈酒一般是以葡萄为原料,经发酵、蒸馏或其他富集技术、勾调而成的烈性酒,与中国白酒、威士忌、金酒、朗姆酒和伏特加合称为世界六大烈酒。葡萄烈酒包括通过蒸馏设备获得高酒精度的葡萄蒸馏酒,也包括来源于非蒸馏工艺的膜分离、反渗透、溶剂萃取和超临界流体萃取的烈酒。葡萄烈酒无色透亮,通常具有纯正而优雅的果香,口感绵柔,其辛辣刺激感轻微,深受消费者的喜爱。
香气是葡萄烈酒的重要感官品质之一,决定产品的风格与典型性。葡萄烈酒的整体香气和风味特征很大程度上取决于挥发性化合物的种类和浓度。影响葡萄烈酒挥发性成分的因素很多,比如葡萄品种及成熟度、发酵工艺、分离工艺、调配方式和陈酿工艺等。葡萄烈酒中的挥发性成分主要包括醇类、酯类、醛酮类及其他化合物,这些挥发性成分的含量是决定葡萄烈酒品质的重要因素。与白兰地相比,未经橡木桶陈酿的葡萄蒸馏酒生产周期较短,能够更好地保留葡萄的品种香和发酵香,因此这类葡萄蒸馏酒中酯类物质和萜类物质的含量较高,能赋予其浓郁优雅的花香和果香。
渗透蒸发是一种非蒸馏工艺中的膜分离技术,通过利用溶液中挥发性物质选择性透过渗透膜,以实现液体混合物分离的方法。在葡萄烈酒生产中,渗透蒸发膜分离工艺显示出了良好的应用前景,尤其在复杂水溶液中对香气化合物的分离浓缩具有很高的潜力。它的保留液为无醇或低醇葡萄酒,渗透液为葡萄烈酒,而这种利用渗透蒸发膜分离工艺生产的葡萄烈酒常称为“葡萄膜富集烈酒”。与传统蒸馏技术相比,渗透蒸发膜分离工艺具有高选择性、低操作温度和香气物质成分损失小、分离效率高、能耗较小、无二次污染等优点。传统蒸馏法和渗透蒸发膜分离工艺生产的烈酒在风格特点上存在显著差异。Wang等发现传统蒸馏技术生产的桃烈酒具有明显的麦芽香和煮苹果香,而采用渗透蒸发膜分离技术生产的桃烈酒则呈现出更加浓郁的果香和甜味。尽管已有研究表明渗透蒸发膜分离技术对水果烈酒香气和风味的影响有显著作用,但目前关于该技术在不同类型和风格葡萄烈酒生产中的适配性研究仍较为有限,仍需进一步深入探索和验证。
新疆产区作为中国葡萄酒酿造的优良产区之一,其酿酒葡萄品种资源丰富,具备生产高品质葡萄膜富集烈酒的潜力。然而,目前该地区的葡萄资源利用率有待提高,部分葡萄品种未能得到充分开发。通过渗透蒸发膜技术生产葡萄烈酒,不仅可以提升葡萄资源的利用率,还能创造出更具市场吸引力的新型葡萄烈酒。本研究以新疆天山北麓玛纳斯产区不同单品种葡萄酿造的膜富集烈酒为分析对象,利用顶空固相微萃取-气相色谱-质谱联用(HS-SPME-GC-MS)、感官描述性分析法以及多元统计分析技术探究不同品种膜富集烈酒的香气特征,明晰渗透蒸发膜对各香气成分分离特点,以期进一步拓展葡萄的加工价值,为丰富葡萄膜富集烈酒的原料多样性提供理论参考和实践依据。
结果与分析
2.1 葡萄膜富集烈酒挥发性香气物质分析
为明确膜富集烈酒的典型香气组分,本研究采用HS-SPME-GC-MS技术鉴定9种不同葡萄品种膜富集烈酒的关键呈香物质,共鉴定到119种挥发性香气物质,包括萜类、降异戊二烯类、高级醇类、酯类、醛类、脂肪酸、酮类以及芳香族类化合物(图1)(附表1,详见本刊官网https://www.spgykj.com/文章的网络版)。通常认为OAV值大于1的物质对香气特征有重要影响。为了明确不同品种间的香气特征,以文献报道的阈值为基础,计算每个香气物质的OAV值,筛选出不同葡萄膜富集烈酒中OAV值大于1的物质作为主要香气物质(表1)。
图 1 不同葡萄品种膜富集烈酒香气物质数量图
Figure 1. Map of the amount of aroma substances in pervaporation spirits of different grape varieties
表 1 不同葡萄品种膜富集烈酒中主要香气物质的OAV值
Table 1. OAV values of the main aroma substances in pervaporation spirits of different grape varieties
注:OAV为检测得到的挥发性化合物的浓度与其气味阈值的比值。
不同品种渗透蒸发膜葡萄烈酒中各类挥发性香气物质浓度如图2所示。‘柔丁香’膜富集烈酒中萜类物质的浓度最高,且显著高于其他品种(P<0.05)。柠檬烯、顺式-氧化玫瑰、反式-氧化玫瑰、里那醇、香茅醇等萜类物质在‘柔丁香’和‘玫瑰香’膜富集烈酒中OAV值较高,表现出以优雅浓郁玫瑰、橙花、柑橘、橙花油、丁香等以花香为主的香气(表1)。尽管萜类物质在膜富集烈酒中的含量相对较低,但由于其感官阈值极低,对酒体香气的贡献极大,尤其在芳香葡萄品种中表现突出。‘赤霞珠’膜富集烈酒中降异戊二烯类物质含量相对最高(297.99 μg/L),其次为‘水晶无核’(236.03 μg/L)。降异戊二烯类物质通常被认为是非芳香型葡萄的特征香气物质,在烈酒中主要表现为花香、蜂蜜味。在所有葡萄膜富集烈酒中,β-大马士酮具有最高的OAV值,这可能与其低香气阈值有关,仅为0.14 μg/L。
图 2 不同葡萄品种膜富集烈酒中香气物质浓度
Figure 2. Concentration of aroma compounds in pervaporation spirits made from different grape varieties
注:不同小写字母表示差异显著(P<0.05)。
高级醇是酵母代谢的产物,在葡萄膜富集烈酒中的含量整体占比最高,浓度过高通常表现为溶剂味和杂醇味。在所有葡萄膜富集烈酒中,‘水晶无核’‘赤霞珠’中高级醇类物质含量相对较高。其中‘水晶无核’膜富集烈酒中异丁醇(OAV=4.27)和异戊醇(OAV=4.41)的OAV较高,‘赤霞珠’膜富集烈酒中异戊醇(OAV=4.40)和1-辛烯-3-醇(OAV=2.04)的OAV较高,这可能增加了对应品种膜富集烈酒感官轮廓的复杂性。
酯类物质是葡萄烈酒中表现果香的一类重要的物质,主要是由酵母在酒精发酵过程中产生的次级代谢产物。酯类物质在‘巨玫瑰’‘赤霞珠’和‘水晶无核’膜富集烈酒中相对较高。其中丁酸乙酯(OAV=154.42~354.86)在所有葡萄膜富集烈酒中酯类物质中均有最高的香气值,其主要表现为菠萝、香蕉、苹果的香气。对于‘水晶无核’膜富集烈酒,除β-大马士酮外,乳酸乙酯(OAV=156.48)香气值最高,认为是‘水晶无核’膜富集烈酒的关键香气物质,在酒中表现为果香、菠萝的香气,有研究表明其在一定浓度下呈现甜香,增加浓厚感,较高浓度下呈刺激、带涩味和苦味。对于‘无核白’‘和田红’和‘木纳格’膜富集烈酒,乙酸异戊酯(OAV=66.98~115.83)、丁酸乙酯(OAV=223.40~312.05)、己酸乙酯(OAV=49.21~68.97)、辛酸乙酯(OAV=47.92~57.01)和月桂酸乙酯(OAV=10.60~11.99)等高级醇乙酸酯和脂肪酸乙酯类物质香气值较高,在烈酒中主要表现新鲜的花果香和热带果香气味。
芳香族化合物主要来源于葡萄果实和酵母的代谢,‘水晶无核’和‘柔丁香’膜富集烈酒所含芳香族化合物含量显著高于其他品种膜富集烈酒(P<0.05),其次为‘木纳格’膜富集烈酒。在9个单品种葡萄膜富集烈酒中,乙酸苯乙酯和苯乙醇作为主要的芳香族化合物OAV值均大于1。这些化合物由苯丙氨酸代谢产生,赋予葡萄烈酒玫瑰花和蜂蜜的气味特征。其中,乙酸苯乙酯(OAV=4.25)在‘柔丁香’膜富集烈酒中香气值最高,苯乙醇(OAV=6.59)在‘水晶无核’膜富集烈酒中香气值最高。
脂肪酸类物质也来源于酵母代谢,低浓度的脂肪酸有助于提高葡萄烈酒香气复杂性,表现出奶油和奶酪气味,较高浓度的脂肪酸呈现腐败、酸臭等异味。‘木纳格’膜富集烈酒的含量相对最高为52.24 mg/L,‘水晶无核’和‘玫瑰香’膜富集烈酒的含量相对最低,其中脂肪酸类化合物中的己酸、辛酸和癸酸在所有葡萄膜富集烈酒中OAV值均大于1。醛类在‘和田红’‘无核白’和‘柔丁香’膜富集烈酒中含量相对较高。虽然9个单品种膜富集烈酒中的醛类化合物均没有超过其阈值,但能给酒体增加一定的植物气味,提升酒体香气的复杂度。酮类在‘马奶子’膜富集烈酒中含量相对最高,浓度为2475.04 μg/L,含量相对最低的品种为‘木纳格’和‘水晶无核’。由于酮类物质的香气阈值较高,9个单品种葡萄膜富集烈酒中均没有OAV值大于1的酮类化合物存在。
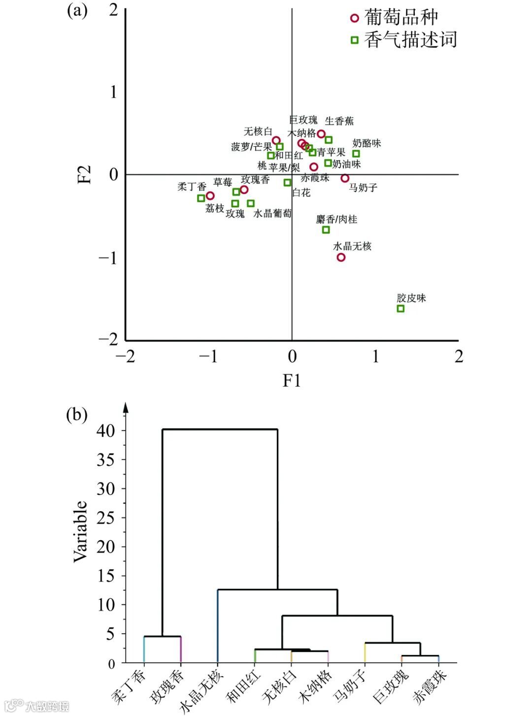
图 3 不同品种葡萄渗透蒸发膜烈酒香气特征
Figure 3. Aroma characteristics of pervaporation spirits from different grape varieties
注:(a)香气描述词对应分析,(b)感官香气属性强度的层次聚类。
单品种葡萄原酒及膜富集烈酒的感官轮廓雷达对比图如图4所示。结果显示,膜富集烈酒与原酒相比在感官属性上有一定程度的相似性,且大部分香气属性强度更高,尤其是苹果/梨、菠萝/芒果等果香和奶油香气的强度较原酒更为突出。先前研究表明,渗透蒸发膜分离工艺过程在低温下进行,有助于减少生产过程中因高温导致的化学反应,从而减少新物质的生成量以及减缓化合物的降解过程。通过选择性透过挥发性物质,渗透蒸发膜分离工艺将基酒中的香气物质浓缩至高酒精度烈酒中,显著提高了香气物质的浓度,增强了香气强度。因此,膜富集烈酒可能更多地保留了原酒的香气特征。
图 4 葡萄原酒与葡萄膜富集烈酒的香气轮廓对比
Figure 4. Aroma profiles of different varieties wines and corresponding pervaporation spirits
图 5 不同葡萄品种膜富集烈酒的香气物质浓度与香气属性强度 PCA 分析
Figure 5. PCA analysis between the concentration of aroma compounds and the average intensity of aroma attributes for pervaporation spirits of different grape varieties
注:(a)得分图,(b)载荷图。
为了进一步探究不同葡萄品种膜富集烈酒香气物质的富集规律,准确把握渗透蒸发膜分离的技术特点,从9个单品种葡萄膜富集烈酒中筛选出OAV值大于0.1的共有香气物质作为膜富集烈酒中的主要香气物质,以不同的分离富集倍数进行聚类。其中,富集倍数是通过将渗透蒸发膜富集烈酒中的香气物质浓度除以相应葡萄品种原酒中的香气物质浓度计算得出的。不同葡萄品种原酒的香气物质浓度见附表2(详见本刊官网https://www.spgykj.com/文章的网络版)。
混合物中的分子和聚合物膜材料之间的化学相互作用在分离性能中起着重要作用,膜材料的亲水性/疏水性是分离目标混合物的关键性能。本研究中使用的聚合物材料是聚二甲基硅氧烷(PDMS),是一种疏水性膜,有助于弱极性或非极性分子的分离。如图6所示,不同香气物质由于与膜的亲和力和扩散性的差异而被分离。萜类、降异戊二烯、乙酸酯、脂肪酸乙酯和高级醇等香气物质富集倍数更高,富集倍数主要集中在1~8倍之间。
图 6 膜富集烈酒中主要香气物质富集倍数
Figure 6. Enrichment fold of main aroma compounds in pervaporation spirits
萜类和降异戊二烯类物质是烈酒中表现花香和果香为主的关键化学成分,这些化合物在本研究中展现出高富集倍数,富集倍数集中在5~20倍。PDMS膜材料的疏水性使其能够有效地吸附和渗透疏水较强的萜类和降异戊二烯类化合物。此外,PDMS膜与这些化合物的弱极性或非极性分子之间的化学相互作用进一步增强了其选择性渗透能力。对于一些含苯环的分子,例如苯乙醇和乙酸苯乙酯,其富集倍数分别为0.26倍和1.24倍。其相对较低的富集倍数可能是由于这些分子中既含有疏水性的苯环,又含有亲水性的醇类或酯类基团。PDMS膜则主要依赖疏水性相互作用进行分离,对于同时具有亲水性和疏水性基团的分子,其选择性较低,从而导致这些化合物在分离过程中的富集效果不明显。酯类物质作为烈酒中表现水果香气的主要物质,一般认为表现出强疏水的性质,有利于被渗透蒸发膜分离。有研究表明,无论是大分子还是小分子的酯类物质,渗透蒸发膜对这些物质的选择性类似于它们在汽液平衡状态下的选择性,这意味着膜分离过程中酯类物质的富集程度与它们在汽液平衡条件下的挥发性相似。本研究的结果与此一致,不同的酯类物质经过渗透蒸发分离,有不同的富集倍数规律,如3-羟基丁酸乙酯、乳酸乙酯富集倍数小于0.01倍,9-癸烯酸乙酯、乙酸己酯在烈酒中的富集倍数达到51.35和252.55倍。与酯类不同,高级醇类物质由于羟基等极性基团的存在通常被认为是亲水性有机化合物。本研究中发现,随着高级醇类的碳原子增加,富集倍数逐渐增加,在2~6倍不等。这与Wang等研究结果一致,这可能是由于高级醇与疏水性性膜之间的相互作用强于短链醇类。醛类物质由于拥有亲水性很强的极性基团,难以被亲水性有机物膜PDMS分离。同样的PDMS对具有小碳链的酮类物质也表现出低选择性;本研究中也没有筛选出该类物质作为渗透蒸发膜分离的主要香气物质。
除了不同的渗透蒸发膜设备工艺参数对香气成分组成的影响外,挥发性组分之间以及挥发性组分和膜本身之间的相互作用使得膜中的质量传递过程变得复杂。在大多数渗透蒸发分离过程中,耦合效应是显著存在的。耦合效应指的是其中一个化合物的存在或浓度变化会显著影响另一个化合物的渗透行为。这种相互作用可以增强或抑制各组分的渗透,从而影响其在膜分离过程中的富集效果。研究表明,3-甲基丁醛在较高浓度下对正己醇和α-紫罗兰酮的渗透具有促进作用。同时,乙酸异戊酯与3-甲基丁醛、正己醇和α-紫罗兰酮混合时表现出显著的耦合效应,使得这些香气化合物的渗透通量明显增加。本研究中发现许多重要香气化合物富集倍数有差异较大的离群值,推测与膜分离过程的耦合效应有关,使得部分品种的部分香气物质富集倍数更高。另外挥发性化合物水解、氧化以及自由基反应和热降解反应也会影响挥发性物质的富集规律。

结论与展望

引用本文:徐晓裕,陈秋雯,成池芳,等. 不同葡萄品种渗透蒸发膜烈酒香气特征及膜分离富集规律分析[J]. 食品工业科技,2025,46(11):252−262. doi: 10.13386/j.issn1002-0306.2024060108.
Citation: XU Xiaoyu, CHEN Qiuwen, CHENG Chifang, et al. Analysis of Aroma Characteristics of Pervaporation Wine Spirit from Different Grape Varieties and the Separation and Enrichment Rules of Pervaporized Spirits[J]. Science and Technology of Food Industry, 2025, 46(11): 252−262. (in Chinese with English abstract). doi: 10.13386/j.issn1002-0306.2024060108.
通信作者简介
(以上信息来自中国农业大学食品科学与营养工程学院官网)
或登录www.spgykj.com阅览全文。
荟聚食品英才,
共创美好未来
各位专家学者:
为推动食品科学领域的知识经验交流,促进食品产业的创新发展,2025第三届食品科学家论坛及产学研交流大会、2025宁夏食品科学论坛暨《食品工业科技》与 Food Innovation and Advances 编委会会议将于2025年8月4-6日在银川召开。本次论坛将以“荟聚食品英才,共创美好未来”为主题,旨在为食品科学家提供交流平台,加强技术交流和创新能力融合。
本届论坛拟邀请食品科学领域研究机构的多位专家学者,围绕基础研究领域的前沿进展、产业发展最新动态,展开深入的学术交流与探讨。同时,我们将就未来的合作和交流平台建设进行对话,总结经验、传播知识、思考未来,共同推动食品科技创新和可持续发展。
食品科学家是推动食品学科发展、产业进步的中坚力量,而青年科学家是重要力量。本次论坛诚挚邀请国内外各大院校、科研院所、食品企业等专家共同参与,期待食品科学家、青年科学家、博士研究生、硕士研究生积极提交研究成果,分享研究心得,共同推动食品学科的发展。本届论坛不仅为国内外食品学科领域的交流与合作提供了平台,也将为食品期刊、食品饮料企业、仪器商提供展览、展示。Food Junction:2025第三届食品科学家论坛及产学研交流大会期待与您相约“塞上江南”——银川。
点击链接进行注册:2025第三届食品科学家论坛及产学研交流大会、2025宁夏食品科学论坛暨食品工业科技与FIA编委会会议——回执表.docx
点击链接下载邀请函:邀请函—2025第三届食品科学家论坛及产学研交流大会.pdf
食品科学家论文汇总
(点击专家姓名,查看论文)
《食品工业科技》特邀主编专栏征稿
《食品工业科技》客座主编专栏征稿:地方特色食品:加工技术、感官品质、风味特性和营养健康☚
《食品工业科技》特邀主编专栏征稿:“十四五”国家重点研发计划“陕西秦巴山区特色经济作物、果蔬产业关键技术集成与示范”☚
《食品工业科技》特邀主编专栏征稿:果蔬基料制造:基础理论,新型加工、质量控制与智能制造☚
群聊:食品工业科技作者群
温
馨
提
示
我刊正式组建微信作者群,为作者提供更多的学术与论文资讯,如需进群,请联系刘老师(微信:上方二维码,电话:87244117-8062)。
版权声明

