使用电子束光刻(EBL)等方法制作金(Au)电极用于制作二维材料光电探测器/半导体异质结器件,会对样品接触面产生污染或缺陷,从而影响器件的参数性能。
2019年华北电力大学Xiaolong Liu等作者,使用探针辅助转移Au电极,避免了传统光刻法制作Au电极带来的污染,成功制作基于Au/Bi2O2Se/Au的高性能光电探测器。

作者在氟金云母衬底上生长Bi2O2Se薄膜,使用探针辅助将预先刻好的Au电极从SiO2/Si衬底转移到Bi2O2Se薄膜上,过程如图1所示。

图1 探针转移金电极示意图
但是通过测量输出曲线发现存在很大的电噪声,转移上去的Au电极与Bi2O2Se薄膜之间可能存在有较大的范德华间隙,导致金属/半导体之间接触不良。于是作者将Au/Bi2O2Se/Au放在真空下退火,优化退火温度为120℃,以此去除金属/半导体/金属界面的水氧,减小金属/半导体之间的范德华间隙。此外,为了提高电荷转移效率,特别是通过增加Au/Bi2O2Se界面与沿Bi2O2Se通道的电场强度,缩短器件沟道宽度以提高器件的整体性能。
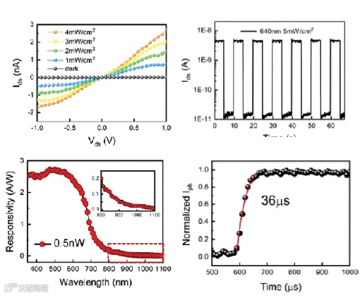
经过退火处理,器件的光电性能都能得到有效的改善,测得的最大光响应度为9.1AW-1,器件最快响应时间36μs,具有很宽的光谱响应,响应范围 360~1090nm,部分相关性能参数如图2所示。并且转移上去的Au电极仍然可以剥离而不破坏Bi2O2Se薄膜,与Au电极接触的薄膜表面也没有被污染。文中也比较了高温200℃条件下退火,发现在较高的温度下退火,在金属/半导体界面或玻璃态下可能产生了不可见的化学键合,从而导致器件性能的降低。

图2 Au/Bi2O2Se/Au器件的性能:(a)随激光功率增加的I-V曲线;(b)640nm激光下的I-T曲线;(c)不同波长下的光谱响应;(d)在0.8nm沟道宽度下实验测得的最快光响应时间
2020年,同课题组使用倾斜生长的超薄Bi2O2Se薄膜构建了与石墨烯的范德华异质结器件。实验中也是使用探针辅助转移实现了Bi2O2Se/石墨烯异质结的堆叠。
在优化生长条件(温度、气压、载气通量等)下,在无过渡层的氟金云母衬底上实现了高质量Bi2O2Se倾斜薄膜的可控外延生长。并用STEM对Bi2O2Se/mica界面横截面进行表征,研究了原子接触模式,发现倾斜生长的Bi2O2Se薄膜与平面内的原子接触模式相比,Bi2O2Se/mica界面处的未中和电荷密度明显降低。由于界面接触面积较小,与云母基板的粘合力减弱,因此倾斜生长的Bi2O2Se薄膜更容易转移到其他材料上。实验中将倾斜生长的Bi2O2Se薄膜转移到带有石墨烯的SiO2/Si衬底上制作成半导体异质结器件。在光学显微镜下,先用探针尖将Bi2O2Se薄膜从云母表面剥离,之后转移到SiO2/Si衬底的石墨烯上,如图3所示。作者还录制了一段转移视频,视频中的转移过程是非常直观的。

图3 探针转移Bi2O2Se薄膜以及Bi2O2Se/石墨烯异质结示意图
****************************
迈塔光电推出的二维材料显微转移系统——磁力吸附探针座模块,可以有效帮助您进行图案化二维材料的制备,为您的科研之路添砖加瓦!探针座模块部分技术参数见下表,详情可登陆我司(https://www.metatest.cn/productinfo/1088203.html)进行查询或咨询我司相关技术人员!

E1-T二维材料显微转移系统—磁力吸附探针座及支架

武汉大学客户使用案例
****************************
另外,Au电极也是利用图1中探针辅助的方法转移上去的。实验得到高性能Bi2O2Se/石墨烯半导体异质结器件,测得的相关性能参数如图4所示。这都归功于转移方法和过程无污染无有机物残留,同时为了降低转移过程中界面的水氧,可以将整个转移过程放在手套箱或者真空环境下进行。

图4 Bi2O2Se/石墨烯器件的光电特性:(a)640nm不同功率密度下的I-V曲线;(b)不同栅压下变功率密度的光响应曲线;(c)Vg-V0=-13V,光响应度与激光功率密度的关系;(d)不同栅压下光生载流子的寿命;(e)Vg-V0分别为正和负,光开关的响应速度;(f)功率密度为1mW/cm2时的光谱响应与吸收曲线

