文章链接:https://www.nature.com/articles/s41467-023-44519-x
-----------------------------------------
一、摘要
在这里,我们报告了一种用于创建具有短栅极长度和沟道长度的超大规模二维晶体管的自对准工艺。通过机械折叠石墨烯/BN/MoS2异质结构,石墨烯栅极可以被BN电介质完全包裹,并且栅极长度可以缩小到1纳米以下(由石墨烯厚度决定)。同时,使用我们的干转移工艺,源极-漏极金属可以在折叠垂直异质结构的边缘精确对齐,并且沟道长度可以很好地控制在50 nm以下。总之,我们可以实现垂直 MoS2晶体管的低于 1 nm 的栅极长度和低于 50 nm 的沟道长度,并且栅极和沟道长度之间的距离仅由 BN 间隔物决定。该超大规模器件的开关比超过105,通态电流为 250 μA/μm(在 4 V 偏压下),比没有自对准工艺的对照样品高出 40 倍以上。此外,我们的自对准垂直通道器件可以转移到柔性基板上,从而展示出所需的器件性能。我们的研究突破了 2D 晶体管的尺寸限制,但也提供了垂直结构的通用自对准过程,这可以为许多与传统自对准技术不兼容的新兴纳米器件或垂直 vdW 异质结构提供有趣的影响。
图 1:我们的垂直自对准器件的制造工艺和特性。a-f,器件制造过程示意图,包括 6 个步骤:MoS2 /BN/石墨烯异质结构的堆叠 ( a )、使用 PDMS 尖端折叠结构 ( b )、vdW Fin 异质结构的形成 ( c )、顶部金属的沉积接触( d )、剥离折叠异质结构( e )、折叠异质结构转移实现自对准垂直接触( f )。g,设备的透视示意图。h,典型器件的光学图像。i,代表性器件的假色 TEM 图像,其中 MoS2通道为蓝色,BN 电介质为绿色,石墨烯为灰色。L ch是沟道长度。d是整个折叠异质结构的厚度。
我们的折叠vdW异质结构对于实现垂直晶体管的自对准接触至关重要,并且由于以下因素而无法使用先前的制造工艺来实现。首先,石墨烯/BN/MoS2异质结构的折叠对于实现与垂直BN侧壁共形接触的垂直MoS2通道至关重要。对于先前的2D垂直晶体管,2D沟道通常在创建侧壁之后转移到垂直衬底上。由于侧壁通常具有有限的高度(超过 50 nm),因此在转移过程和/或溶液过程之后可以观察到大的拉伸力和气隙,从而降低整体栅极控制和器件性能。其次,折叠结构确保石墨烯侧栅极靠近垂直MoS2沟道,其中栅极电介质仅由折叠BN厚度(~10 nm)决定,如图 1i中突出显示。相比之下,如果通过传统的逐层堆叠工艺封装石墨烯侧栅结构(BN/石墨烯/BN),则很难将石墨烯与BN边缘精确对齐,导致石墨烯之间的距离较大栅极和 BN 边缘(如补充图6所示 ),因此栅极电介质很厚。第三,我们利用独特的拾取转移技术来实现vdW异质结构的自对准过程。在此过程中,异质结构的顶部接触可以被完全拾取,并且衬底上的Ti/Au将被保留,导致顶部电极在边缘位置精确断裂。相反,使用传统的自对准技术(例如,角度沉积、边缘沉积),在弧形边缘上观察到连续的薄膜,并最终导致源漏电极之间的短路,如我们的控制所示补充图 7中的样本。基于这些优点,我们可以同时实现具有亚1 nm栅极长度(折叠石墨烯厚度)和亚50 nm沟道长度的功能性MoS2晶体管,这是使用以前的方法实现的挑战。
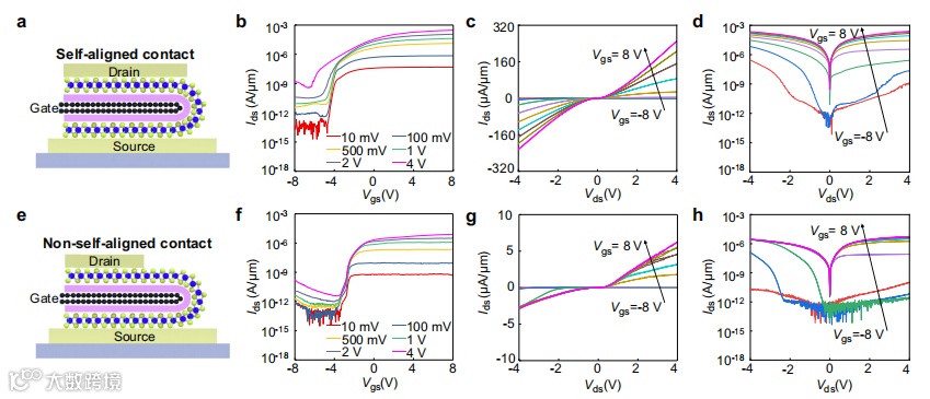
图 2:具有和不具有自对准触点的器件的电学特性。a,具有自对准触点的器件的横截面示意图。b ,自对准器件在10 mV (红色)、100 mV(宝蓝色)、500 mV(黄色)、1 V不同偏置电压下的漏源电流-栅源电压(I ds – V gs )传输特性(绿色)、2 V(石板蓝)和 4 V(洋红色),展示了 n 型行为。c、 d,在-8 V 至 8 V 的各种栅极电压(2 V 阶跃)下具有自对准接触的器件的输出特性的线性图和对数图。e,无自对准接触装置的横截面示意图。f ,I ds – V gs无自对准接触器件在 10 mV(红色)、100 mV(宝蓝色)、500 mV(黄色)、1 V(绿色)、2 V(石板蓝)各种偏置电压下的传输特性)和 4 V(洋红色)。g、 h,在-8 V至8 V(2 V阶跃)的各种栅极电压下,无自对准接触器件的输出特性的线性和对数图。两种器件的MoS 2厚度均为8层,自对准器件的沟道长度( L ch )约为47 nm,非自对准器件的沟道长度约为1 µm。
通态电流的大幅改善很大程度上归功于自对准结构,同时减少了沟道长度和栅极长度。为了证明这一点,我们制造了一个没有自对准过程的控制装置(详见补充图 9)。如图2e和补充图 9所示 ,漏电极距异质结构边缘的距离约为0.7μm,这是受电子束光刻限制的典型分辨率。在该器件中,栅极长度仍然是石墨烯垂直边缘,但沟道长度没有按比例缩放,这极大地影响了整体器件性能。如图 2f-h所示,在通态(4 V偏置电压)下输出电流密度仅为6 μA/μm,比自对准器件低40多倍,凸显了我们的自对准技术的重要性。
图 3:具有更长通道长度的自对准装置。a,折叠异质结构中应变的横截面示意图。这里的R是曲率半径。b、 c,较厚折叠异质结构的TEM 图像 ( b ) 和相应的 EDS 图 ( c )。d、e, I ds – V gs较厚的自对准器件在负偏压区域 ( d ) 和正偏压区域 ( e ) 下的传输特性。f,对应较厚自对准器件的I ds – V ds输出特性。
除了制造引起的对异质结构厚度的限制之外,讨论进一步沟道长度缩放的基本限制也很重要。在我们的全通道结构中,总厚度本质上受三个参数限制:石墨烯厚度( t gra )、BN厚度( t BN )和MoS2厚度( t MoS2 )。首先,t gra可以扩展到具有良好电导率的单层,因此不会成为基本的限制因素。其次,理论上,MoS2厚度也可以缩放至单层。然而,在我们的实验中,单层MoS2在折叠过程中很容易破裂,并且使用的最薄MoS2为4.5 nm。因此,MoS2的机械性能可能成为折叠结构中t MoS2结垢的限制因素。最后,BN 是我们实验中最厚的部分,成为厚度缩放的主导因素。这是因为 BN 具有相对较低的带隙 (6 eV) 和较差的介电性能。正如我们的模拟(补充图14 )所示 ,BN 厚度缩小至约 4 nm 时,栅极漏电流可能会影响 MoS2通道内的整体载流子传输。我们注意到,由于理想的仿真模型没有考虑缺陷和界面状态,因此漏电流可能会被大大低估。基于上述讨论,理想的异质结构厚度在折叠前可以减小到~10 nm(0.3 nm厚的石墨烯、4.5 nm厚的MoS2、5 nm厚的BN),并且理论上沟道长度可以缩小到30 nm以下。
图 4:在柔性基板上运行的自对准接触装置。a、 b,转移到柔性基板上的代表性器件的光学图像( a )和照片( b ),PI基板的尺寸为1cm。c ,I ds – V gs柔性基板上自对准器件在 5% 应变下的传输特性。这里的偏置电压分别为 10 mV(红色)、100 mV(宝蓝色)、500 mV(黄色)、1 V(绿色)、2 V(石板蓝)和 4 V(洋红色)。d ,I ds – V ds柔性基板上自对准器件在 5% 应变下的输出特性。这里的栅极电压为−5 V(黑色)、-4 V(红色)、-3 V(蓝色)、-2 V(绿色)、-1 V(兰花)、0 V(暗金色)、1 V(分别为深青色)、2 V(深棕色)、3 V(深黄色)、4 V(橙红色)和5 V(浅蓝色)。
迈塔光电E1系列多功能二维材料转移实验平台可实现低维材料转移精确定点转移、多层范德华异质结制备,是研究异质结特性、空间反演对称性破缺、以及二维材料不同堆叠方式、魔角超导的有力工具。适用于石墨烯、硫化钼、黑磷等单层材料,范德华异质结,扭曲魔角异质结,纳米线/片,电极阵列等,以及5-100um的微小样品。
详情请参考公司网站:
https://www.metatest.cn/ProductInfoCategory?categoryId=307764
三、方法
PDMS 尖端制造过程如图 2 b-g所示。为了制造PDMS尖端,首先将PDMS片放置在载玻片上(补充图 2 b)。接下来,使用钨针(直径约 2 mm)将一滴 PDMS 混合物(基料/固化剂重量比为 10:1)滴到 PDMS 片上,然后在 130 °C 下烘烤 5 分钟。这将创建具有相对较大尺寸的第一层 PMDS(补充图 2b)。此外,该过程重复3次以创建PDMS的第二层、第三层和第四层。在重复过程中,唯一的区别是钨针的直径减小,第二层、第三层和第四层制造的钨针直径分别为 600 µm、50 µm、400 nm(补充图 2 c-e)。基于此,我们可以构建一个金字塔形的 PDMS 针尖,最小针尖尺寸为 5 µm。最后,在 PDMS 尖端顶部涂覆 PVC(聚氯乙烯)层以增强粘附力,如补充图 2 f、g所示。
首先将MoS2转移到Si/SiO2基板上,然后转移BN片和石墨烯片,从而形成MoS2 /BN/石墨烯三层。为了折叠异质结构,首先降低PDMS尖端以接触MoS2的一个角,如图1b所示。接下来,PDMS 尖端沿垂直方向轻轻提起,然后沿水平方向移动。当异质结滚压到一定位置时,PDMS尖端被压下,形成所需的范德华折叠结构。我们注意到,在折叠过程中,实际的石墨烯栅极延伸到折叠异质结构的两侧,在BN外部形成两个尾部用于栅极接触(图1 g中的栅极1和栅极2 )。


