文章导读
银纳米线及双层二维材料中的表面等离子体增强效应
为了提高二维(2D)过渡金属二硫化物(TMDC)的低光吸收,表面等离激元(SP)纳米结构得到了广泛的研究。然而,层间扭曲对此类纳米结构的影响很少被研究。这篇文章构建了银纳米线(Ag NWs)和原始双分子层MoS2(pBLM)或扭曲双分子层MoS2(tBLM)两种不同的复合结构。层间扭曲可以进一步促进MoS2的光利用率,导致Ag/tBLM中的光谱增强比Ag/pBLM中的高4倍。此外,基于Ag/tBLM复合结构的光晶体管的光电流和探测率与Ag/pBLM光晶体管相比分别提高了7倍和100倍。理论模拟表明,光电流的增强可归因于Ag NWs与tBLM薄膜界面局部电场的增强,即所谓的“热点”。这些结果为理解SPs和层间扭曲对2D材料光电特性的调制机制提供了参考。
研究背景
二维(2D)材料光电器件的研究发展迅速。层状MoS2是一种典型的过渡金属硫属化合物,具有显著的物理和化学性质。然而,其单层原子厚度限制了MoS2的光吸收能力,这阻碍了其在光电器件领域的应用。将MoS2与等离激元纳米结构相结合,为增强二维半导体材料的吸收提供了一种解决方案。近年来,诸如纳米线(NWs)、纳米球、纳米盘、纳米棒和纳米立方体等材料已尝试与MoS2相结合,以改善其光吸收。共振贵金属纳米结构可以产生局域表面等离激元共振,这可以强烈限制光场,从而增加二维材料的发光能量强度。局域表面等离激元(LSP)在金属纳米结构附近产生强的光限制效应。LSP效应能够显著增强金属纳米结构上下层过渡金属二硫属化物(TMDC)的光吸收和发射。基于此机制,已有几种优化增强效果的结构被提出。例如,Li等人提出了一种金纳米粒子光栅结构,在532nm光照下,该结构能使光吸收增加两倍以上。然而,该制备过程复杂,对精度和温度要求较高。此外,Wu等人发现银纳米粒子/金膜腔结构能产生间隙等离激元模式,使得从放置在等离激元腔中的MoS2薄膜中提取的光电流大幅增加。尽管如此,这些等离激元结构通常需要多个复杂的制造步骤,不仅成本高昂,而且耗时。因此,若能设计出通过简单加工步骤就能实现且性能增强明显的等离激元结构将具有很大优势。
研究内容
图1(a)Ag/tBLM 器件的结构示意图和(b)Ag/tBLM 器件的光学显微镜图。(c)Ag/tBLM 复合结构的光致发光(PL)光谱和(d)拉曼光谱。(e)该器件的光致发光强度分布图。
通过机械剥离制备了单层MoS2薄膜。选择了边缘平整光滑的大尺寸薄膜(>15um),并用探针尖端将其分成两部分。将一片薄膜转移到电极上,然后将另一片薄膜以一定的扭转角转移到前者上,完成转角双层膜(tBLM)样品的制备。
图1(b)二维晶体堆叠可以通过在精密转移系统(Metatest,E1-T)内采用转移技术制备,通过探针台辅助转移。
E1系列 多功能二维材料转移实验平台
图1中的拉曼,荧光光谱及荧光mapping图可以通过南京迈塔光电科技有限公司开发的 “ MStarter 100 显微光谱扫描测试系统 ” 上测试得到。
MStarter 100 显微光谱扫描测试系统
欢迎通过文末联系方式与我们了解更多设备详情~
图2 (a)SiO2基底上银纳米线的电场分布与(c)强度示意图。(b)SiO2基底上银/双层分子膜结构的电场分布与(d)强度示意图。插图:模拟模型的横截面图。
如图2(a)和(b)的插图所示,建立了一个三维模拟模型来解释这种光谱增强现象。研究发现,SiO2衬底与银纳米线(Ag NWs)界面处的最大电场强度较弱。当Ag NWs置于扭曲双层二硫化钼(tBLM)上时,电场呈现出“热点”效应,最大电场强度显著增强。这种现象在电场强度曲线中也有所体现。
tBLM的引入能够增强最大电场强度,并使电场更具局域性。来自“热点”的强局域表面等离激元(LSP)极大地改善了tBLM的光-物质相互作用,从而显著增强了光致发光(PL)强度。此外,我们还计算了两种情况下的电场强度积分,结果如图2(c)和(d)所示。研究发现,Ag/tBLM结构的电场强度积分比Ag NWs结构高55.3 %,模拟结果与实验结果一致。在520 nm激光照射下,Ag NWs中的表面等离激元(SPs)被激发,并与MoS2发生耦合,从而起到光谱增强的作用。
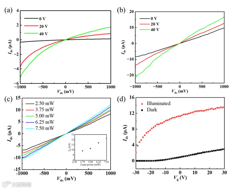
图 3 Ag/tBLM 器件的输出特性曲线:(a)无激光照射时器件的输出特性曲线;(b)520 nm 激光照射下的输出特性曲线;(c)不同光功率激光照射下的输出特性曲线;(d)Ag/tBLM 器件的转移特性曲线。
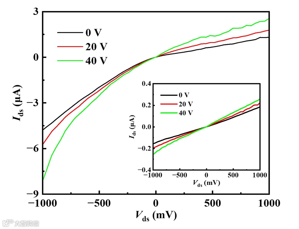
图S7 Ag/pBLM器件在520 nm激光下的输出特性曲线。插图:暗态输出特性曲线。
图S8 MoS2光电晶体管的光电性能比较。(a)pBLM与(b)tBLM在无光照条件下的输出特性曲线。(c)pBLM与(d)tBLM在不同功率光照下的输出特性曲线。(e)pBLM与(f)tBLM在有/无光照条件下的转移特性曲线。
为进一步研究该复合结构的光电特性,首先测试了输出特性曲线,如图3(a)、(b)和S7所示。从曲线的线性度与对称性表明电极与沟道材料之间形成了良好的欧姆接触。曲线斜率随栅极电压增加而增大,说明栅极电压对沟道载流子浓度具有较好的调制效果。该器件在光强作用下的源漏电流Ids显著提升,表明器件具有优异的光敏特性。
Ag/pBLM光电晶体管的响应度为2.64 mA W−1,较未添加Ag NWs的器件提升了约4倍(如图S8所示)。而Ag/tBLM光电晶体管展现出25.04 mA W−1的响应度,比Ag/pBLM器件高出一个数量级。该Ag/tBLM器件的比探测率达到7.30 × 108 Jones,较Ag/pBLM器件提升两个数量级,并比未添加Ag NWs的tBLM器件高出40倍。入射光子能量可激活基于缺陷的陷阱态,这些陷阱态作为复合中心有助于提升探测性能。但MoS2中存在的陷阱/缺陷也可能是导致器件光响应速度较慢的原因。
此外,还测试了该器件在不同光功率下的光电响应。从图3(c)可以看出,源漏电压的增加加速了载流子的漂移速率,从而缩短了载流子在沟道中的漂移时间。与此同时,激光功率的增加导致入射光子数量增多,使得沟道材料中产生更多光生载流子。图中曲线的斜率也发生了显著变化。然而随着激光功率继续增大,沟道材料对光的吸收逐渐接近饱和状态。电子与空穴的复合概率逐渐提高,导致光电流增速放缓,这体现为曲线斜率的增幅逐渐减小。
图3(d)展示了Ag/tBLM光电晶体管的转移特性曲线。源漏电流随栅极电压升高而增大,表明该晶体管为n沟道型,载流子为电子。在负栅压作用下,光电流与暗电流的差值随栅压降低而减小。转移特性曲线证明该器件在栅压调控下信噪比得到改善。当背栅电压为30 V时,光电流仅为0.25 uA,比银/单层二硫化钼光电晶体管低一个数量级。Ag/tBLM光晶体管的光电流为14.74 uA,约为Ag/pBLM 光晶体管的7倍。层间扭转改变了S原子与Mo原子上下层之间的相对位置和间距,并改变了层间耦合强度。这进一步影响了银纳米线表面等离子体与二硫化钼激子之间的耦合强度,最终导致具有层间扭转结构的银纳米线/二硫化钼光电晶体管产生光电性能增益效应。
图3、S7、S8中光电晶体管的电子特性测试(输出/转移测试,变光强输出测试等)采用高精度光电流扫描测试系统(Metatest,MStarter 200)完成。
MStarter 200 高精度光电流扫描测试系统
欢迎通过文末联系方式与我们了解更多设备详情~
图4 (a) LSPR增强型MoS2光电晶体管能带结构示意图。Ec、Ev和Evac分别代表导带最低能级(CBM)、价带最高能级(VBM)和真空能级。(b) Ag/MoS2复合结构等离激元耦合机制示意图。
图4展示了MoS2光致发光与光电流增强及Ag NWs表面等离子体耦合的作用机制。经Ag NWs修饰的MoS2光电探测器所表现出的光电流提升,可归因于局域表面等离子体共振(LSPR)效应引发的局域电场增强。为此,我们通过图4(a)所示的Ag/MoS2复合结构能带图阐释载流子注入过程。由于银的功函数(~4.26 eV)低于二硫化钼(~5.20 eV),二者接触时MoS2的能带将向下弯曲以实现费米能级平衡。在入射光照射下,Ag NWs表面产生大量振荡电子,这些电子持续向MoS2转移导致其载流子密度增加。当采用接近银表面等离子体共振波长(520 nm)的激光激发时,Ag NWs与MoS2的接触界面会形成等离子体热点(如图4(b)所示),该热点即作为局域表面等离子体共振源。此外,MoS2的激子与银纳米线的表面等离子体之间存在耦合效应,这种耦合可显著增强激发效率与光致发光强度。
原文链接
Surface plasmon enhancement in silver nanowires and bilayer two-dimensional materials
https://doi.org/10.1039/d3nr05810g
咨询电话:17766428931
迈塔光电售前及测试专员(微信同号)

