大数跨境

光电光谱论文分享 | 高响应率和快速响应速度的偏置可调SnS2/ReSe2隧道光电探测器

光电光谱论文分享 | 高响应率和快速响应速度的偏置可调SnS2/ReSe2隧道光电探测器 南京迈塔光电科技有限公司
2025-04-28
3
导读:光电光谱论文分享 | 高响应率和快速响应速度的偏置可调SnS2/ReSe2隧道光电探测器
往期推送:
客户样品转移论文分享 | 多功能片上偏振敏感探测系统在光通信与人工视觉中的应用
客户光谱应用论文分享 | 压电增强超灵敏ZnO/Ag微腔表面增强拉曼散射衬底用于多巴胺检测
客户光电应用论文分享 | 用于偏振紫外光探测和防伪识别的 CVD 合成 CsAg2I3 单晶
客户光电光谱论文分享| 二维AgBiP2Se6晶体中的巨体光伏效应
-----------------------------------------

文章导读


高响应率和快速响应速度的偏置可调SnS2/ReSe2隧道光电探测器

工作在光伏模式下的二维光电探测器表现出响应速度与光响应度之间的权衡。该工作展示了一种基于SnS2/ReSe2异质结的光电晶体管。负偏压下异质结界面处的能量带尖峰阻碍了载流子漂移,使得暗电流低至10-13 A。正偏压下的隧穿效应显著减少了光生载流子的传输时间,从而将响应度和特异性探测率分别提高到32.77 A/W和5.77×1011 Jones。反向偏压下增强的内建电场强化了光生载流子的快速分离,将响应速度提升至10.5/24.1 μs,并将3 dB带宽提升至54.8 kHz。该设备还展示了从近紫外到近红外的宽光谱检测能力。此外,这项工作还进行了高质量的ASCII通信和高分辨率宽带单像素成像,这表明其在未来宽带光电系统中有很大的应用潜力。


研究背景


光电探测器在通信、军事、医疗等领域中发挥着关键作用。然而已报道的光伏器件难以实现响应度与光电流暗电流比之间的平衡。一些研究者提出假设,即在适当的能带匹配条件下某些特殊的二维异质结光电探测器中异质结或肖特基电极处的光生载流子隧穿可以同时提高光响应度和响应速度。ReSe2在低栅压调制下作为空穴导体工作,在高栅压调制下作为电子导体工作,其独特的双极性特质使其对栅极调控敏感。SnS2是一种典型的n型材料,因其良好的光敏性而广泛应用于光电探测器中。独特的能带匹配使SnS2/ReSe2异质结光电探测器能够进行光电流隧穿,有助于实现更高的光响应度和快速的光电响应速度。


研究内容


图1. SnS2/ReSe2异质结场效应晶体管(FET)的特征描述。a) SnS2/ReSe2异质结FET的示意图配置。b) SnS2/ReSe2异质结FET的光学显微镜图像。c) SnS2/ReSe2异质结FET的AFM图像。d) 沿红线的SnS2薄片和沿蓝线的ReSe2薄片的AFM高度剖面图。e) SnS2和ReSe2薄片的UV-vis-NIR吸收光谱。f) SnS2、ReSe2及SnS2/ReSe2异质结的拉曼光谱。g) SnS2/ReSe2异质结的类Eg峰的拉曼映射图像。h) SnS2/ReSe2异质结的类Ag峰的拉曼映射图像。i) SnS2/ReSe2异质结的A1g峰的拉曼映射图像。

图1a展示了SnS2/ReSe2异质结光电探测器的示意图。该光电探测器使用二维SnS2和ReSe2薄片构建。ReSe2薄片位于异质结底部,底部的硅用作控制栅极。图1b显示了制造的SnS2/ReSe2异质结器件的光学显微镜图像。器件1中SnS2和ReSe2薄片的厚度通过原子力显微镜(AFM)表征,如图1c所示。根据插图中的红线和蓝线测量出SnS2和ReSe2的厚度分别为4.36和14.57纳米(图1d)。图1e展示了SnS2和ReSe2的UV-vis-NIR吸收光谱。SnS2和ReSe2都显示出宽广的光谱吸收范围。ReSe2在UV-vis-NIR范围内表现出高吸收率,SnS2在UV范围内表现出高光学吸收。图1f显示了SnS2和ReSe2各个部分以及SnS2/ReSe2异质结重叠区域的拉曼光谱。图1g-i展示了SnS2/ReSe2异质结的ReSe2、ReSe2和SnS2的拉曼映射图像。强界面耦合引起的拉曼猝灭效应导致重叠区域的拉曼特征峰减弱。

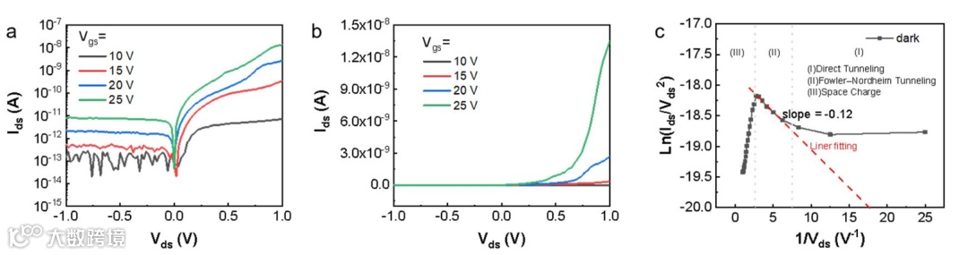
图S4. SnS2/ReSe2异质结FET的电学特性。a 暗场条件下不同栅极电压(Vgs)下的少层SnS2/ReSe2异质结输出特性,采用对数坐标表示。b 暗场条件下不同栅极电压(Vgs)下的少层SnS2/ReSe2异质结输出特性,采用线性坐标表示。c 暗场条件下器件在正向Vds下的Fowler-Nordheim图。实线是实验数据的拟合线。
图2. SnS2/ReSe2异质结FET的电学特性。a) 几层SnS2/ReSe2异质结在Vgs 25 V时的二极管特性,左侧和右侧分别对应对数坐标和线性坐标。b) 不同Vds下少层SnS2/ReSe2异质结FET的转移特性。c) SnS2/ReSe2异质结FET的输出曲线,采用对数坐标表示Vds。d-g) 不同偏置条件下的异质结区域能带图:d) 偏置范围在0.04到0.13 V之间;e) 偏置范围在0.13到0.38 V之间;f) 偏置范围超过0.38 V;g) 偏置范围小于0 V。

图2a显示了该器件的的整流行为。图S4展示了在不同Vgs下的输出特性,表明对沟道具有更好的栅极可控性。此外,该工作用热电子发射理论来估计理想因子(n),以确定SnS2/ReSe2异质结二极管的整流性能。方程1是:

其中,Is、n、q、kB和T分别是反向偏置饱和电流、理想因子、电子电荷、玻尔兹曼常数和温度。方程1表示包含理想因子(n)的二极管输出电流表达式。方程2描述了将方程1转化为理想因子(n)表达式的变化。
图S5. SnS2-FET的表征和电学性质。a SnS2-FET的原子力显微镜(AFM)图像。b 沿蓝线的SnS2薄片的AFM高度轮廓。c 不同漏源电压(Vds)下少层SnS2-FET的转移特性。d 不同栅极电压(Vgs)下少层SnS2-FET的输出特性。
图S5a展示了在Vos为10伏、15伏、20伏和25伏时的输出曲线。根据方程2计算得出理想因子接近理想二极管的数值(n=1)。这表明制造的SnS2/ReSe2异质结二极管不仅质量高,而且整流性能接近理想状态。
图S6. ReSe2-FET的表征和电学性质。a ReSe2-FET的AFM图像。b 沿蓝线的ReSe2薄片的AFM高度轮廓。c 不同Vds下少层ReSe2-FET的转移特性。d 不同栅极电压下少层ReSe2-FET的输出特性。
图S5c和S6c展示了在Vds为±1伏特时少层SnS2和ReSe2晶体管的传输特性。图S5d和S6d展示了不同Vgs下少层SnS2和ReSe2晶体管的输出特性。暗场条件下的SnS2/ReSe2异质结FET的传输特性如图2b所示。SnS2/ReSe2异质结构显示出显著的n型传输性能,并且其漏电流开/关比较高。在负Vds下,随着Vgs的增加,Ids-Vgs轨迹水平移动。然而在正Vds下,Ids-Vgs曲线的水平位移受到抑制。此现象表明在异质结构的缺陷或界面上存在能让载流子长时间停留的陷阱态。上述结果表明SnS2/ReSe2异质结构具有偏压可调的传输特性。图2c展示了在正Vds下的输出曲线,使用对数坐标表示。
图3. 520 nm激光照射下SnS2/ReSe2异质结FET的光电特性。a) 几层SnS2/ReSe2异质结在黑暗和不同光照强度下的输出特性。b) 不同光照强度下的输出曲线在直角坐标系中的放大图。c) 短路电流(Isc)作为光照功率的函数。d) 开路电压(Voc)作为光照功率的函数。e) 在不同光照强度下,电功率作为V的函数。f) 填充因子(FF)和能量转换效率(PCE)作为光照功率的函数。g) 响应度作为光照强度的函数。h) 外量子效率(EQE)和特定探测率(D*)作为光照强度的函数。i) 光电流作为光照功率的函数。
图3a描绘了在暗场及光照条件下的SnS2/ReSe2少层异质结的输出曲线。负Vds增强了内置电场并促进了光生电子-空穴对的分离,在负Vds下检测到了显著的光电流。图3b展示了从20到400 mW cm-2入射光强度下线性坐标中输出曲线的放大图。该器件显示出明显的光伏效应,表现为曲线穿越第四象限,并具有显著的开路电压(Voc)和短路电流(Isc)。图3c和3d分别说明了Isc和Voc与光照功率之间的关系。从图3c中提取出Isc与光照功率之间的线性关系。在520 nm处测得的外量子效率计算约为2.79%。最大EQE值在660 nm处测得,为4.693%。图3e展示了从图3b的第四象限提取的输出电功率(Pel=VdsIds)。随光照强度增加,Pel随之增加。图3f展示了填充因子(FF=Pel,max/IscVoc)和能量转换效率(PCE)。这里Pel,max是对应每个光功率密度的Pel的最大值。PCE定义为PCE=Pel,max/P。图3g展示了在不同Vds下R随光照强度变化的情况。与Vds=-1 V相比,Vds=1 V的光响应度提高了几个数量级。这归因于异质结界面和ReSe2-Au肖特基接触处的光电流隧穿导致的光电增益。EQE和D*在不同光照强度下的值如图3h所示。1 V下的EQE显著高于100%,而-1 V下的EQE明显较低。功率依赖的光电流(Iph)通过幂律关系Ip∝nPα拟合,如图3i所示。Vds=-1 V时α拟合为0.937,Vas=+1 V时为0.279。这些值表明,在正Vds下参与光响应的陷阱或复合中心比负Vds更多。在不同波长下,这些光电检测性能参数表现出类似的特性,没有明显的退化,表明该设备能够实现从近紫外到近红外的宽光谱响应。
图4. 520 nm波长光照下SnS2/ReSe2异质结构FET的隧穿机制和光响应。a, b) 分别为Vds = -1 V和Vas = 1 V时SnS2/ReSe2异质结构器件的能带图。黑色箭头表示电流方向,水平虚线代表费米能级。c) 正Vds下的福勒-诺德海姆隧穿图,实线是对实验数据的拟合。d-f) 空间分辨的光电流映射图像在d) Vds = 0V,e) Vds = -1V 和 f) Vds = 1V时的情况。白色、黑色和黄色虚线分别指示SnS2、ReSe2和金属电极的区域。g) 在Vds = 0V和-1V,Vgs = 20V条件下的时间依赖性光响应。h) 归一化的光电流响应以及上升/下降时间。i) 在Vds = 0V和Vgs = 20V条件下,SnS2/ReSe2异质结构器件进行了100次循环的光开关曲线。
随后,该工作研究了在520 nm波长光照下SnS2/ReSe2异质结的光响应机制和光响应速度。图4a展示了当器件处于负偏置时的能带图。在电场作用下,光生电子从SnS2向ReSe2移动,如图4a中的蓝色箭头所示,而空穴则朝相反方向移动。在正向偏置时,内置电场与外加电场的方向相反,光生电子-空穴对会发生漂移运动(图4b)。在此过程中,流入ReSe2侧的光生空穴会隧穿穿过源极端的肖特基势垒,如图4b中的红色箭头所示。界面势垒的存在阻碍了载流子传输,从而减少了暗电流。在520 nm激光照射下的光电流映射图如图4d-f所示。不同Vds下的空间分辨光电流映射(Vgs = 20 V)显示了显著不同的光电流生成图像。在Vds = -1 V时,在重叠的SnS2/ReSe2区域观察到显著的光电流。器件正向偏置时最大光电流出现在金属电极接触ReSe2附近的结区,如图4f所示。上述观察进一步表明光照下SnS2/ReSe2异质结构存在偏压可调的工作机制。如图4h所示,当Vgs, Vds和光强度分别为20 V, -1 V和100 mW cm-2时,τr为32.3 μs,τf为36.3 μs。如此短的响应时间验证了高效的电荷分离和收集效率,这归因于增强的内置电场。图4i展示了自驱动条件下光强度为100 mW cm-2、频率为0.5 Hz的光开关特性,表现出出色的稳定性。
图5. SnS2/ReSe2异质结FET的3dB响应和光检测应用。a) 在520 nm波长光照下,测量SnS2/ReSe2异质结FET相对响应与调制频率的关系。b) 单点图像检测的示意图。c) 通过单点图像检测在520 nm波长光照下获得的“NPU”的电流映射图像。d) 在编码通信系统中用于传输ASCII码“NPU”的输入和输出信号。

最后,该工作测试了SnS2/ReSe2异质结FET对光学调制频率的响应及其应用。根据光电流对光调制频率的依赖性得出设备的3 dB带宽。f3dB定义为光电流降至最大值的0.707时的激光调制频率。如图5a所示,虚线代表3 dB截止频率。520 nm波长光照下测得的3 dB截止频率高达54.8 kHz,比相似二维光电探测器高。图5b是单点图像检测的示意图,分别使用450 nm、520 nm和785 nm的激光作为入射光,SnS2/ReSe2异质结器件作为单一感测像素。在发送端输入图像信息"NPU"(205×85像素)输出信号电流通过成像系统转换为电流映射图像。图5c展示了在520 nm光照下获得的"NPU"(205×85像素)图像。可以观察到对比度高的清晰图像,证明了SnS2/ReSe2异质结器件在整个近紫外到近红外范围内具有稳健且稳定的成像检测能力。如图5d所示。入射光信号由编码器控制并输入相应的ASCII码。输出电信号由SnS2/ReSe2异质结探测器捕捉,随后根据ASCII码转换为相关字母。SnS2/ReSe2异质结光电探测器显示出从近紫外到近红外的高分辨率成像能力,并作为信号接收器实现高质量的信息传输,从而表明其在未来宽带光电系统中具有广阔的应用前景。

本文中紫外-可见-近红外吸收光谱(图1e)使用我司 “ MStarter ABS深紫外-近红外显微吸收光谱测试系统 ” 测试得到。

MStarter ABS深紫外-近红外显微吸收光谱测试系统

本文中光电测试(图2a-c、图3、图4a-c、图4g-i、图5a、图5cd、图S4、图S5b-d、图S6b-d等)使用我司 “ Scanpro Advance综合光电扫描测试系统 ” 进行。

Scanpro Advance综合光电扫描测试系统


欢迎通过文末联系方式与我们了解更多设备详情~


原文链接


Bias Tunable SnS2/ReSe2 Tunneling Photodetector with High Responsivity and Fast Response Speed
https://doi.org/10.1002/smll.202408379
咨询电话:17766428931
迈塔光电售前及测试专员(微信同号)

【声明】内容源于网络
0
0
南京迈塔光电科技有限公司
光电设备二次开发,包括光电流、变温、三维移动、电阻特性以及各类光谱等等;材料特性表征服务。
内容 229
粉丝 0
南京迈塔光电科技有限公司 光电设备二次开发,包括光电流、变温、三维移动、电阻特性以及各类光谱等等;材料特性表征服务。
总阅读139
粉丝0
内容229