EI收录,
入选中国科技期刊卓越行动计划
本文获科技部“十四五”国家重点研发计划项目;联合利华国际合作项目。
本章节重点研究了酶解鸡汤微胶囊粉末(EB、BPA、BPAT)的理化性质及其在高湿度(80% RH)贮藏期间特征气味的释放行为。主要发现包括:1.理化性质:BPA(豌豆白蛋白包埋)样品粒径最大,BPAT(豌豆白蛋白+刺云实胶包埋)因多糖的稳定作用粒径较小。BPAT水分含量最高,BPA最低。三者热稳定性相近。荧光光谱表明BPA和BPAT的微环境更疏水,结构更稳定。2.吸湿性与结构:在80%RH下贮藏,所有样品吸湿性均增加,但BPA和BPAT的吸湿性显著低于EB,表明其稳定性更高。红外光谱显示BPA和BPAT的疏水性更强。3.特征气味释放:包埋效果:与未包埋的EB相比,BPA和BPAT在喷雾干燥后对9种特征气味化合物(如醛类、醇类)的保留量显著更高,证明微胶囊壁材(豌豆白蛋白及刺云实胶)有效减少了加工过程中的热损失。 贮藏释放:在固体粉末贮藏期间,易挥发的1-辛烯-3-醇在4天内完全释放。其他化合物,尤其是关键风味物质如(E,E)-2,4-癸二烯醛,在BPA和BPAT中释放更稳定持久。BPAT的整体释放量较高,可能与刺云实胶的亲水性有关。 溶解释放:粉末溶解后,BPA和BPAT中大部分气味物质的释放量远高于EB,实现了“贮藏时延缓释放,溶解时大量释放”的目的。贮藏后期部分醛类物质浓度有所上升,可能与脂质氧化等反应生成新化合物有关。综上所述,豌豆白蛋白及与刺云实胶复合的壁材能有效包埋和保护酶解鸡汤的风味物质,提高粉末的稳定性,并调控其在贮藏和溶解时的释放行为。
图 1 EB、BPA和BPAT粉末的粒径分布图
Figure 1. Particle size distribution of EB, BPA and BPAT powders
表 1 EB、BPA和BPAT粉末的粒径、水分含量、堆积密度和溶解度
Table 1. Particle size, moisture content, bulk density and solubility of EB, BPA and BPAT powders
图 2 EB、BPA和BPAT粉末的热重分析
Figure 2. Thermogravimetric analysis of EB, BPA and BPAT powders
注:(a)三种粉末的热重曲线图;(b)三种粉末的微分热重曲线图。
图 3 EB、BPA和BPAT粉末的荧光发射光谱图
Figure 3. Fluorescence emission spectra of EB, BPA and BPAT powders
图 4 EB、BPA和BPAT粉末在80%相对湿度下吸湿性的变化
Figure 4. Hygroscopic behavior of EB, BPA and BPAT powders under storage conditions of 80% relative humidity
注:不同字母表示同一时间不同处理组间差异显著(P<0.05),未标注字母表示同一时间不同处理组间无显著差异,图6~图7同。
图 5 EB、BPA和BPAT粉末在80%相对湿度下贮藏0、1、5 d的FTIR光谱图
Figure 5. FTIR spectra of EB, BPA and BPAT powders stored at 80% relative humidity for 0, 1 and 5 days
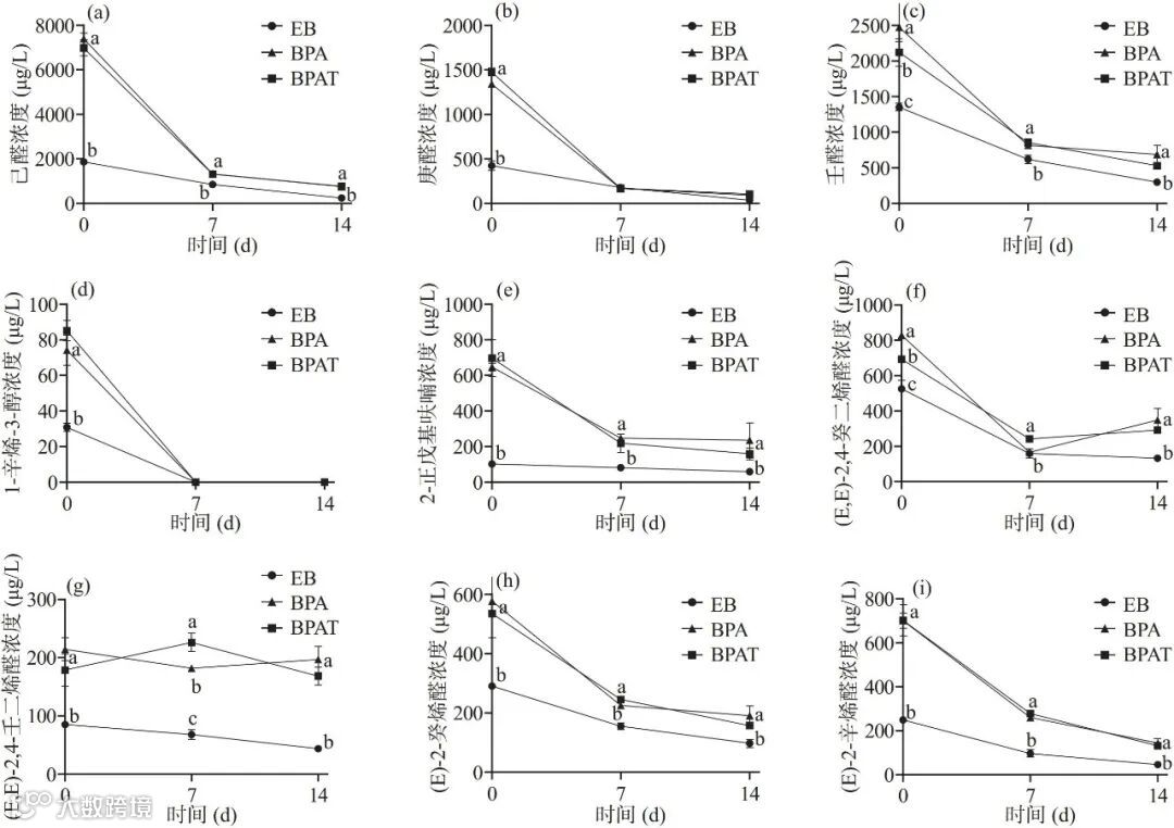
图 6 EB、BPA和BPAT粉末在80%相对湿度下贮藏的特征气味释放量
Figure 6. Critical flavor release of EB, BPA and BPAT powders under storage conditions of 80% relative humidity
图 7 EB、BPA和BPAT粉末溶解后贮藏0、7、14 d的特征气味释放量
Figure 7. Critical flavor release during the dissolution of EB, BPA and BPAT powders after 0, 7 and 14 days of storage
本章节重点总结了以豌豆白蛋白和刺云实胶为复合壁材制备酶解鸡汤微胶囊粉末的研究结论。结果表明,该壁材能增大粉末粒径、降低水分含量和溶解度,并提高稳定性;能有效包埋和保护多数特征气味物质,其中BPA样品对大部分特征气味有保护作用,而BPAT样品在保留1-辛烯-3-醇方面更具优势。研究为相关微胶囊化技术提供了理论依据,并建议未来可进一步探究不同贮藏条件的影响。
引用本文:赵佳佳,彭思怡,郭海滨,等. 酶解鸡汤微胶囊粉末的理化性质及贮藏期间特征气味释放研究[J]. 食品工业科技,2026,47(3):342−351. doi: 10.13386/j.issn1002-0306.2024120010.
Citation:ZHAO Jiajia, PENG Siyi, GUO Haibin, et al. Physicochemical Properties of Enzymatic Chicken Soup Microcapsule Powder and the Release of Characteristic Odors during Storage[J]. Science and Technology of Food Industry, 2026, 47(3): 342−351. (in Chinese with English abstract). doi: 10.13386/j.issn1002-0306.2024120010.
通信作者简介
季俊夫,副教授、博士生导师, 邮箱:junfu.ji@cau.edu.cn, 曾任爱尔兰农业部Teagasc国家实验室特聘研究员。现为食品科学与工程系副系主任,江苏省组织部科技镇长团荣誉团员。现担任Food Frontier、Frontier in Nutrition、《食品工业科技》编委,Frontier in Immunology、Molecules等杂志客座编委;Food Hydrocolloids等十多个国际期刊特约审稿人。近五年已在Comprehensive Reviews in Food Science & Safety, Trends in Food Science & Technology, Critical Reviews in Food Science & Nutrition,Food Hydrocolloids, JAFC等SCI收录期刊上发表论文50余篇,第一作者或者通讯作者SCI论文34篇(其中IF>10论文7篇,一区Top期刊24篇)。
(以上信息来自中国农业大学官网)
诚邀莅临
热门话题
查看更多 →
《食品工业科技》特邀主编专栏征稿
群聊:食品工业科技作者群
温
馨
提
示
我刊正式组建微信作者群,为作者提供更多的学术与论文资讯,如需进群,请联系刘老师(微信:上方二维码,电话:87244117-8062)。
版权声明




