核心内容
1. 综述了钙钛矿发光二极管(Perovskite light emitting diodes, PeLEDs)的发展历程和最新研究进展,包括 PeLEDs 的基本工作原理、器件结构,以及目前该领域目前仍然存在的问题。
2. 系统的讨论了稳定性对 PeLED 潜在应用的重要性,着重介绍了通过控制钙钛矿薄膜的组分来实现光谱稳定的纯红和纯蓝发光器件;以及详细地总结了通过控制钙钛矿薄膜的组分、钙钛矿薄膜的质量、LEDs 的器件结构来提高 PeLEDs 的工作寿命。
PeLEDs的优势
PeLEDs 因其发光光谱窄、色域广、制备成本低和,效率高等优势被作为下一代显示和照明技术的潜在应用技术之一。尽管目前近红外、红光和,绿光 PeLED 的外内量子转换效率(External quantum efficiency,EQE)已经突破了 20 %,然而光谱稳定的纯红、纯蓝 PeLEDs 却研究较少。并且,相比较于传统的有机和量子点发光二极管 LEDs,PeLEDs 的工作寿命还远远落后。因此发展光谱稳定以及工作寿命长的 PeLEDs 对推动这项新兴技术商业化进程至关重要。
综述简介
基于此,苏州大学功能纳米与软物质研究院(FUNOSM)孙宝全教授课题组课题组和瑞典林雪平大学 (Linköping University)Feng Gao 教授系统地综述了 PeLEDs 的最新进展。着重讨论了影响 PeLEDs 稳定性的主要问题,概括了通过控制钙钛矿薄膜的组分实现光谱稳定的纯红和纯蓝 PeLEDs。详细地综述了如何通过控制钙钛矿薄膜的组分、质量和,LEDs 器件的结构来提高其工作寿命;并对如何进一步改善 PeLEDs 的稳定性进行了总结和展望。

图1. PeLEDs 的器件结构和影响其稳定性的主要因素。
1. PeLEDs 的器件结构和工作机理
PeLEDs 具有类似“三明治”的结构,如图1a所示。根据空穴传输层,电子传输层的位置,PeLEDs 又可以分为 p-i-n 和 n-i-p 结构,即空穴传输层位于钙钛矿层的下方和上方。电子和空穴经过电子传输层和空穴传输层注入到钙钛矿层进行辐射复合,从而实现电致发光。目前,用于 PeLEDs 的钙钛矿,根据维度可以分为三维、二维以及零维结构。降低钙钛矿的维度可以有效地提高激子束缚能,从而提高钙钛矿的荧光量子产率(PLQY)。例如,二维 Ruddlesden-Popper(2DRP) 钙钛矿具有量子阱结构,可以在钙钛矿薄膜中形成有效的能量传输渠道,大幅提高薄膜中的辐射复合的效率,从而实现高效率的 PeLEDs。
2. PeLEDs 的发展历程以及现存主要问题
钙钛矿的电致发光可以追溯到 1994 年,但是效率非常低一直没有引起人们的关注。然后直到 2014 年,剑桥大学卡文迪许实验室的 Friend 课题组才首次报道了其常温下电致发光,但是器件的效率较差。通过改善钙钛矿薄膜和载流子传输层之间的界面接触或者调控钙钛矿的组分可以有效地提高钙钛矿薄膜的质量,从而提升 PeLEDs 的效率和稳定性。例如:Lee 和其合作者通过使用反溶剂的方法同时采用缺陷钝化的策略,可以明显提高 PeLEDs 的效率。通过引入有机长链形成 2D 二维 RP 钙钛矿,PeLEDs 的 EQE 可以进一步提升到超过 10 %。最近,通过进一步优化钙钛矿薄膜的组分和 PeLEDs 的器件结构,近红外、红光和绿光的 PeLEDs 的 EQE 均突破了20 %,特别是我国的黄维/王建浦课题组和华侨大学魏展画课题组等分别实现了红外光二极管EQE效率 20.7 % 和绿光二极管EQE效率 20.3 %,这些器件效率已经可以和传统的有机和量子点 LEDs 相媲美。尽管 PeLEDs 在近几年发展迅速,但是如何制备光谱稳定的纯红和纯蓝 PeLEDs 以及提高 PeLEDs 的工作寿命是目前亟待解决的关键问题。

图2. 基于混合卤素的钙钛矿薄膜中的卤素相分离以及 PeLEDs 中的光谱移动。
3. 实现光谱稳定的纯红和纯蓝 PeLEDs
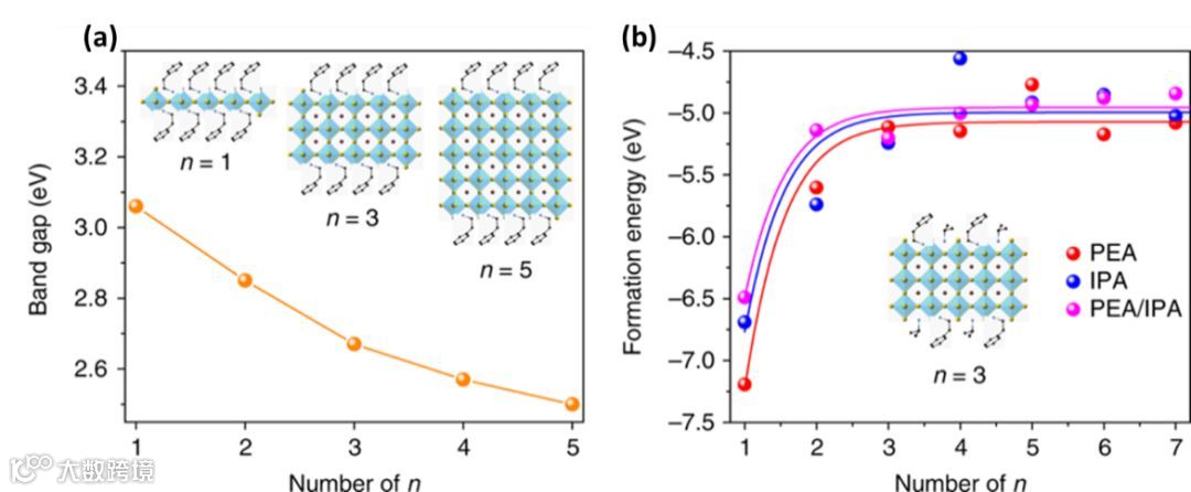
目前,实现纯红和纯蓝的钙钛矿薄膜一般有采用混合卤素和控制钙钛矿的维度两种方法。然而在混合卤素的钙钛矿薄膜中往往存在不同卤素之间的相分离的问题,使得在测试过程中,光谱发生不可逆转的偏移,如上图2所示。相比较于混合卤素钙钛矿,二维钙钛矿因为不存在相分离的问题,是制备纯红和纯蓝 PeLEDs 的理想材料。然而,目前依然很难得到层数一致(n值唯一)的钙钛矿薄膜,导致 PeLEDs 的发光光谱较宽或者出现多个发光峰。Sargent 课题组和合作者通过引入双有机胺长链来控制钙钛矿的生长从而实现 n 值相对较单一的钙钛矿薄膜,可以得到光谱均一和、稳定的蓝光 PeLEDs。

图3. 不同 n 值的 2DRP 钙钛矿的带隙和生成能。
4. 提升 PeLEDs 工作寿命
4.1. 钙钛矿薄膜的优化
4.1.1. 钙钛矿组分的调控
通过调控钙钛矿薄膜的组分可以明显改善钙钛矿薄膜的稳定性,从而提升 PeLEDs 的工作寿命。常见的方法有通过改变 A 位离子的种类来调控钙钛矿薄膜的容忍因子(ToleranceFactor, IF)趋于理想值 0.8-1.0 之间。另外,除了 A 位调节,B 位取代也常用来提升 PeLEDs 的工作寿命。例如,通过 Mn 或者 Sr 原子取代或者掺杂 B 位 Pb 可以明显提高钙钛矿的生成能,从而提升钙钛矿薄膜对氧、水和光等的稳定性。

图4. 调节 A 位离子来提高 PeLEDs 的稳定性。
虽然二维钙钛矿材料的使用,可以显著提高 PeLEDs 的稳定性和工作寿命,但是如何进一步抑制钙钛矿薄膜中的 Auger 复合对进一步提升 PeLEDs 工作寿命至关重要。通过改变钙钛矿的组分,研究者可以调控钙钛矿薄膜中的 n 值分布,从而降低钙钛矿薄膜中的 Auger 复合几率,提高器件的稳定性。

图5. 通过降低 PeLEDs 中的 Auger 复合来提高 PeLEDs 的稳定性

图6. 钙钛矿薄膜形貌的优化。
4.1.2 钙钛矿薄膜质量的优化
钙钛矿薄膜的质量对 PeLEDs 的稳定性至关重要,不连续的薄膜会增加器件中的非辐射复合,从而降低器件的稳定性。通过控制钙钛矿成膜的条件、引入添加剂,或者改善钙钛矿成膜的基底性质,可以显著改善钙钛矿的薄膜质量,如图6所示。另外在准二维薄膜中,由于钙钛矿和有机长链的极性差异,二者之间的相分离也会影响期间的稳定性。通过引入有机小分子冠醚(Crown)可以有效地抑制有机长链的结晶,从而实现稳定高效的 PeLEDs。在二维钙钛矿中,钙钛矿相的纯度以及晶体的取向也会影响 PeLEDs 的稳定性,通过钙钛矿的成膜工艺,可以得到纯相并且择优取向的钙钛矿薄膜,使得器件的稳定性大幅提高。

图7. 准二维钙钛矿薄膜的质量优化。
钙钛矿薄膜中的缺陷复合是影响 PeLEDs 的稳定性的主要因素之一。可以通过采用引入添加剂来钝化钙钛矿薄膜中的本征缺陷,或者采用界面修饰的方法可以有效地降低钙钛矿薄膜中的缺陷,从而提高 PeLEDs 器件中的辐射复合效率和器件的稳定性。

图8. 钙钛矿薄膜中的缺陷钝化。
4.2. PeLEDs 的器件结构优化
4.2.1. 平衡载流子注入
LEDs 器件中的载流子注入不平衡是降低 LED 器件稳定性和效率的主要因素之一。一般而言,在正向结构的 PeLEDs 中,由于电子注入的速率比空穴注入的速率快,因此通过优化电子和空穴传输层材料,或者在电子传输层一侧引入绝缘体材料可以有效地降低电子注入速率,从而达到电子和空穴的注入平衡,实现稳定的 PeLEDs。

图9. 平衡 PeLEDs 中载流子的注入速率。
4.2.2. 引入无机载流子传输层材料
相比较于有机传输层材料,无机传输层材料具有更好的抗水、氧稳定性,可以有效地提升 PeLEDs 的工作寿命。通过采用无机的电子传输层 n-MgZnO 和空穴传输层 p-MgNiO,相比较于基于有机传输层制备的 PeLEDs,基于无机传输层制备的 PeLEDs 的工作寿命得到明显提升。

图10. 采用无机传输层材料提升 PeLEDs 的稳定性。
总结与展望
在这篇综述中,我们总结了 PeLEDs 的最新研究进展,并着重强调了光谱稳定性和工作寿命对 PeLEDs 的重要性,并提出了。提升 PeLEDs 稳定性的关键要点:
1. 纯红和纯蓝的 PeLEDs 的光谱稳定性需要有效地抑制混合卤素之间的相分离以及控制二维钙钛矿中的相纯度,得到单一 n 值的钙钛矿薄膜。
2. 通过改善钙钛矿薄膜的形貌、缺陷和组分等方法提升 PeLEDs 中的辐射复合效率,或者提升钙钛矿自身材料的稳定性。
3. 通过采用无机传输层材料可以明显提升 PeLEDs 的稳定性。
PeLEDs 的机遇和挑战
1. 为了提升钙钛矿薄膜和 PeLEDs 的稳定性,抑制 PeLEDs 中的离子(尤其是钙钛矿层的 A 位和卤素离子)迁移及其重要。
2. 降低器件中的焦耳热和提高 PeLEDs 中的光提取效率可以有效地提升器件的效率和稳定性。
作为近几年新起的热门技术,PeLEDs 有着第很多一无二的性能优势,但是推动其实用化商业化生产还有很长的路要走,但我们相信通过科研工作者的不断努力,在解决了纯红和纯蓝 PeLEDs 的光谱稳定性以及器件的工作寿命之后,PeLEDs 在未来的照明和显示领域一定大有可为。
本文来源公众号:研之成理

长按二维码
关注我们吧
两江科技评论编辑部

免责声明:本文旨在传递更多科研信息及分享,提供志同道合者的交流平台。如涉及侵权,请联系下方邮箱,我们将及时进行修改或删除。转载请注明出处,如原创内容转载需授权,请联系下方微信号。
邮箱:janechou@imeta-center.com
微信号:Jessica_2313

