
介电储能密度的提升,一直受制于两大矛盾,介电常数和击穿强度无法兼顾,极化强度和转换效率难以两全,清华大学林元华教授和南策文院士课题组对这一难题给出完美答案,实现112J/cc的超高储能密度。
介电材料充放电速率快,因而功率极高,在诸多功率器件有广泛应用。但其储能密度一直难以有显著提高,究其原因,是介电常数大的无机材料击穿强度通常都较低,而击穿强度高的有机材料介电常数又不高。虽然复合材料能显著提高有效介电常数,但却难以弥补击穿强度的降低。这两者难以协调的矛盾,成为制约线性介电材料储能密度的关键因素,是国际材料科学研究的前沿和热点。例如在本世纪初,美国海军为发展全电动战舰,就启动了规模宏大的介电储能研究专项。中国政府对相关研究也给予了大力的支持。
为了克服线性介电储能的难题,许多研究人员也把目光转向非线性电介质。铁电体由于其本征的大极化强度,自然引起许多关注。但其迟滞行为使得铁电体虽有较大储能密度,但储能效率很低,难以应用。而反铁电体和弛豫铁电体迟滞相对较低,因而效率不错,但极化强度又不够。因此极化和迟滞的矛盾,也成了制约非线性介电储能的关键。
清华大学林元华教授和南策文院士课题组联合国内外合作者,在Science发表题为“Ultrahigh energy density lead-free dielectric films viapolymorphic nanodomain design”的研究论文,对这两对矛盾给出了完美的解决方案。他们巧妙设计三相固溶复合,通过BiFeO3提供大的菱方相极化,通过BaTiO3提供适中的四方相极化;再通过SrTiO3提供顺电的立方相,以打破铁电长程有序,使其形成纳米尺度的铁电畴。这一设计大幅度降低了常规铁电畴变过程中大的能量势垒,在保持总体大极化的基础上使得畴变变得容易,因此损耗降低、迟滞减小,大幅度提升能量充放效率。

三相纳米畴变能量势垒大幅度降低,因而能显著降低迟滞,提高效率
宾州州立大学陈龙庆教授、西交大李飞教授通过相场计算,验证了唯像理论预测,并给出了三相固溶最优的组分范围。而清华课题组在其制备的薄膜材料中,的确实现了菱方四方纳米畴共存,为RSM和STEM所验证,如下图所示。特别值得一提的是,由两幅STEM比较可以清晰看出,三相固溶菱方和四方共存,显著降低了畴的尺度、提高了极化的无序度(x是为三相固溶中BaTiO3的比例,x=0.0对应BiFeO3和SrTiO3的两相固溶)。

XRD,RSM,和STEM证实三相固溶中菱方-四方共存,而且畴尺度降低,极化无序度提高。
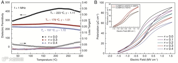
那介电性能是否如理论预期呢?从下图看可以看出,三相薄膜较于两相薄膜,介电常数有所降低,但介电损耗也显著降低。同样的现象在电滞回线也有体现,极化强度有所降低,但迟滞降低更为明显,因而在x = 0.3时实现了高极化、低迟滞的综合最优性能。

另一方面,由于损耗降低和漏电流抑制,三相薄膜击穿强度大幅度提升,如下图所示:

由于储能密度受击穿强度平方所制约,因此三相固溶薄膜虽然极化有所降低,但轻松被击穿强度的提高所弥补,最终储能密度显著提升。更为可贵的是,由于损耗和迟滞的降低,储能效率也显著提高,由下图所示:

最后可以通过下表比较一下领域现状,三相固溶薄膜表现出优异的综合储能性能,储能密度甚至超过性能最高的含铅薄膜(85 J/cc)。此外,这一材料循环性能非常优越,108次后性能没有明显退化,而且在大约150度的高温下仍能正常工作。

看似不可调和的矛盾,就这样通过巧妙的材料设计予以克服。清华这一漂亮工作,很有启迪。论文第一作者是清华材料学院博士生潘豪。论文重要合作者还有物理所谷林、张庆华,清华于浦,和澳大利亚伍伦贡大学张树君。工作得到国家基金委和科技部的支持。
本文来源:知社学术圈

两江科技评论编辑部
免责声明:本文旨在传递更多科研信息及分享,如涉及侵权,请联系下方邮箱,我们将及时进行修改或删除。转载请注明出处,如原创内容转载需授权,请联系下方微信号。
邮箱:janechou@imeta-center.com
微信号:18305163023