
一入科研深似海,
重复文献第一关。
还在苦苦思考为什么
自己做出来的纳米材料丑到不忍直视?
今天,我们以纳米材料领军人物
夏幼南教授和杨培东教授的
经典文章为例
教你做一锅
美到没朋友的纳米银

图1. 夏幼南课题组Ag纳米立方体(一作:孙玉刚)
参考文献:YugangSun, Younan Xia. Shape-Controlled Synthesis of Gold and Silver Nanoparticles. Science 2002, 298, 2176-2179.
均一的形貌,是纳米材料基础研究和实际应用的关键,而形貌控制的核心在于对生长机理的深入认知!要想做出均一纳米形貌,不得不提到神秘的形貌控制剂 (structure directing agent, SDAs)。 不同的形貌控制剂决定了纳米材料生长过程中不同的动力学和热力学行为,最终决定了复杂的表面结构和形貌控制。
如果你想做Ag纳米立方体,一般选择PVP。

参考文献:X. Xia, J. Zeng, L. K. Oetjen,Q. Li, Y. Xia, Quantitative analysisof the role played by poly(vinylpyrrolidone) in seed-mediated growthof Ag nanocrystals, Journal of the American Chemical Society 134 (3) (2012) 1793-1801.
如果你想做Ag纳米八面体,往往需要用到柠檬酸盐。

参考文献:Y. Wang, D. Wan, S. Xie, X.Xia, C. Z. Huang, Y. Xia, Synthesis of silver octahedra with controlled sizesand optical properties via seed-mediated growth, ACS nano 7 (5) (2013)4586-4594.
如果你想做Pd纳米立方体,一般使用溴离子(Br-)。

参考文献:H.-C. Peng, S. Xie, J. Park,X. Xia, Y. Xia, Quantitative analysis of the coverage density of Br ions on Pd(100) facets and its role in controlling the shape of pd nanocrystals,Journal of the American Chemical Society 135 (10) (2013) 3780-3783.
至于Au纳米立方体,就要靠银离子(Ag+)了。

参考文献:F. Kim, S. Connor, H. Song, T.Kuykendall, P. Yang, Platonic gold nanocrystals, Angewandte Chemie 116 (28)(2004) 3759-3763.
1. 热力学控制和动力学控制
为什么小小的形貌控制剂影响这么大呢?根据目前已知的文献报道,形貌控制剂控制形貌的机理主要包括两种:1)热力学控制;2)动力学控制。
热力学控制是通过形貌控制剂与金属不同晶形(facet) 结合能(binding energy)的不同改变金属不同晶形的表面活化能(surface free energy),从而合成由最低表面活化能晶形(facet)构成的晶体形貌。

动力学控制则是通过形貌控制剂与金属不同晶形(facet) binding energy的不同改变其表面形貌控制机的密度,从而改变金属离子/原子在不同晶形表面的传递以及生长速率,从动力学的角度合成由生长速率最慢晶形(facet)构成的晶体形貌。

2. Ag纳米立方体:PVP形貌控制机理
有鉴于此,陈志锋(一作)和RobertRioux(通讯作者) 所在的宾州州立大学(Penn State)课题组选取夏幼南课题组的经典Ag纳米立方体为例,深入浅出的揭示了银纳米结构的形貌控制机理。

以Ag纳米立方体的合成为例,前人研究大多归功于PVP对Ag(100)比Ag(111)的优先选择性结合, 然而其具体控制机理是通过热力学还是动力学仍然不得而知。为了回答这个问题,陈志锋等人首先首先通过借鉴夏幼南和杨培东课题组的合成方法,成功合成了三种形貌的银纳米材料:立方体【Ag(100)面】、 立方八面体【Ag(100)面和Ag(111)面 】和八面体【Ag(111)面】,然后获取PVP对Ag(100)和Ag(111)的结合能,从而进行热力学Wulff construction或者是动力学Wulff construction。


随后,他们通过实验室自己研发的分析方法,分别定量的测量吸附在不同形貌的Ag纳米颗粒表面的PVP含量以及在溶液中PVP的平衡含量来搭建Langmuir Isotherm 曲线,进而得出PVP 在Ag(100) 和Ag(111)的平衡常数。
通过与聚合物物理领域大牛Scott Milner教授的合作,合作团队成功的构建了PVP在Ag表面的吸附模型,进而提取了PVP对于Ag(100) 和Ag(111)表面的结合能。

随后,研究人员将Kristin Fichthorn教授针对PVP与银纳米颗粒体系的热力学Wulff construction 和动力学Wulff construction理论计算模型,与实验中提取出来的PVP对于Ag(100) 和Ag(111)表面的表面能数据相结合,成功地排除了PVP 通过热力学控制银纳米立方体的机理,确定了PVP 通过动力学机理控制银纳米立方体生长的可能性。

到此结束?
NO,NO,NO!
3. Ag纳米立方体:Cl-形貌控制机理
Ag纳米立方体的合成除了添加PVP以外,氯离子(Cl-)也经常作为添加剂来控制形貌。在文献中,关于氯离子(Cl-)的形貌控制机理也是众说纷纭,比如选择性的刻蚀孪晶晶种,形成非均相AgCl以促进Ag(100)晶面的形成,或者选择性的吸附在Ag(100)表面等等。至今为止,科学界对于氯离子(Cl-)的形貌控制机理尚未达成一致。
有鉴于此,陈志锋(一作)和Robert Rioux(通讯作者) 所在的宾州州立大学(Penn State)课题组通过与Kristin Fichthorn教授课题组的合作,开展了详尽的实验研究以及理论计算,确定了氯离子(Cl-)通过热力学控制Ag纳米立方体合成的机理。

从实验的角度,研究团队首先确定了氯离子(Cl-)对于控制Ag纳米颗粒形貌的重要性以及氢离子(H+)对于控制Ag纳米颗粒生长速率以及均一性的重要性:
1)在没有氯离子(Cl-)以及氢离子(H+)的条件下,只能合成形貌大小都不一的银纳米颗粒(A);
2)在没有氯离子(Cl-)而只有氢离子(H+)的条件下,并不能合成Ag纳米立方体,但是尺寸可以得到更好的控制(B);
3)在只有氯离子(Cl-)而没有氢离子(H+)的条件下,有部分的Ag纳米立方体生成,但是不能很好的控制形貌的均一性(C);
4)只有在既有氯离子(Cl-)又有氢离子(H+)的条件下,形貌大小一致的Ag纳米立方体才得以实现(D)。

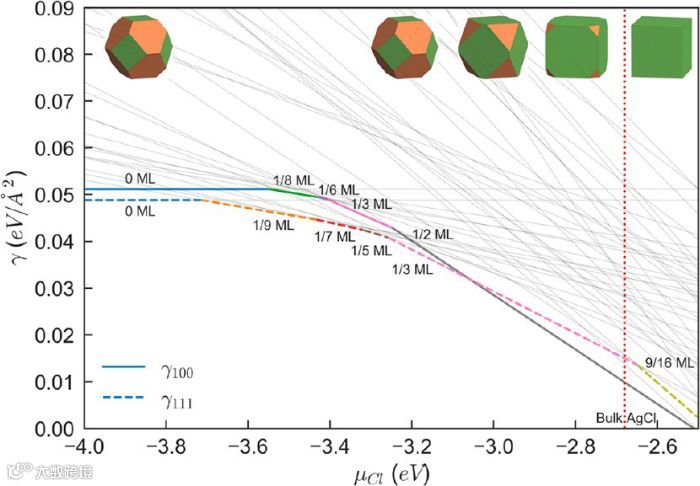
为了进一步确认氯离子(Cl-)对于控制Ag纳米颗粒形貌的重要性,在改变氯离子(Cl-)的含量而不改变其他任何实验条件的情况下,Ag纳米颗粒的形貌得以有效的控制,从立方八面体到截角立方体再到立方体,直接有效的说明了氯离子(Cl-)的含量对于Ag(100)和Ag(111)晶面的控制起到了重要的作用。

进一步,Kristin Fichthorn教授课题组开展了详细的理论计算,以确认氯离子(Cl-)对于控制Ag纳米颗粒形貌的重要性。理论计算确认了在不同Cl覆盖的银纳米颗粒的条件下Ag(100)以及Ag(111)的表面活化能,并进行了热力学Wulff construciton。计算发现随着Cl化学势的增加,Ag(100)和Ag(111)的表面自由能趋势得以反转,最开始Ag(111) 表面自由能低于Ag(100),导致更多的Ag(111)晶面的形成;后来Ag(100) 表面自由能低于Ag(111),导致更多的Ag(100)晶面的形成。理论计算与实验结论完全相符,进一步确认了氯离子(Cl-)通过热力学方法控制银纳米形貌合成的机理。

到了这里,可能你会有这样的问题:氯离子(Cl-)是怎么吸附在银纳米颗粒的表面,从而控制形貌呢?氯离子(Cl-)与银离子(Ag+)相遇不会形成AgCl???? 没错,为了回答这个问题,更好的理解形貌控制的整个复杂过程,该课题组展开了详尽的实验研究。

在合成银纳米颗粒的28个小时过程中的不同阶段,研究人员进行跟踪取样并进行详细的材料表征,确定了Cl- 在合成过程中的来龙去脉:最开始形成AgCl纳米立方体,然后AgCl慢慢溶解,最后溶解之后的氯离子(Cl-)吸附在银纳米颗粒表面控制形貌。

结语:没有无缘无故的好看,也没有无缘无故的丑。只有通过对形貌控制机理进行深入的研究,读懂每一个纳米颗粒背后蕴藏的复杂的热力学与动力学行为,才能更好地提高预期形貌的均一性与产率,从而实现大规模合成和实际应用。
本文来源:纳米人
参考文献:
1. Z.Chen, J. W. Chang, C. Bala, S. Milner, R. M. Rioux. Anisotropic growth ofsilver nanoparticles is kinetically controlled by polyvinylpyrrolidone binding.JACS 2019, 141, 4328-4337.
2. Z. Chen, T. Balankura, K. Fichthorn, R M. Rioux. Revisit the Polyol Synthesisof Ag nanocubes: the Role of Chlorine in Silver Nanocubes Formation. ACS Nano2019,13,1849-1860 .

长按二维码
关注我们吧


免责声明:本文旨在传递更多科研信息及分享,提供志同道合者的交流平台。如涉及侵权,请联系下方邮箱,我们将及时进行修改或删除。转载请注明出处,如原创内容转载需授权,请联系下方微信号。
邮箱:janechou@imeta-center.com
微信号:18305163023

