

导读
规范场理论是现代物理学的基石之一,在很多学科中,人工规范场已经成为操控中性粒子的新方法。在光学领域,已经有很多人工阿贝尔规范场的方法,并且展示出新奇的现象和广阔的应用前景。然而,更加新奇的人工非阿贝尔规范场几乎无人问津。华中科技大学陈云天副教授,香港科技大学陈子亭教授, 李赞恒教授, 浙江大学沈建其教授, 和苏州大学杭志宏教授的联合研究团队提出了一个实现人工SU(2)非阿贝尔规范场的平台并且发现阿贝尔系统中不具有的新颖现象,该平台适用于描述广泛的各向异性材料中二维光波的动力学特性。该工作以“Non-Abelian gauge field optics”为题发表在《自然-通讯》上。

原文标题:Non-Abelian gauge field optics
作者:陈云天,张若洋,熊仲非 等
规范场的概念起源于经典电磁学,并由杨振宁和罗伯特·米尔斯推广为可描述非阿贝尔场的一般性理论[1]. 现今, 不仅基本粒子间的强,弱,电磁相互作用可由规范场描述, 而且实空间或参数空间中的等效(或衍生)规范场的概念也已被广泛用于阐释各种物理系统中的复杂动力学[2-4],同时规范理论因其内禀的几何属性成为研究物质拓扑相的有力工具。近年来, 在光学和光子学领域, 构造作用于光波的人工规范场已发展为操控光场的新兴手段. 例如通过磁效应打破时间反演对称性或通过动态调制得到的人工磁场可实现类似于(量子)霍尔效应的方式控制光轨迹和单向传输边界态. 在时间反演不变的系统,也可以使用多种方法生成一对互为时间反演的虚拟磁场实现自旋(或偏振)依赖的光操控。然而,除了少数揭示动量空间非阿贝尔规范结构的工作[5],目前所有作用于光波的实空间人工规范场方案都局限于阿贝尔型。本文所介绍的工作提出了经典光学系统中首个人工非阿贝尔规范场的实现方案.

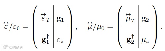
为构造出光学非阿贝尔规范场,研究人员考虑了广泛的一类具有如下介电常数和磁导率的各向异性介质:

对于在xy面内传播的二维光波, 光场可以用一个具有1/2-赝自旋的两分量波函数
描述. 研究人员发现只要介质满足xy平面内的电磁对偶对称性
( a为任意正常数), 二维光波所受到的介质的作用严格等效于施加于赝自旋的一个SU(2)非阿贝尔规范势, 矩阵形式的有效SU(2) 规范势由介电常数和磁导率张量决定 (见表1)。

根据规范势, 可进一步得到有效非阿贝尔规范场(SU(2)磁场和SU(2)电场):

相比阿贝尔情形中的磁场和电场,非阿贝尔电,磁场中各多出了一项由规范势各分量间的非对易性产生的场.。众所周知, 空间均匀分布的电磁势不会产生非零的阿贝尔电磁场, 然而空间均匀分布的非阿贝尔规范势, 因其非对易性, 却可产生非零的非阿贝尔电磁场, 这将导致很多非阿贝尔系统中独有的新奇现象. 文章作者发现, 即便在均匀的非阿贝尔各向异性介质中, 光束也将受到由人工SU(2)电磁场施加的有效非阿贝尔洛伦兹力:

在非阿贝尔洛伦兹力的作用下, 光束的质心将呈现类似于狄拉克震颤 (zitterbewegung) 效应的周期波动轨迹, 也就是说在完全均匀的介质中光束(或波包)的质心也可以延曲线传播 (如图1所示). 乍看之下, 这一反常现象似乎违背了平移不变系统中的动量守恒定律, 但研究人员证明.在光束的震颤过程中, 空间平移对称性所对应的正则动量始终是守恒的, 而与质心运动对应的坡印廷矢量却可以在转播过程中改变方向. 文章进一步表明这种由非阿贝尔洛伦兹力引起的光束震颤效应理论上可以出现在几乎所有双轴介电材料中, 并且研究人员设计了一种微波超材料结构以观察这种光学震颤效应(图2)。
随后, 该文利用这种人工SU(2) 规范场体系给出了首个非阿贝尔阿哈罗诺夫-玻姆(AB)效应的光学实现方案。研究人员分别使用互易的各向异性介质和旋光材料构造了两个非对易的矢量势涡旋. 除了两个非阿贝尔涡旋的中心奇点携带规范场通量Φ1(Φ2),非阿贝尔规范场在整个空间的其余位置处处为零(图3)。如图3a所示, 考虑两束入射偏振相同的相干光,在经过两条不同的折叠路径 gI和gII后,两束光最后相干叠加在干涉屏上。通过对两条光路连续变形, 可发现两条光路 (减去一条公共路径g0后) 各自拓扑等价于一条相继绕过两个非阿贝尔涡旋的环路 cI, cII, 两者的唯一区别是绕过两个涡旋的次序不同,其中gI先绕Φ1再绕Φ2,gII则相反。然而,非阿贝尔系统的路径非对易特性使得两路光获得不同的非阿贝尔AB相因子,这使得两束光在到达屏幕时处于不同的赝自旋态,两束光相互叠加形成非平庸的自旋密度波干涉效应,体现为如图3g所示的赝自旋延屏幕切向旋进分布的干涉自旋波, 同时赝自旋幅值的干涉条纹也会相对于无规范势的情况发生移动。在阿贝尔 AB系统(传统AB系统)中,闭环的AB相位因子只依赖于闭环内的磁通量,而不依赖于规范的选择。然而,在非阿贝尔系统中,AB相因子会随着规范变换而改变。尽管如此,它的迹却是一个重要的规范不变可观测量,称为封闭路径的威尔逊圈 (Wilson loop)。研究人员证明, 在强度干涉条纹的某些位置,干涉场的幅值只依赖于两条光路 g1和g2 所构成的闭合路径 c=g2-1 g1的威尔逊圈 W(c),所以这些特殊位置的干涉场强在规范变换下是固定的。由于入射自旋的变化相当于矢量势的整体规范变换,所以不同入射偏振态的干涉条纹应相交于这些规范不动点. 如图4所示, 这一预言也得到了全波数值模拟的证实。值得注意的是, 近期美国麻省理工学院和宾夕法尼亚大学等机构的研究者在一个相对简化的光学系统中观测到了非阿贝尔AB效应, 进而证实了非阿贝尔体系的路径非对易特性 [6].

图1均匀非阿贝尔介质中的狄拉克震颤。 (a-e)旋光介质中人工非阿贝尔磁场诱导的狄拉克震颤。(f-j)双轴介电介质中人工非阿贝尔电场诱导的狄拉克震颤。(a,f)两种情况下的等频面及其xy截面。(b,g)两种介质中光束在k空间中的傅里叶光谱。(c,h)布洛赫球面上两束光的自旋进动。(d,i)全波模拟光场分布。(e,j)数值和解析的光束质心轨迹。

图2双轴超材料设计。(a)PCB板和铜构成的简单立方格作为超材料的单元结构。(b)三个主轴的相对介电常数。(c)超材料xy平面上的等频率面。(d)全波模拟和解析的狄拉克震颤幅度和波数随频率变化的比较。

图3光的非阿贝尔AB效应和仿真结果。(a)非阿贝尔AB系统示意图,上下两个非阿贝尔涡旋,红蓝两条以不同次序绕过两个涡旋的光路在右侧光屛干涉。(b-d)光路拆解示意。(e)全波仿真图。(g)光屛上自旋密度干涉示意图。(f)两光路自旋演化在布洛赫球上的展现。(h-j)光屛上强度干涉和自旋取向的两个欧拉角的仿真和理论对比。

图4从规范不变点提取威尔逊回路。(a)对任意两束在光屛上干涉的光路,两条光路所构成回路的威尔逊圈可以从干涉条纹中提取。(b)4种不同入射偏振的强度干涉条纹相交于规范不动点,由此可得到光路回路的威尔逊圈。
光波在复杂介质环境中,如非均匀各向异性介质环境下,电磁波传播问题只能依赖数值计算方法,虽然该方法能提供一定的计算精度,但完全掩盖了模式演化及光波传播的物理图景。此项研究揭示了二维光波在广泛的一类各向异性介质中的动力学可以通过实空间中有效SU(2)规范场和光波的内禀赝自旋自由度的相互作用来理解, 并将非阿贝尔规范场发展成为一种研究复杂介质环境中的光波传播问题的全新方法。该方法本质上是一种几何光学近似,光粒子含有内部自由度,光波的传输可等效为光粒子流在合成非阿贝尔规范场作用下的运动轨迹和内部自由度的演化。非阿贝尔规范场的方法简化了分析及计算过程,还提供了一种清晰的物理图景来理解相应物理过程。作为例子,作者研究预测, 即使在均匀的各向异性介质中,也能实现光的狄拉克震颤效应。该文还设计了一个具有两个合成非阿贝尔涡旋的非阿贝尔AB系统,并提出了用自旋密度干涉效应来证明非阿贝尔AB相因子的非对易特性。这项研究开启了从光学领域通往人工非阿贝尔场的研究之路。该文提出的方案不仅可能激发新的想法来操控光的流动和偏振,而且提供了一个光学平台来研究与SU(2)规范场相关的物理效应,例如人工自旋轨道耦合, 以及周期性非阿贝尔规范场中的拓扑能带结构。从应用角度,该项工作对于理解光学自旋轨道耦合产生的非阿贝尔光学现象有重要意义,也为自旋光子学及自旋光子器件的发展提供一定的理论和技术支撑。
文章链接
https://www.nature.com/articles/s41467-019-10974-8
参考文献
1. Yang, C. N. & Mills, R. L. Conservation of isotopic spin and isotopic gauge invariance. Phys. Rev.96, 191–195 (1954).
2. Wilczek, F. & Zee, A. Appearance of gauge structure in simple dynamical systems. Phys. Rev. Lett. 52, 2111–2114 (1984).
3. Xiao, D., Chang, M.-C. & Niu, Q. Berry phase effects on electronic properties. Rev. Mod. Phys. 82, 1959–2007 (2010).
4. Goldman, N., Juzeliūnas, G., Öhberg, P. & Spielman, I. B. Light-induced gauge fields for ultracold atoms. Rep. Prog. Phys. 77, 126401 (2014).
5. Bliokh, K. Y. & Bliokh, Y. P. Modified geometrical optics of a smoothly inhomogeneous isotropic medium: the anisotropy, Berry phase, and the optical magnus effect. Phys. Rev. E 70, 026605 (2004).
6. Yi Yang, Chao Peng, Di Zhu, Hrvoje Buljan, John D. Joannopoulos, Bo Zhen, Marin Soljačić, Synthesis and Observation of Non-Abelian Gauge Fields in Real Space, arXiv:1906.03369, 2019
编辑推荐

长按二维码
关注我们吧

免责声明:本文旨在传递更多科研信息及分享,如涉及侵权,请联系下方邮箱,我们将及时进行修改或删除。转载请注明出处,如原创内容转载需授权,请联系下方微信号。
邮箱:janechou@imeta-center.com
微信号:18305163023

