
2019年5月8日,国际顶尖学术期刊《自然》(Nature)发表了主要由南方科技大学物理系和中国科学技术大学物理学院共同完成的题为 Three-dimensional quantum Hall effect and metal-insulator transition in ZrTe5 的研究论文,实验证实了哈佛大学理论物理学家Bertrand Halperin在1987年给出的关于三维电子气体系中量子霍尔效应的理论预测。南科大物理系副教授张立源、中国科大教授乔振华和新加坡技术和设计大学教授杨声远为共同通讯作者;美国布鲁克海文国家实验室、佛罗里达强磁场实验室、麻省理工学院、新加坡技术和设计大学为共同参与单位。
在凝聚态物理学中,对于对称性、相互作用、拓扑性以及维度(或自由度)的理解是永恒的研究课题,也是当前固体物理和器件应用的研究热点。从1980年开始,量子霍尔效应的发现开启了研究物理学中拓扑相变的新时代,也深刻地改变了人们对相变、对称性和相互作用的理解。最近10年来,拓扑量子物态的相关研究已经成为当前凝聚态物理领域最活跃的课题之一。高品质的ZrTe5晶体具有超高的迁移率、超低载流子浓度和多种珍奇的拓扑能带特征,成为了研究三维电子气体系的拓扑量子相变的理想材料之一。
图1. ZrTe5单晶(Tp ~95K)的(a)降温曲线和(b)三维费米面结构。
对于电阻率反常峰(Tp)在95K左右的ZrTe5样品(图1.a),张立源课题组通过细致的低温量子输运测量,并结合各个轴向的量子振荡分析,得到了非常清晰的费米面拓扑结构(图1.b)。尽管ZrTe5的费米面存在非常强的各向异性,但其本身闭合的费米面结构仍然很好地说明了体系是属于完全的三维系统。
课题组在低温下的输运测量中,发现了非常明显的量子霍尔平台(图2.a)。通过仔细分析平台量子化电阻值和样品厚度之间的依赖关系,研究组指出,量子霍尔层的周期正好为材料z方向费米波长的1/2(图2.b),这很好地证明了三维电子气在磁场调制下形成电荷密度波(CDW)结构的物理图像。理论模拟三维电子气在强磁场下的行为,可以清晰看到电子气形成一层一层的量子层结构(图2.b插图)。此外,z方向的非欧姆性输运行为也给出了CDW存在的有力证据。

图2.(a)ZrTe5单晶中的三维量子霍尔效应;(b)z方向的CDW周期和费米波长,插图是三维电子气在磁场下形成二维导电层的模拟
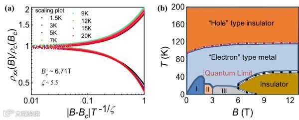
在体系进入量子极限后,研究组观测到了非常明显的金属绝缘体相变行为(图3.a)。体系存在一个典型的零温量子临界点,为量子相变,并可以画出体系的电子相图(图3.b),这些结果为将来研究三维电子气中的电子相互作用效应提供了很好的参考。

图3.(a)ZrTe5单晶中金属绝缘体相变的标度行为;(b)体系的电子相图
张立源表示,这项工作的顺利开展离不开博士生汤方栋、任亚飞,博士后王培培的细致分析和勤奋工作。另一方面,研究过程中的合作、沟通和讨论是必不可少的。现在的科学研究越来越注重团队合作,单靠一个人的努力是不够的,许多人在一起各自发挥优势可以把事情做得更好。张立源说,很幸运能和中国科技大学的乔振华研究组、新加坡技术与设计大学(Singapore University of Technology and Design)的杨声远教授、布鲁克海文国家实验室的顾根大研究组、弗罗里达州立大学和美国强磁场中心的杨昆老师以及麻省理工学院的李雅达(Patrick A Lee)先生一起合作。
可以预见,就像二维量子霍尔效应的发现引起轰动那样,此项研究成果将会开辟一个崭新的三维量子物态的研究领域。值得一提的是,Bertrand Halperin在2019年获得APS Medal for Exceptional Achievement in Research时,专门在获奖报告中将其在1987年关于三维量子霍尔效应的理论预言列为自己的终身成就之一。在得知此次研究团队的实验成果后,他向团队表达了祝贺和肯定,并称赞团队的成果“indeed a very nice discovery”。
此项研究工作得到了广东省创新创业团队计划、深圳孔雀团队、深圳市科创委基础研究(学科布局)项目基金等专项基金的大力支持。
原文链接:
https://newshub.sustech.edu.cn/zh/?p=14636&from=timeline
点评:
在一个三维金属中,有很多电子跑来跑去。这就是为什么金属可以导电。如果没有外加磁场,电子的运动都是直线运动。在有外加磁场时,电子的运动就都变成螺旋运动了。

可是如果电子之间有相互作用,电子的螺旋运动会相互影响,导致相变。相变后,电子会自发组织成一层一层的结构。电子在三维的螺旋运动会变成局限在二维平面内的螺旋运动。限制在每个平面内做螺旋运动的电子形成一个二维的量子霍尔态。

这是一个很有意思的相变。很像《三体》中所描写的“降维攻击”。一个三维电子体系在加上强磁场后,会自发变成一个一层一层的二维电子体系,而这个二维电子体系又正好是一个带拓扑序的量子物态。这一奇妙的降维相变最近被南科大和中科大的实验物理学家发现。以前,拓扑序仅仅出现于半导体的二维界面上,现在这一新的实验发现,给了我们一个新的材料体系,其中也能产生拓扑序。目前,我们在这一新材料中发现的仅仅是一类最简单的拓扑序。希望今后在这一类材料中,我们可以发现更丰富的拓扑物态。
——文小刚
(麻省理工学院终身教授、格林讲席教授)
本文来源:返朴、“南方科技大学新闻网”。

长按二维码
关注我们吧

免责声明:本文旨在传递更多科研信息及分享,提供志同道合者的交流平台。如涉及侵权,请联系下方邮箱,我们将及时进行修改或删除。转载请注明出处,如原创内容转载需授权,请联系下方微信号。
邮箱:janechou@imeta-center.com
微信号:18305163023

