
热电转换技术是一种利用半导体材料将热能转换为电能的技术。这种技术具有系统体积小,可靠性高等优点,成为清洁能源开发中的重要研究课题。然而,目前表现出突出性能的热电材料(GeTe, PbTe, PbSe, PbS, SnTe, SnSe等)要么含有Ge,Te等昂贵的稀有元素,要么含有高毒性的Pb。因此,开发廉价无毒的高性能的热电材料对于提升热电材料的环保特性与应用价值具有重大意义。
今天Science刊登了一篇北航赵立东教授课题组在热电材料领域的最新进展。该研究创新性的将SnSe 转向更廉价、无毒并含量丰富的 SnS。并且通过调变电子能带结构实现了SnS热电性能的调控与提升。
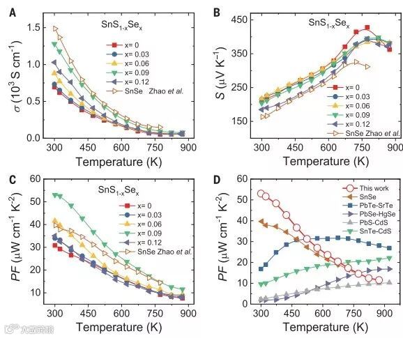
图1 SnS1-xSex 晶体的电子传输行为的温度依赖性
图2 电子能带结构与温度的关系图,理论模拟电子传输特性

图5 SnS0.91Se0.09 晶体高分辨电镜图
该工作通过温度梯度法合成出 SnS1-xSex 晶体结构,并实现三个分离电子能带之间相互作用的控制。Se 的引入实现电子传输(μ)和有效质量(m*)两大参数的同时优化。300 K 时,PF 值从 30 升至 50 mW cm−1 K−2; 873 K 时,ZT 最大值和均值分别为 1.6 和 1.25。这种控制策略为优化热电性能提供了一条不同的途径。开发高性能SnS晶体是向低成本、地球资源丰富和环境友好型热电技术迈进的重要一步。
文献链接:High thermoelectric performance in low-cost SnS0.91Se0.09crystals, 2019, Science,
DOI: 10.1126/science.aax5123.
文章来源:材料人

免责声明:本文旨在传递更多科研信息及分享,如涉及侵权,请联系下方邮箱,我们将及时进行修改或删除。转载请注明出处,如原创内容转载需授权,请联系下方微信号。
邮箱:janechou@imeta-center.com
微信号:18305163023